Suppr超能文献

用于从水溶液中回收钯离子的杂化材料——MgAl层状双氢氧化物/离子液体/壳聚糖

Hybrid Materials-MgAl-LDH/Ionic Liquids/Chitosan Used in the Recovery Process of Pd Ions from Aqueous Solutions.

作者信息

Milos Emilia, Cocheci Laura, Popa Adriana, Lupa Lavinia, Filimon Anca

机构信息

Faculty of Chemical Engineering, Biotechnologies and Environmental Protection, Politehnica University Timisoara, Victoriei Square, No. 2, 300006 Timisoara, Romania.

"Coriolan Drăgulescu" Institute of Chemistry, Bv. Mihai Viteazul, No. 24, 300223 Timisoara, Romania.

出版信息

Molecules. 2024 Dec 19;29(24):6001. doi: 10.3390/molecules29246001.

Abstract

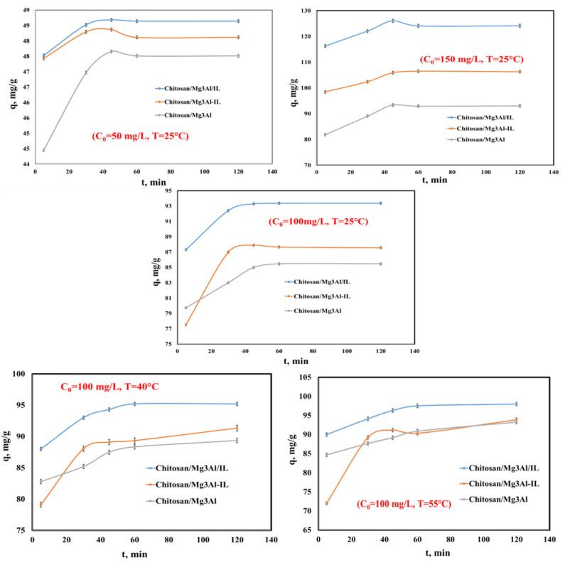
The recovery of palladium from aqueous solutions is important due to its critical role in various industrial applications and the growing demand for sustainable resource management. This study investigates the potential of hybrid materials composed of MgAl layered double hydroxides (LDHs), chitosan, and ionic liquids (methyl trialchil ammonium chloride) for the efficient adsorption of palladium ions from low-concentration aqueous solutions. Comprehensive characterization techniques, including X-ray diffraction (RX), Fourier transform infrared spectroscopy (FTIR), scanning electron microscopy (SEM), energy-dispersive X-ray spectroscopy (EDX), and thermogravimetric analysis (TG), were employed to elucidate the structural and compositional properties of the hybrid materials. The results of the batch adsorption experiments demonstrate that each component contributes synergistically to the adsorption process, significantly enhancing the overall efficacy of palladium recovery. Furthermore, the method of preparing the adsorbent material was found to impact the effectiveness of palladium recovery. Among the materials tested, the chitosan/MgAl/IL hybrid exhibited the highest adsorption capacity (q = 98 mg/g), suggesting that the ionic liquid functionalization is most beneficial when applied during the hybrid material synthesis, rather than during the LDH synthesis process. This research underscores the viability of hybrid materials as a sustainable approach to palladium recovery, contributing to advancements in environmental remediation technologies.

摘要

由于钯在各种工业应用中发挥着关键作用,且对可持续资源管理的需求不断增长,从水溶液中回收钯具有重要意义。本研究考察了由镁铝层状双氢氧化物(LDHs)、壳聚糖和离子液体(甲基三己基氯化铵)组成的混合材料从低浓度水溶液中高效吸附钯离子的潜力。采用了包括X射线衍射(RX)、傅里叶变换红外光谱(FTIR)、扫描电子显微镜(SEM)、能量色散X射线光谱(EDX)和热重分析(TG)在内的综合表征技术,以阐明混合材料的结构和组成特性。批量吸附实验结果表明,各组分对吸附过程具有协同作用,显著提高了钯回收的整体效率。此外,还发现吸附剂材料的制备方法会影响钯回收的效果。在所测试的材料中,壳聚糖/MgAl/IL混合物表现出最高的吸附容量(q = 98 mg/g),这表明离子液体功能化在混合材料合成过程中应用时最为有益,而不是在LDH合成过程中。本研究强调了混合材料作为钯回收可持续方法的可行性,有助于环境修复技术的进步。

https://cdn.ncbi.nlm.nih.gov/pmc/blobs/f16f/11679485/4bfc041bc322/molecules-29-06001-g001.jpg

文献检索

告别复杂PubMed语法,用中文像聊天一样搜索,搜遍4000万医学文献。AI智能推荐,让科研检索更轻松。

立即免费搜索

文件翻译

保留排版,准确专业,支持PDF/Word/PPT等文件格式,支持 12+语言互译。

免费翻译文档

深度研究

AI帮你快速写综述,25分钟生成高质量综述,智能提取关键信息,辅助科研写作。

立即免费体验