Suppr超能文献

优化低剂量[18F]FDG-PET/CT扫描:在放射性示踪剂供应挑战中确保质量——来自一家外周三级医疗中心的见解

Optimizing Low-Dose [18F]FDG-PET/CT Scans: Ensuring Quality Amid Radiotracer Availability Challenges - Insights from a Peripheral Tertiary Care Center.

作者信息

Tayal Sachin, Jain Yash, Thakur Sonali, Shukla Varun, Venkatachalam Manikandan Marappagounder, Kumar Ajay, Sinha Ritwik

机构信息

Department of Nuclear Medicine and Molecular Imaging, Homi Bhabha Cancer Hospital & Mahamana Pandit Madan Mohan Malaviya Cancer Centre, Tata Memorial Centre, Homi Bhabha National Institute (HBNI), Varanasi, India.

出版信息

Indian J Nucl Med. 2024 Jul-Aug;39(4):292-298. doi: 10.4103/ijnm.ijnm_90_24. Epub 2024 Nov 18.

Abstract

BACKGROUND

The introduction of positron emission tomography/computed tomography (PET/CT) has significantly advanced medical imaging. In oncology, F-fluorodeoxyglucose (F-FDG) PET/CT is particularly crucial for staging, evaluating treatment response, monitoring follow-up, and planning radiotherapy. However, in resource limiting hospitals, the availability of fluorine-labeled F-FDG limits optimal scan acquisition. This study aims to determine the optimal dosage and acquisition time to maximize patient throughput during shortages.

AIM AND OBJECTIVE

To optimize low-dose F-FDG scan protocols while maintaining high image quality despite radiotracer availability challenges.

MATERIALS AND METHODS

PET/CT scans were performed using GE's Discovery IQ 5-ring, 16-slice system within 40-60 minutes of intravenous F-FDG injection. The protocol was adjusted to a low-dose (0.05 mCi/kg of F-FDG), and the PET data acquisition time was increased to 3 min per bed position to ensure image quality.

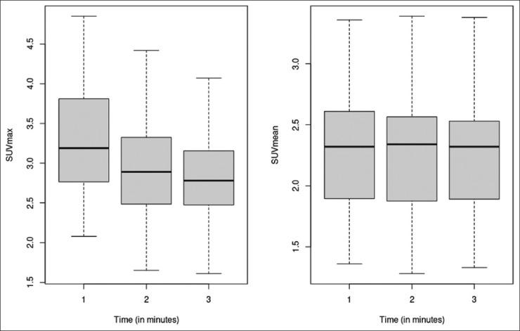
RESULTS

Notable differences were observed in image quality scores based on varying acquisition times, with the extended acquisition time helping maintain diagnostic standards despite reduced tracer doses.

CONCLUSION

The high sensitivity and long axial length of the PET/CT system (with five rings spanning 26 cm AFOV) can significantly alleviate the challenges faced by cyclotron-dependent centers. By leveraging the increased sensitivity, we successfully reduced the injected activity rather than the scan time to address the tracer shortage at our institute. This approach proved to be effective in maintaining image quality and patient care standards.

摘要

背景

正电子发射断层扫描/计算机断层扫描(PET/CT)的引入显著推动了医学成像的发展。在肿瘤学中,氟代脱氧葡萄糖(F-FDG)PET/CT对于分期、评估治疗反应、监测随访以及放疗计划尤为关键。然而,在资源有限的医院,氟标记的F-FDG的可及性限制了最佳扫描采集。本研究旨在确定在短缺期间使患者通量最大化的最佳剂量和采集时间。

目的

尽管存在放射性示踪剂可及性挑战,但在保持高图像质量的同时优化低剂量F-FDG扫描方案。

材料与方法

在静脉注射F-FDG后40 - 60分钟内,使用GE的Discovery IQ 5环16层系统进行PET/CT扫描。方案调整为低剂量(0.05 mCi/kg的F-FDG),并且PET数据采集时间增加到每个床位位置3分钟以确保图像质量。

结果

基于不同采集时间观察到图像质量评分存在显著差异,尽管示踪剂剂量减少,但延长的采集时间有助于维持诊断标准。

结论

PET/CT系统的高灵敏度和长轴向长度(五环跨越26 cm AFOV)可显著缓解依赖回旋加速器的中心所面临的挑战。通过利用提高的灵敏度,我们成功降低了注射活度而非扫描时间,以解决我们研究所的示踪剂短缺问题。这种方法在维持图像质量和患者护理标准方面被证明是有效的。

https://cdn.ncbi.nlm.nih.gov/pmc/blobs/aeac/11708796/37cf495288cc/IJNM-39-292-g001.jpg

文献AI研究员

20分钟写一篇综述,助力文献阅读效率提升50倍。

立即体验

用中文搜PubMed

大模型驱动的PubMed中文搜索引擎

马上搜索

文档翻译

学术文献翻译模型,支持多种主流文档格式。

立即体验