Suppr超能文献

[研究对象]中维管形成层细胞的多特征分析揭示其抗衰老策略

Multi Characteristic Analysis of Vascular Cambium Cells in Reveals Its Anti-Aging Strategy.

作者信息

Han Xiaoli, Gai Zhongshuai, Sun Jianhao, Zhai Juntuan, Qiu Chen, Wu Zhihua, Li Zhijun

机构信息

Xinjiang Production and Construction Corps Key Laboratory of Protection and Utilization of Biological Resources in Tarim Basin, Desert Poplar Research Center of Tarim University, College of Life Science and Technology, Tarim University, Alar 843300, China.

College of Life Sciences, Zhejiang Normal University, Jinhua 321004, China.

出版信息

Plants (Basel). 2024 Dec 19;13(24):3549. doi: 10.3390/plants13243549.

Abstract

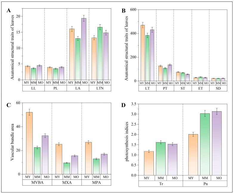
All multicellular organisms undergo senescence, but the continuous division of the vascular cambium in plants enables certain tree species to survive for hundreds or even thousands of years. Previous studies have focused on the development of the vascular cambium, but the mechanisms regulating age-related changes remain poorly understood. This study investigated age-related changes in the vascular cambium of trees aged 50 to 350 years. The number of cambium cells in the 50-year-old tree group was 10 ± 2, while the number of cambium cells in the 200-year-old and 350-year-old tree groups significantly decreased. The thickness of the cambium cells exhibited a similar trend. In addition, the net photosynthetic and transpiration rates continue to increase with age, but no notable differences were found in factors like average leaf area, palisade tissue thickness, and stomatal density. A total of 6491 differentially expressed genes (DEGs) were identified in the vascular cambium of at three distinct ages using RNA sequencing. The expression patterns of DEGs associated with cell division and differentiation, lignin biosynthesis, plant hormones, and transcription factors were analyzed. DEGs related to XTH, EXP, PAL, C4H, ABA, Br, GA, and others are highly expressed in older trees, whilst those encoding expansins, kinases, cyclins, 4CL, Auxin, Eth, SA, and others are more prevalent in younger trees. Gene family members, such as , , , , and , have various regulatory functions in the vascular cambium. The findings offer insights into how ancient trees maintain vitality by balancing growth and aging, providing a foundation for future research on their longevity mechanisms.

摘要

所有多细胞生物都会经历衰老,但植物中维管形成层的持续分裂使某些树种能够存活数百年甚至数千年。以往的研究主要集中在维管形成层的发育上,但调节与年龄相关变化的机制仍知之甚少。本研究调查了50至350年树龄树木维管形成层与年龄相关的变化。50年树龄组的形成层细胞数量为10±2,而200年和350年树龄组的形成层细胞数量显著减少。形成层细胞的厚度也呈现出类似的趋势。此外,净光合速率和蒸腾速率随树龄持续增加,但在平均叶面积、栅栏组织厚度和气孔密度等因素方面未发现显著差异。利用RNA测序在三个不同树龄的树木维管形成层中总共鉴定出6491个差异表达基因(DEG)。分析了与细胞分裂和分化、木质素生物合成、植物激素和转录因子相关的DEG的表达模式。与XTH、EXP、PAL、C4H、ABA、Br、GA等相关的DEG在老龄树中高表达,而编码扩张蛋白、激酶、细胞周期蛋白、4CL、生长素、乙烯、水杨酸等的DEG在幼龄树中更为普遍。基因家族成员,如 、 、 、 和 ,在维管形成层中具有多种调节功能。这些发现为古树如何通过平衡生长和衰老来维持活力提供了见解,为未来研究其长寿机制奠定了基础。

https://cdn.ncbi.nlm.nih.gov/pmc/blobs/c09b/11677677/b48c817c1e11/plants-13-03549-g001.jpg

文献检索

告别复杂PubMed语法,用中文像聊天一样搜索,搜遍4000万医学文献。AI智能推荐,让科研检索更轻松。

立即免费搜索

文件翻译

保留排版,准确专业,支持PDF/Word/PPT等文件格式,支持 12+语言互译。

免费翻译文档

深度研究

AI帮你快速写综述,25分钟生成高质量综述,智能提取关键信息,辅助科研写作。

立即免费体验