Suppr超能文献

基于聚丙烯酰胺和纳米二氧化硅的水凝胶纳米复合材料用于一致性控制和堵水的热降解研究

Thermal Degradation Study of Hydrogel Nanocomposites Based on Polyacrylamide and Nanosilica Used for Conformance Control and Water Shutoff.

作者信息

Telin Aleksey, Safarov Farit, Yakubov Ravil, Gusarova Ekaterina, Pavlik Artem, Lenchenkova Lyubov, Dokichev Vladimir

机构信息

Ufa Scientific and Technical Center, LLC., 450078 Ufa, Russia.

Ufa Institute of Chemistry, Ufa Federal Research Center, Russian Academy of Sciences, 450054 Ufa, Russia.

出版信息

Gels. 2024 Dec 22;10(12):846. doi: 10.3390/gels10120846.

Abstract

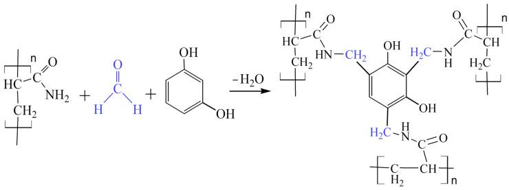
The application of nanocomposites based on polyacrylamide hydrogels as well as silica nanoparticles in various tasks related to the petroleum industry has been rapidly developing in the last 10-15 years. Analysis of the literature has shown that the introduction of nanoparticles into hydrogels significantly increases their structural and mechanical characteristics and improves their thermal stability. Nanocomposites based on hydrogels are used in different technological processes of oil production: for conformance control, water shutoff in production wells, and well killing with loss circulation control. In all these processes, hydrogels crosslinked with different crosslinkers are used, with the addition of different amounts of nanoparticles. The highest nanoparticle content, from 5 to 9 wt%, was observed in hydrogels for well killing. This is explained by the fact that the volumes of injection of block packs are counted only in tens of cubic meters, and for the sake of trouble-free workover, it is very important to preserve the structural and mechanical properties of block packs during the entire repair of the well. For water shutoff, the volumes of nanocomposite injection, depending on the well design, are from 50 to 150 m. For conformance control, it is required to inject from one to several thousand cubic meters of hydrogel with nanoparticles. Naturally, for such operations, service companies try to select compositions with the minimum required nanoparticle content, which would ensure injection efficiency but at the same time would not lose economic attractiveness. The aim of the present work is to develop formulations of nanocomposites with increased structural and mechanical characteristics based on hydrogels made of partially hydrolyzed polyacrylamide crosslinked with resorcinol and paraform, with the addition of commercially available nanosilica, as well as to study their thermal degradation, which is necessary to predict the lifetime of gel shields in reservoir conditions. Hydrogels with additives of pyrogenic (HCSIL200, HCSIL300, RX380) and hydrated (white carbon black grades: 'BS-50', 'BS-120 NU', 'BS-120 U') nanosilica have been studied. The best samples in terms of their structural and mechanical properties have been established: nanocomposites with HCSIL200, HCSIL300, and BS-120 NU. The addition of hydrophilic nanosilica HCSIL200 in the amount of 0.4 wt% to a hydrogel consisting of partially hydrolyzed polyacrylamide (1%), resorcinol (0.04%), and paraform (0.09%) increased its elastic modulus by almost two times and its USS by almost three times. The thermal degradation of hydrogels was studied at 140 °C, and the experimental time was converted to the exposure time at 80 °C using Van't Hoff's rule. It was found that the nanocomposite with HCSIL200 retains its properties at a satisfactory level for 19 months. Filtration studies on water-saturated fractured reservoir models showed that the residual resistance factor and selectivity of the effect of nanocomposites with HCSIL200 on fractures are very high (226.4 and 91.6 for fracture with an opening of 0.05 cm and 11.0 for porous medium with a permeability of 332.3 mD). The selectivity of the isolating action on fractured intervals of the porous formation was noted.

摘要

在过去10至15年中,基于聚丙烯酰胺水凝胶以及二氧化硅纳米颗粒的纳米复合材料在石油工业相关的各种任务中的应用一直在迅速发展。文献分析表明,将纳米颗粒引入水凝胶中可显著提高其结构和机械特性,并改善其热稳定性。基于水凝胶的纳米复合材料用于石油生产的不同工艺流程:用于调剖、生产井堵水以及带堵漏的压井作业。在所有这些工艺中,使用与不同交联剂交联的水凝胶,并添加不同量的纳米颗粒。在用于压井作业的水凝胶中观察到最高的纳米颗粒含量,为5至9重量%。这是因为段塞充填的注入体积仅为几十立方米,为了顺利进行修井作业,在整个修井过程中保持段塞充填的结构和机械性能非常重要。对于堵水作业,根据井的设计,纳米复合材料的注入体积为50至1​​50立方米。对于调剖作业,需要注入1至几千立方米含纳米颗粒的水凝胶。自然地,对于此类作业,服务公司试图选择具有最低所需纳米颗粒含量的组合物,这既能确保注入效率,又不会失去经济吸引力。本工作的目的是开发基于由间苯二酚和多聚甲醛交联的部分水解聚丙烯酰胺制成的水凝胶,并添加市售纳米二氧化硅的具有增强结构和机械特性的纳米复合材料配方,以及研究其热降解,这对于预测储层条件下凝胶屏障寿命是必要的。研究了添加热解(HCSIL200、HCSIL300、RX380)和水合(白炭黑等级:“BS - 50”、“BS - 120 NU”、“BS - 120 U”)纳米二氧化硅的水凝胶。确定了在结构和机械性能方面最佳的样品:含HCSIL200、HCSIL300和BS - 120 NU的纳米复合材料。向由部分水解聚丙烯酰胺(1%)、间苯二酚(0.04%)和多聚甲醛(0.09%)组成的水凝胶中添加0.4重量%的亲水性纳米二氧化硅HCSIL200,使其弹性模量几乎增加两倍,并使其拉伸强度几乎增加三倍。在140℃下研究了水凝胶的热降解,并使用范特霍夫规则将实验时间转换为80℃下的暴露时间。发现含HCSIL200的纳米复合材料在19个月内保持其性能在令人满意的水平。对水饱和裂缝性储层模型的过滤研究表明,含HCSIL200的纳米复合材料对裂缝的残余阻力因子和作用选择性非常高(对于开口为0.05厘米的裂缝为226.4和91.6,对于渗透率为332.3毫达西的多孔介质为11.0)。注意到对多孔地层裂缝间隔的隔离作用的选择性。

https://cdn.ncbi.nlm.nih.gov/pmc/blobs/ddae/11675931/b29f3687abfb/gels-10-00846-g001.jpg

文献AI研究员

20分钟写一篇综述,助力文献阅读效率提升50倍。

立即体验

用中文搜PubMed

大模型驱动的PubMed中文搜索引擎

马上搜索

文档翻译

学术文献翻译模型,支持多种主流文档格式。

立即体验