Suppr超能文献

使用具有均匀分散的BiO的SnO纳米颗粒检测氧化挥发性有机化合物

Oxygenated VOC Detection Using SnO Nanoparticles with Uniformly Dispersed BiO.

作者信息

Yang Haoyue, Suematsu Koichi, Mashiba Felipe Hiroshi, Watanabe Ken, Shimanoe Kengo

机构信息

Interdisciplinary Graduate School of Engineering Sciences, Kyushu University, Kasuga 816-8580, Fukuoka, Japan.

Department of Advanced Materials Science and Engineering, Faculty of Engineering Sciences, Kyushu University, Kasuga 816-8580, Fukuoka, Japan.

出版信息

Nanomaterials (Basel). 2024 Dec 18;14(24):2032. doi: 10.3390/nano14242032.

Abstract

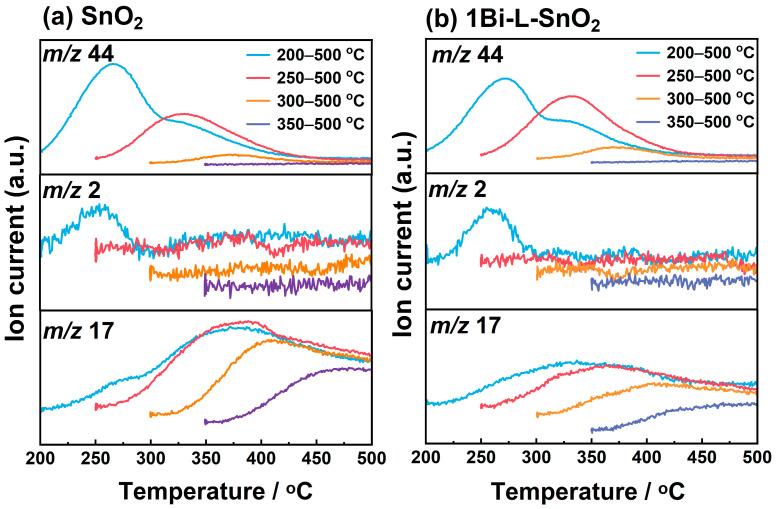
BiO particles are introduced as foreign additives onto SnO nanoparticles (NPs) surfaces for the efficient detection of oxygenated volatile organic compounds (VOCs). BiO-loaded SnO materials are prepared via the impregnation method followed by calcination treatment. The abundant BiO/SnO interfaces are constructed by the uniform dispersion of BiO particles on the SnO surface. The results of oxygen temperature-programmed desorption suggest that BiO-loaded SnO samples display improved surface oxygen ions than neat-SnO NPs. As a result, the gas sensor based on 1 mol% BiO-loaded SnO (1Bi-L-SnO) composites shows significantly higher sensitivity and a faster response speed toward various oxygenated VOCs compared with SnO, especially at 200 °C and 250 °C. The results of catalytic combustion and temperature-programmed reaction measurements reveal the dominant role of adsorption and partial oxidation during ethanol combustion on SnO and 1Bi-L-SnO surfaces. In this case, the improvement in the sensing performance of the 1Bi-L-SnO sensor can be associated with the increase in surface oxygen ions at BiO/SnO interfaces. The results confirm the significant role of surface functionalization for sensing materials. The obtained outstanding sensing performance provides the potential application for the simultaneous detection of total oxygenated VOCs in practice.

摘要

将BiO颗粒作为外来添加剂引入到SnO纳米颗粒(NPs)表面,以高效检测含氧挥发性有机化合物(VOCs)。通过浸渍法并随后进行煅烧处理来制备负载BiO的SnO材料。通过BiO颗粒在SnO表面的均匀分散构建了丰富的BiO/SnO界面。氧程序升温脱附结果表明,负载BiO的SnO样品比纯SnO NPs表现出更高的表面氧离子含量。因此,与SnO相比,基于1 mol%负载BiO的SnO(1Bi-L-SnO)复合材料的气体传感器对各种含氧VOCs显示出显著更高的灵敏度和更快的响应速度,尤其是在200°C和250°C时。催化燃烧和程序升温反应测量结果揭示了乙醇在SnO和1Bi-L-SnO表面燃烧过程中吸附和部分氧化的主导作用。在这种情况下,1Bi-L-SnO传感器传感性能的提高可能与BiO/SnO界面处表面氧离子的增加有关。结果证实了表面功能化对传感材料的重要作用。所获得的优异传感性能为实际中同时检测总含氧VOCs提供了潜在应用。

https://cdn.ncbi.nlm.nih.gov/pmc/blobs/65d9/11678746/2c733cc75da4/nanomaterials-14-02032-g001.jpg

文献检索

告别复杂PubMed语法,用中文像聊天一样搜索,搜遍4000万医学文献。AI智能推荐,让科研检索更轻松。

立即免费搜索

文件翻译

保留排版,准确专业,支持PDF/Word/PPT等文件格式,支持 12+语言互译。

免费翻译文档

深度研究

AI帮你快速写综述,25分钟生成高质量综述,智能提取关键信息,辅助科研写作。

立即免费体验