• 文献检索
  • 文档翻译
  • 深度研究
  • 学术资讯
  • Suppr Zotero 插件Zotero 插件
  • 邀请有礼
  • 套餐&价格
  • 历史记录
应用&插件
Suppr Zotero 插件Zotero 插件浏览器插件Mac 客户端Windows 客户端微信小程序
定价
高级版会员购买积分包购买API积分包
服务
文献检索文档翻译深度研究API 文档MCP 服务
关于我们
关于 Suppr公司介绍联系我们用户协议隐私条款
关注我们

Suppr 超能文献

核心技术专利:CN118964589B侵权必究
粤ICP备2023148730 号-1Suppr @ 2026

文献检索

告别复杂PubMed语法,用中文像聊天一样搜索,搜遍4000万医学文献。AI智能推荐,让科研检索更轻松。

立即免费搜索

文件翻译

保留排版,准确专业,支持PDF/Word/PPT等文件格式,支持 12+语言互译。

免费翻译文档

深度研究

AI帮你快速写综述,25分钟生成高质量综述,智能提取关键信息,辅助科研写作。

立即免费体验

用于光催化氰基二氟甲基化的溴代碳氟环丁烷

BrCFCN for photocatalytic cyanodifluoromethylation.

作者信息

Yang Xin-Jun, Lin Jin-Hong, Xiao Ji-Chang

机构信息

Key Laboratory of Fluorine and Nitrogen Chemistry and Advanced Materials, Shanghai Institute of Organic Chemistry, University of Chinese Academy of Sciences, Chinese Academy of Sciences, 200032, Shanghai, China.

Department of Chemistry, Innovative Drug Research Center, Shanghai University, 200444, Shanghai, China.

出版信息

Nat Commun. 2025 Jan 7;16(1):445. doi: 10.1038/s41467-024-55797-4.

DOI:10.1038/s41467-024-55797-4
PMID:39774954
原文链接:https://pmc.ncbi.nlm.nih.gov/articles/PMC11707358/
Abstract

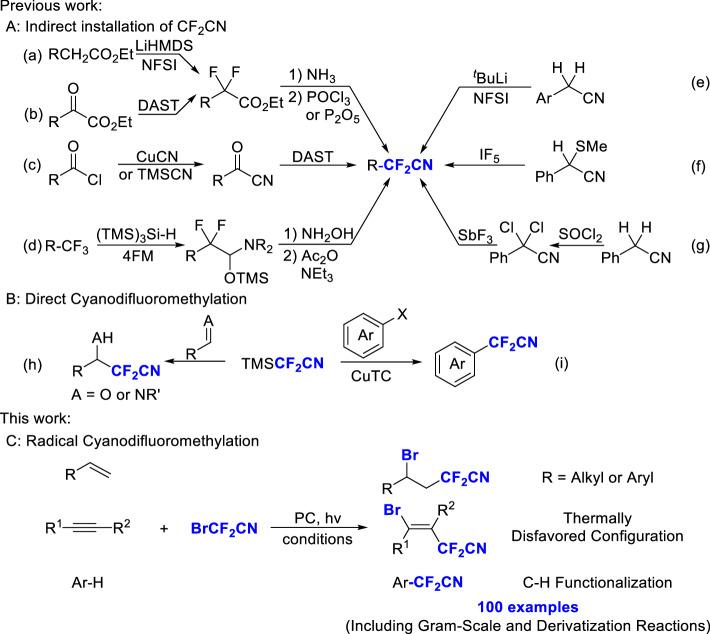
Considering the unique electronic properties of the CF and the CN groups, the CFCN group has significant potential in drug and agrochemical development, as well as material sciences. However, incorporating a CFCN group remains a considerable challenge. In this work, we disclose a use of bromodifluoroacetonitrile (BrCFCN), a cost-effective and readily available reagent, as a radical source for cyanodifluoromethylation of alkyl alkenes, aryl alkenes, alkynes, and (hetero)arenes under photocatalytic conditions. This protocol demonstrates an exceptionally broad substrate scope and remarkable tolerance to various functional groups. Notably, the cyanodifluoromethylation of alkynes predominantly provides sterically hindered alkenes, a thermodynamically unfavorable outcome, and (hetero)arene C-H bonds are directly amenable to cyanodifluoromethylation without pre-functionalization.

摘要

考虑到CF和CN基团独特的电子性质,CFCN基团在药物和农用化学品开发以及材料科学方面具有巨大潜力。然而,引入CFCN基团仍然是一个相当大的挑战。在这项工作中,我们公开了使用溴二氟乙腈(BrCFCN),一种经济高效且易于获得的试剂,作为光催化条件下烷基烯烃、芳基烯烃、炔烃和(杂)芳烃氰基二氟甲基化的自由基源。该方案展示了异常广泛的底物范围以及对各种官能团的显著耐受性。值得注意的是,炔烃的氰基二氟甲基化主要生成空间位阻烯烃,这是一种热力学上不利的结果,并且(杂)芳烃的C-H键无需预官能化即可直接进行氰基二氟甲基化。

https://cdn.ncbi.nlm.nih.gov/pmc/blobs/ba08/11707358/264e0d721dec/41467_2024_55797_Fig10_HTML.jpg
https://cdn.ncbi.nlm.nih.gov/pmc/blobs/ba08/11707358/0ab496e51183/41467_2024_55797_Fig1_HTML.jpg
https://cdn.ncbi.nlm.nih.gov/pmc/blobs/ba08/11707358/2ca0fdb753d4/41467_2024_55797_Fig2_HTML.jpg
https://cdn.ncbi.nlm.nih.gov/pmc/blobs/ba08/11707358/3d389b47a694/41467_2024_55797_Fig3_HTML.jpg
https://cdn.ncbi.nlm.nih.gov/pmc/blobs/ba08/11707358/b1e7071c6dd8/41467_2024_55797_Fig4_HTML.jpg
https://cdn.ncbi.nlm.nih.gov/pmc/blobs/ba08/11707358/2c259080bdee/41467_2024_55797_Fig5_HTML.jpg
https://cdn.ncbi.nlm.nih.gov/pmc/blobs/ba08/11707358/0965e6cca941/41467_2024_55797_Fig6_HTML.jpg
https://cdn.ncbi.nlm.nih.gov/pmc/blobs/ba08/11707358/e307946acbc5/41467_2024_55797_Fig7_HTML.jpg
https://cdn.ncbi.nlm.nih.gov/pmc/blobs/ba08/11707358/764a5c3536d5/41467_2024_55797_Fig8_HTML.jpg
https://cdn.ncbi.nlm.nih.gov/pmc/blobs/ba08/11707358/24986c6cd192/41467_2024_55797_Fig9_HTML.jpg
https://cdn.ncbi.nlm.nih.gov/pmc/blobs/ba08/11707358/264e0d721dec/41467_2024_55797_Fig10_HTML.jpg
https://cdn.ncbi.nlm.nih.gov/pmc/blobs/ba08/11707358/0ab496e51183/41467_2024_55797_Fig1_HTML.jpg
https://cdn.ncbi.nlm.nih.gov/pmc/blobs/ba08/11707358/2ca0fdb753d4/41467_2024_55797_Fig2_HTML.jpg
https://cdn.ncbi.nlm.nih.gov/pmc/blobs/ba08/11707358/3d389b47a694/41467_2024_55797_Fig3_HTML.jpg
https://cdn.ncbi.nlm.nih.gov/pmc/blobs/ba08/11707358/b1e7071c6dd8/41467_2024_55797_Fig4_HTML.jpg
https://cdn.ncbi.nlm.nih.gov/pmc/blobs/ba08/11707358/2c259080bdee/41467_2024_55797_Fig5_HTML.jpg
https://cdn.ncbi.nlm.nih.gov/pmc/blobs/ba08/11707358/0965e6cca941/41467_2024_55797_Fig6_HTML.jpg
https://cdn.ncbi.nlm.nih.gov/pmc/blobs/ba08/11707358/e307946acbc5/41467_2024_55797_Fig7_HTML.jpg
https://cdn.ncbi.nlm.nih.gov/pmc/blobs/ba08/11707358/764a5c3536d5/41467_2024_55797_Fig8_HTML.jpg
https://cdn.ncbi.nlm.nih.gov/pmc/blobs/ba08/11707358/24986c6cd192/41467_2024_55797_Fig9_HTML.jpg
https://cdn.ncbi.nlm.nih.gov/pmc/blobs/ba08/11707358/264e0d721dec/41467_2024_55797_Fig10_HTML.jpg

相似文献

1
BrCFCN for photocatalytic cyanodifluoromethylation.用于光催化氰基二氟甲基化的溴代碳氟环丁烷
Nat Commun. 2025 Jan 7;16(1):445. doi: 10.1038/s41467-024-55797-4.
2
Photocatalyzed Cyanodifluoromethylation of Alkenes.烯烃的光催化二氟氰基甲基化反应
Angew Chem Int Ed Engl. 2019 Apr 23;58(18):6079-6083. doi: 10.1002/anie.201900466. Epub 2019 Mar 26.
3
Difluorocarbene-based cyanodifluoromethylation of alkenes induced by a dual-functional Cu-catalyst.双功能铜催化剂诱导的烯烃基于二氟卡宾的氰基二氟甲基化反应
Chem Commun (Camb). 2021 Mar 11;57(21):2649-2652. doi: 10.1039/d1cc00160d.
4
Copper-Catalyzed Asymmetric Radical 1,2-Carboalkynylation of Alkenes with Alkyl Halides and Terminal Alkynes.铜催化的烯烃与烷基卤化物和末端炔烃的不对称自由基 1,2-碳炔化反应。
J Am Chem Soc. 2020 May 20;142(20):9501-9509. doi: 10.1021/jacs.0c03130. Epub 2020 May 6.
5
Copper-Mediated Cyanodifluoromethylation of (Hetero)aryl Iodides and Activated (Hetero)aryl Bromides with TMSCFCN.铜介导的(杂)芳基碘化物和活化的(杂)芳基溴化物与三甲基硅基氰基二氟甲烷的氰基二氟甲基化反应
J Am Chem Soc. 2024 Jun 5;146(22):15464-15472. doi: 10.1021/jacs.4c03618. Epub 2024 May 23.
6
Substrate activation strategies in rhodium(III)-catalyzed selective functionalization of arenes.铑(III)催化芳烃选择性功能化中的底物活化策略。
Acc Chem Res. 2015 Apr 21;48(4):1007-20. doi: 10.1021/acs.accounts.5b00077. Epub 2015 Apr 6.
7
Hydroaminoalkylation for the Catalytic Addition of Amines to Alkenes or Alkynes: Diverse Mechanisms Enable Diverse Substrate Scope.水合氨基烷基化反应在烯烃或炔烃的胺加成反应中的催化作用:多种机制可实现不同的底物范围。
J Am Chem Soc. 2022 Jul 6;144(26):11459-11481. doi: 10.1021/jacs.1c10397. Epub 2022 Jun 22.
8
Transition-Metal-Catalyzed C-C Bond Formation from C-C Activation.过渡金属催化的由碳-碳活化形成碳-碳键
Acc Chem Res. 2023 Nov 7;56(21):2867-2886. doi: 10.1021/acs.accounts.3c00230. Epub 2023 Oct 26.
9
Enantioselective Synthesis of Axially Chiral Tetrasubstituted Alkenes by Copper-Catalyzed C(sp)-H Functionalization of Arenes with Vinyl Cations.通过铜催化芳烃与乙烯基阳离子的C(sp)-H官能化反应对轴向手性四取代烯烃进行对映选择性合成。
Angew Chem Int Ed Engl. 2025 Feb 3;64(6):e202418254. doi: 10.1002/anie.202418254. Epub 2024 Nov 27.
10
Selective C-O bond formation a photocatalytic radical coupling strategy: access to perfluoroalkoxylated (OR) arenes and heteroarenes.选择性碳-氧键形成:一种光催化自由基偶联策略——通向全氟烷氧基化(OR)芳烃和杂芳烃的途径
Chem Sci. 2017 Sep 1;8(9):6066-6070. doi: 10.1039/c7sc01684k. Epub 2017 Jun 5.

引用本文的文献

1
Linking Fluorine with Bio-Derived Furfural: Aiming Towards More Sustainable Fluorinated Polymers and Drugs.将氟与生物衍生糠醛相结合:迈向更可持续的含氟聚合物和药物。
Molecules. 2025 May 24;30(11):2305. doi: 10.3390/molecules30112305.
2
Selective radical-type perfluoro-tert-butylation of unsaturated compounds with a stable and scalable reagent.使用一种稳定且可扩展的试剂对不饱和化合物进行选择性自由基型全氟叔丁基化反应。
Nat Commun. 2025 May 14;16(1):4458. doi: 10.1038/s41467-025-59772-5.
3
Application of Lead-Free Metal Halide Perovskite Heterojunctions for the Carbohalogenation of C-C Multiple Bonds.

本文引用的文献

1
Copper-Mediated Cyanodifluoromethylation of (Hetero)aryl Iodides and Activated (Hetero)aryl Bromides with TMSCFCN.铜介导的(杂)芳基碘化物和活化的(杂)芳基溴化物与三甲基硅基氰基二氟甲烷的氰基二氟甲基化反应
J Am Chem Soc. 2024 Jun 5;146(22):15464-15472. doi: 10.1021/jacs.4c03618. Epub 2024 May 23.
2
Efficient Synthesis of α-Haloboronic Esters via Cu-Catalyzed Atom Transfer Radical Addition.通过铜催化的原子转移自由基加成高效合成α-卤代硼酸酯
J Am Chem Soc. 2023 Dec 20;145(50):27230-27235. doi: 10.1021/jacs.3c11347. Epub 2023 Dec 6.
3
Copper(I) Photocatalyzed Bromonitroalkylation of Olefins: Evidence for Highly Efficient Inner-Sphere Pathways.
无铅金属卤化物钙钛矿异质结在碳-碳多重键碳卤化反应中的应用。
Org Lett. 2025 Apr 11;27(14):3667-3672. doi: 10.1021/acs.orglett.5c00780. Epub 2025 Apr 1.
铜(I)光催化烯烃的溴硝基烷基化反应:高效内球途径的证据
Angew Chem Int Ed Engl. 2023 Apr 11;62(16):e202219086. doi: 10.1002/anie.202219086. Epub 2023 Mar 8.
4
Controlling Selectivity in Shuttle Hetero-difunctionalization Reactions: Electrochemical Transfer Halo-thiolation of Alkynes.控制穿梭杂双功能化反应的选择性:炔烃的电化学转移卤代硫醇化反应。
Angew Chem Int Ed Engl. 2023 Jan 9;62(2):e202213630. doi: 10.1002/anie.202213630. Epub 2022 Dec 13.
5
A Base-Promoted Reductive Coupling Platform for the Divergent Defluorofunctionalization of Trifluoromethylarenes.碱促进的三氟甲基芳烃的发散性去氟官能团化还原偶联平台。
J Am Chem Soc. 2022 Jul 27;144(29):13032-13038. doi: 10.1021/jacs.2c05044. Epub 2022 Jul 14.
6
From Styrenes to Fluorinated Benzyl Bromides: A Photoinduced Difunctionalization via Atom Transfer Radical Addition.从苯乙烯到氟化苄基溴:通过原子转移自由基加成的光诱导双官能化反应。
Org Lett. 2022 Jul 8;24(26):4750-4755. doi: 10.1021/acs.orglett.2c01699. Epub 2022 Jun 29.
7
Advances in the Isomerization of Alkenes Using Small Molecule Photocatalysts.使用小分子光催化剂实现烯烃异构化的研究进展
Chem Rev. 2022 Jan 26;122(2):2650-2694. doi: 10.1021/acs.chemrev.1c00324. Epub 2021 Aug 27.
8
Photoredox-Catalyzed Addition of Dibromofluoromethane to Alkenes: Direct Synthesis of 1-Bromo-1-fluoroalkanes.光氧化还原催化的二溴氟甲烷与烯烃的加成反应:1-溴-1-氟烷烃的直接合成
Org Lett. 2021 Mar 19;23(6):2364-2369. doi: 10.1021/acs.orglett.1c00639. Epub 2021 Mar 5.
9
Progress in Difluoroalkylation of Organic Substrates by Visible Light Photoredox Catalysis.可见光光氧化还原催化实现有机底物二氟烷基化的研究进展
Adv Synth Catal. 2019 Apr 1;361(7):1500-1537. doi: 10.1002/adsc.201801121. Epub 2019 Jan 17.
10
Fluorine and Fluorinated Motifs in the Design and Application of Bioisosteres for Drug Design.氟原子及含氟基序在药物设计中生物等排体的设计与应用。
J Med Chem. 2018 Jul 26;61(14):5822-5880. doi: 10.1021/acs.jmedchem.7b01788. Epub 2018 Feb 5.