Suppr超能文献

黄土高原土壤有机碳和土壤团聚体稳定性对土地利用模式变化的响应

Response of soil organic carbon and soil aggregate stability to changes in land use patterns on the Loess Plateau.

作者信息

Pan Zhandong, Cai Xuemei, Bo Yongming, Guan Changsheng, Cai Liqun, Haider Fasih Ullah, Li Xuchun, Yu Haixia

机构信息

College of Forestry, Gansu Agricultural University, Lanzhou, 730070, China.

State Key Laboratory of Aridland Crop Science, Gansu Agricultural University, Lanzhou, 730070, China.

出版信息

Sci Rep. 2024 Dec 30;14(1):31775. doi: 10.1038/s41598-024-82300-2.

Abstract

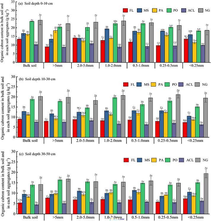
Land use change can significantly alter the proportion of soil aggregates, thereby influencing aggregate stability and distribution of soil organic carbon (SOC). However, there is minimal research on the variations in the distribution of soil aggregates, aggregate stability, and SOC in soil aggregates following land use change from farmland (FL) to forest and grassland in the Loess Plateau region of China. Select six land use patterns (farmland (FL), abandoned cropland (ACL), Medicago sativa (MS), natural grassland (NG), Picea asperata Mast. (PA), Platycladus orientalis (L.) Franco (PO)) on the Loess Plateau in China and collect undisturbed soil samples. These six land use patterns have similar geographical characteristics. The distribution of aggregates and the aggregate-associated SOC contents under the six land use patterns were measured at the 0-10 cm, 10-30 cm and 30-50 cm depths. The results showed that forestland and grasslands converted from FL significantly increased the aggregates (> 5 mm) content, mean weight diameter (MWD), and geometric mean diameter (GMD) but decreased the aggregates (< 0.25 mm) content. Compared with FL, the values at the 0-50 cm depth under PA, NG, MS, PO and ACL increased by 473.71-732.55%, 283.98-724.60%, 179.06-634.12%, 142.31-413.50% and 110.25-213.34%, respectively, for MWD and by 244.04-607.77%, 141.68-666.67%, 52.39-483.33%, 50.49-214.43%, and 35.23-64.29%, respectively, for GMD. Land use patterns and soil aggregate size had obvious influences on SOC content, SOC content in soil and aggregates decreased under ACL. In other forestland and grasslands, The SOC content in bulk soil, > 5 mm, 2-5 mm, 1-2 mm, 0.5-1 mm, 0.25-0.5 mm, and < 0.25 mm aggregates at the 0-50 cm depth after afforestation increased by 20.75-125.87%, 14.50-163.64%, - 11.86-118.18%, 9.65-150.95%, 38.28-126.49%, 51.26-165.87% and - 15.59-163.37%, respectively, Compared to FL. The contributions of different aggregates particle sizes to the increase in SOC content in bulk soil were 104.74%, 7.86%, 4.76%, 6.23%, 5.37%, and - 21.97%, respectively. MWD and GMD were positively correlated with SOC content in aggregates (1 mm), SOC content in bulk soil and aggregates. Although SOC content in bulk soil and different aggregates particle sizes under NG and PA were significantly higher that than under MS and PO, the soil macroaggregate content, MWD, and GMD under PO and NG were higher than that under PA and MS. These findings suggest that converted FL into PO and NG significantly improved soil structure and also increased SOC content. Therefore, in the process of transforming land use patterns on the Loess Plateau, the proportion of forest land and grassland should be appropriately increased to improve soil carbon storage and quality. The results of this study provides a theoretical basis and scientific basis for the scientific evaluation and understanding of soil organic carbon accumulation and distribution under different land use patterns in the Loess Plateau region of China.

摘要

土地利用变化会显著改变土壤团聚体的比例,从而影响团聚体稳定性和土壤有机碳(SOC)的分布。然而,在中国黄土高原地区,从农田(FL)转变为森林和草地后,关于土壤团聚体分布、团聚体稳定性以及土壤团聚体中SOC变化的研究极少。在中国黄土高原选取六种土地利用模式(农田(FL)、弃耕地(ACL)、紫花苜蓿(MS)、天然草地(NG)、青海云杉(PA)、侧柏(PO)),采集原状土样。这六种土地利用模式具有相似的地理特征。在0 - 10厘米、10 - 30厘米和30 - 50厘米深度测量了六种土地利用模式下团聚体的分布以及与团聚体相关的SOC含量。结果表明,由FL转变而来的林地和草地显著增加了团聚体(>5毫米)含量、平均重量直径(MWD)和几何平均直径(GMD),但降低了团聚体(<0.25毫米)含量。与FL相比,PA、NG、MS、PO和ACL在0 - 50厘米深度处的MWD值分别增加了473.71 - 732.55%、283.98 - 724.60%、179.06 - 634.12%、142.31 - 413.50%和110.25 - 213.34%,GMD值分别增加了244.04 - 607.77%、141.68 - 666.67%、52.39 - 483.33%、50.49 - 214.43%和35.23 - 64.29%。土地利用模式和土壤团聚体大小对SOC含量有明显影响,ACL下土壤和团聚体中的SOC含量降低。在其他林地和草地中,造林后0 - 50厘米深度处的原状土、>5毫米、2 - 5毫米、1 - 2毫米、0.5 - 1毫米、0.25 - 0.5毫米和<0.25毫米团聚体中的SOC含量与FL相比分别增加了20.75 - 125.87%、14.50 - 163.64%、 - 11.86 - 118.18%、9.65 - 150.95%、38.28 - 126.49%、51.26 - 165.87%和 - 15.59 - 163.37%。不同团聚体粒径对原状土中SOC含量增加的贡献分别为104.74%、7.86%、4.76%、6.23%、5.37%和 - 21.97%。MWD和GMD与团聚体(1毫米)中的SOC含量、原状土和团聚体中的SOC含量呈正相关。尽管NG和PA下原状土和不同团聚体粒径的SOC含量显著高于MS和PO下的,但PO和NG下的土壤大团聚体含量、MWD和GMD高于PA和MS。这些发现表明,将FL转变为PO和NG显著改善了土壤结构,也增加了SOC含量。因此,在黄土高原土地利用模式转变过程中,应适当增加林地和草地比例以提高土壤碳储量和质量。本研究结果为科学评估和理解中国黄土高原地区不同土地利用模式下土壤有机碳的积累和分布提供了理论依据和科学依据。

https://cdn.ncbi.nlm.nih.gov/pmc/blobs/5dc8/11685569/b4f41fc37245/41598_2024_82300_Fig1_HTML.jpg

文献检索

告别复杂PubMed语法,用中文像聊天一样搜索,搜遍4000万医学文献。AI智能推荐,让科研检索更轻松。

立即免费搜索

文件翻译

保留排版,准确专业,支持PDF/Word/PPT等文件格式,支持 12+语言互译。

免费翻译文档

深度研究

AI帮你快速写综述,25分钟生成高质量综述,智能提取关键信息,辅助科研写作。

立即免费体验