Suppr超能文献

聚乙二醇 - 聚合物纳米载体减轻了基于4 - 噻唑烷酮的游离化疗药物对T淋巴细胞功能和细胞因子产生的免疫抑制作用。

PEG-Polymeric Nanocarriers Alleviate the Immunosuppressive Effects of Free 4-Thiazolidinone-Based Chemotherapeutics on T Lymphocyte Function and Cytokine Production.

作者信息

Tulinska Jana, Kobylinska Lesya, Lehotska Mikusova Miroslava, Babincova Julia, Mitina Natalia, Rollerova Eva, Liskova Aurelia, Madrova Nikola, Alacova Radka, Zaichenko Alexander, Lesyk Roman, Horvathova Mira, Szabova Michaela, Lukan Norbert, Vari Sandor

机构信息

Faculty of Medicine, Slovak Medical University, Bratislava, Slovakia.

Department of Biochemistry, Danylo Halytsky Lviv National Medical University, Lviv, Ukraine.

出版信息

Int J Nanomedicine. 2024 Dec 27;19:14021-14041. doi: 10.2147/IJN.S479137. eCollection 2024.

Abstract

PURPOSE

Our study aimed to assess the effects of anticancer 4-thiazolidinone-based free water-insoluble therapeutics Les-3288 and Les-3833 and their waterborne complexes with branched PEG-containing polymeric carriers (A24-PEG550 and A24-PEG750) on immune response.

METHODS

Human peripheral blood was used to study in vitro lymphocyte proliferative function, leukocyte phagocytic activity and respiratory burst, and cytokine production.

RESULTS

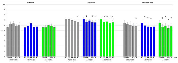
The binding of the polymer to the anticancer drug Les-3288, which is intended to mitigate the immunosuppressive effects of the free drug on the proliferative activity of T lymphocytes and T-dependent B cells, demonstrated comparable efficacy for both A24-PEG750 and A24-PEG550 nanocarriers. Furthermore, it was observed that the drug-polymer complex significantly increased the reduced levels of IFN-γ and TNF-α resulting from free Les-3288. Conversely, the reduced levels of IL-6 and IL-4 remained unchanged. Administration of either form of Les-3288 had no effect on the phagocytic activity of monocytes, granulocytes or the respiratory burst of granulocytes. Due to the reduced cell viability and increased cytotoxicity associated with Les-3833, tenfold lower doses were selected for the immune assays. The effects of free Les-3833 on lymphocyte proliferative function resulted in significant stimulation of T-dependent B cells. The binding of Les-3833 to the smaller carrier, A24-PEG550 was found to maintain the stimulatory effect on B lymphocytes. While no effect of free Les-3833 on the granulocyte phagocytic activity was observed, binding of Les-3833 to both polymeric carriers resulted in a decrease in granulocyte phagocytic activity and respiratory burst, with no observable effect on monocytes. Monitoring of cytokine production showed no significant effect of either form of Les-3833 on the production of IFN-γ and IL-6. In the context of TNF-α and IL-4, the positive effect of polymer binding on restoring suppressed cytokine levels induced by the Les-3833 free drug was slightly more favorable for A24-PEG750.

CONCLUSION

The drug complexation with novel PEGylated carriers is a promising way for efficient therapeutic development.

摘要

目的

我们的研究旨在评估基于4-噻唑烷酮的抗癌水不溶性治疗药物Les-3288和Les-3833及其与含支链聚乙二醇的聚合物载体(A24-PEG550和A24-PEG750)的水性复合物对免疫反应的影响。

方法

使用人外周血研究体外淋巴细胞增殖功能、白细胞吞噬活性和呼吸爆发以及细胞因子产生。

结果

聚合物与抗癌药物Les-3288的结合旨在减轻游离药物对T淋巴细胞和T依赖性B细胞增殖活性的免疫抑制作用,结果表明A24-PEG750和A24-PEG550纳米载体具有相当的疗效。此外,观察到药物-聚合物复合物显著提高了游离Les-3288导致的IFN-γ和TNF-α降低水平。相反,IL-6和IL-4的降低水平保持不变。给予任何一种形式的Les-3288对单核细胞、粒细胞的吞噬活性或粒细胞的呼吸爆发均无影响。由于与Les-3833相关的细胞活力降低和细胞毒性增加,免疫测定选择了低十倍的剂量。游离Les-3833对淋巴细胞增殖功能的影响导致T依赖性B细胞的显著刺激。发现Les-3833与较小的载体A24-PEG550结合可维持对B淋巴细胞的刺激作用。虽然未观察到游离Les-3833对粒细胞吞噬活性有影响,但Les-3833与两种聚合物载体结合均导致粒细胞吞噬活性和呼吸爆发降低,对单核细胞无明显影响。细胞因子产生监测显示两种形式的Les-3833对IFN-γ和IL-6的产生均无显著影响。在TNF-α和IL-4方面,聚合物结合对恢复Les-3833游离药物诱导的细胞因子抑制水平的积极作用对A24-PEG750略更有利。

结论

药物与新型聚乙二醇化载体的复合是高效治疗开发的一种有前途的方法。

https://cdn.ncbi.nlm.nih.gov/pmc/blobs/ba0f/11687095/8bed71df1f8f/IJN-19-14021-g0001.jpg

文献检索

告别复杂PubMed语法,用中文像聊天一样搜索,搜遍4000万医学文献。AI智能推荐,让科研检索更轻松。

立即免费搜索

文件翻译

保留排版,准确专业,支持PDF/Word/PPT等文件格式,支持 12+语言互译。

免费翻译文档

深度研究

AI帮你快速写综述,25分钟生成高质量综述,智能提取关键信息,辅助科研写作。

立即免费体验