• 文献检索
  • 文档翻译
  • 深度研究
  • 学术资讯
  • Suppr Zotero 插件Zotero 插件
  • 邀请有礼
  • 套餐&价格
  • 历史记录
应用&插件
Suppr Zotero 插件Zotero 插件浏览器插件Mac 客户端Windows 客户端微信小程序
定价
高级版会员购买积分包购买API积分包
服务
文献检索文档翻译深度研究API 文档MCP 服务
关于我们
关于 Suppr公司介绍联系我们用户协议隐私条款
关注我们

Suppr 超能文献

核心技术专利:CN118964589B侵权必究
粤ICP备2023148730 号-1Suppr @ 2026

文献检索

告别复杂PubMed语法,用中文像聊天一样搜索,搜遍4000万医学文献。AI智能推荐,让科研检索更轻松。

立即免费搜索

文件翻译

保留排版,准确专业,支持PDF/Word/PPT等文件格式,支持 12+语言互译。

免费翻译文档

深度研究

AI帮你快速写综述,25分钟生成高质量综述,智能提取关键信息,辅助科研写作。

立即免费体验

“由于这些限制,女孩们觉得自己一文不值”:对不同宗教和其他社会文化背景下青春期女孩月经限制与污名化的定性与定量描述

"Due to These Restrictions, Girls Think of Themselves as Nothing": A Qualitative and Quantitative Description of Menstrual Restrictions and Stigma Among Adolescent Girls Across Religious and Other Sociocultural Contexts.

作者信息

King Aisha S, Sikkema Kathleen J, Rubli Jennifer, DeVries Britt, Cherenack Emily M

机构信息

Department of Sociomedical Sciences, Columbia University Mailman School of Public Health, New York, New York, USA.

Department of Psychology and Neuroscience, Duke Global Health Institute, Duke University, Durham, North Carolina, USA.

出版信息

J Adolesc. 2025 Jun;97(4):901-916. doi: 10.1002/jad.12463. Epub 2025 Jan 10.

DOI:10.1002/jad.12463
PMID:39791446
原文链接:https://pmc.ncbi.nlm.nih.gov/articles/PMC12128905/
Abstract

INTRODUCTION

Girls in Tanzania often experience menstrual restrictions (i.e., expectations about behaviors prohibited during menstruation) and menstrual stigma (i.e., negative attitudes toward people who menstruate). A better understanding of sociocultural contexts contributing to menstrual stigma and restrictions is needed.

METHODS

In 2018, two conceptually linked quantitative and qualitative studies were conducted to describe menstrual restrictions and stigma among girls in Tanzania, examine how sociocultural contexts influence menstrual restrictions and stigma, and investigate the relationship between menstrual restrictions and stigma. A cross-sectional survey of 509 post-menarche girls from five schools assessed associations between religion, religion-based menstrual restrictions, and menstrual stigma while controlling for differences between schools. In-depth interviews with 10 adolescent girls and 10 adult key informants explored broader menstrual experiences. We analyzed themes pertaining to sociocultural contexts and other mechanisms that shape menstrual restrictions and stigma, their impacts on girls, and opportunities for intervention.

RESULTS

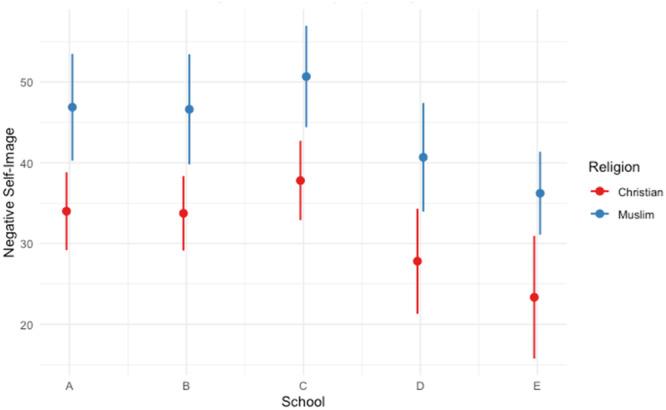
In the surveys, 52% of Christian girls and 76% of Muslim girls experienced religion-based menstrual restrictions. Some restrictions, such as prohibitions against praying during menstruation, were more common among Muslim girls, who also had higher menstrual stigma. Menstrual stigma differed by school. Although menstrual restrictions did not show an association with stigma in the surveys, interview participants described how menstrual restrictions contribute to stigma and indicated that religion, tribe, education, family support, and menstrual resources influence menstrual restrictions and stigma.

CONCLUSION

Sociocultural contexts influence menstrual restrictions and stigma. Working with religious, school, and family leaders may provide opportunities to implement interventions to reduce menstrual stigma.

摘要

引言

坦桑尼亚的女孩经常经历经期限制(即对经期禁止行为的期望)和经期污名(即对经期女性的负面态度)。需要更好地了解导致经期污名和限制的社会文化背景。

方法

2018年,开展了两项概念相关的定量和定性研究,以描述坦桑尼亚女孩的经期限制和污名,研究社会文化背景如何影响经期限制和污名,并调查经期限制与污名之间的关系。对来自五所学校的509名初潮后女孩进行横断面调查,评估宗教、基于宗教的经期限制和经期污名之间的关联,同时控制学校之间的差异。对10名青春期女孩和10名成年关键信息提供者进行深入访谈,探讨更广泛的经期经历。我们分析了与塑造经期限制和污名的社会文化背景及其他机制、它们对女孩的影响以及干预机会相关的主题。

结果

在调查中,52%的基督教女孩和76%的穆斯林女孩经历了基于宗教的经期限制。一些限制,如经期禁止祈祷,在穆斯林女孩中更为常见,她们的经期污名也更高。经期污名因学校而异。尽管在调查中经期限制与污名没有关联,但访谈参与者描述了经期限制如何导致污名,并指出宗教、部落、教育、家庭支持和经期资源会影响经期限制和污名。

结论

社会文化背景影响经期限制和污名。与宗教、学校和家庭领袖合作可能为实施减少经期污名的干预措施提供机会。

https://cdn.ncbi.nlm.nih.gov/pmc/blobs/dda2/12128905/51dd84819aff/JAD-97-901-g002.jpg
https://cdn.ncbi.nlm.nih.gov/pmc/blobs/dda2/12128905/7b003c48100e/JAD-97-901-g001.jpg
https://cdn.ncbi.nlm.nih.gov/pmc/blobs/dda2/12128905/51dd84819aff/JAD-97-901-g002.jpg
https://cdn.ncbi.nlm.nih.gov/pmc/blobs/dda2/12128905/7b003c48100e/JAD-97-901-g001.jpg
https://cdn.ncbi.nlm.nih.gov/pmc/blobs/dda2/12128905/51dd84819aff/JAD-97-901-g002.jpg

相似文献

1
"Due to These Restrictions, Girls Think of Themselves as Nothing": A Qualitative and Quantitative Description of Menstrual Restrictions and Stigma Among Adolescent Girls Across Religious and Other Sociocultural Contexts.“由于这些限制,女孩们觉得自己一文不值”:对不同宗教和其他社会文化背景下青春期女孩月经限制与污名化的定性与定量描述
J Adolesc. 2025 Jun;97(4):901-916. doi: 10.1002/jad.12463. Epub 2025 Jan 10.
2
"If I use pad, I feel comfortable and safe": a mixed-method analysis of knowledge, attitude, and practice of menstrual hygiene management among in-school adolescent girls in a Nigerian city.“如果我使用卫生巾,我会感到舒适和安全”:一项对尼日利亚城市在校少女月经卫生管理知识、态度和实践的混合方法分析。
BMC Public Health. 2024 Jun 27;24(1):1721. doi: 10.1186/s12889-024-19256-5.
3
Period teasing, stigma and knowledge: A survey of adolescent boys and girls in Northern Tanzania.经期调侃、污名与知识:坦桑尼亚北部青少年男女生调查
PLoS One. 2020 Oct 28;15(10):e0239914. doi: 10.1371/journal.pone.0239914. eCollection 2020.
4
Tending the 'monthly flower:' a qualitative study of menstrual beliefs in Tigray, Ethiopia.照料“每月之花”:埃塞俄比亚提格雷地区月经信仰的定性研究。
BMC Womens Health. 2018 Nov 13;18(1):183. doi: 10.1186/s12905-018-0676-z.
5
Menstrual knowledge, sociocultural restrictions, and barriers to menstrual hygiene management in Ghana: Evidence from a multi-method survey among adolescent schoolgirls and schoolboys.加纳青少年中女生和男生的多方法调查显示:月经知识、社会文化限制因素以及经期卫生管理障碍。
PLoS One. 2020 Oct 22;15(10):e0241106. doi: 10.1371/journal.pone.0241106. eCollection 2020.
6
"I know your problems; take your bag and go home": a qualitative study using the social-ecological model to understand drivers of suboptimal school and social participation among secondary schoolgirls in Northwest Tanzania.“我了解你的问题;带上你的书包回家去吧”:一项运用社会生态模型的定性研究,旨在了解坦桑尼亚西北部中学女生学校参与度和社会参与度欠佳的驱动因素
BMC Public Health. 2025 May 28;25(1):1969. doi: 10.1186/s12889-025-23101-8.
7
Perception and practices of menstruation restrictions among urban adolescent girls and women in Nepal: a cross-sectional survey.尼泊尔城市青少年女孩和妇女对经期限制的认知和实践:一项横断面调查。
Reprod Health. 2020 Jun 1;17(1):81. doi: 10.1186/s12978-020-00935-6.
8
Status and Factors of Menstrual Knowledge, Attitudes, Behaviors and Their Correlation with Psychological Stress in Adolescent Girls.青春期女孩月经知识、态度、行为现状及其影响因素与心理压力的相关性
J Pediatr Adolesc Gynecol. 2019 Dec;32(6):584-589. doi: 10.1016/j.jpag.2019.08.007. Epub 2019 Aug 21.
9
Menstrual health and school absenteeism among adolescent girls in Uganda (MENISCUS): a feasibility study.乌干达少女的月经健康与缺课情况(MENISCUS):一项可行性研究。
BMC Womens Health. 2018 Jan 3;18(1):4. doi: 10.1186/s12905-017-0502-z.
10
Adolescent girls' experiences of menstruation and schooling in monastic schools in Magway Region, Myanmar: A mixed-methods exploration.缅甸马圭省寺院学校中少女的月经经历与上学情况:一项混合方法探索
Front Reprod Health. 2022 Aug 1;4:893266. doi: 10.3389/frph.2022.893266. eCollection 2022.

本文引用的文献

1
Partnerships with religious leaders to promote family planning in rural Tanzania: an open-label, cluster randomised trial.与宗教领袖合作在坦桑尼亚农村推广计划生育:一项开放标签、整群随机试验。
Lancet Glob Health. 2023 Dec;11(12):e1943-e1954. doi: 10.1016/S2214-109X(23)00453-9.
2
Adolescent girls' descriptions of dysmenorrhea and barriers to dysmenorrhea management in Moshi, Tanzania: A qualitative study.坦桑尼亚莫希地区青春期女孩对痛经及痛经管理障碍的描述:一项定性研究
PLOS Glob Public Health. 2023 Jul 6;3(7):e0001544. doi: 10.1371/journal.pgph.0001544. eCollection 2023.
3
"Menstruation is a Fearful Thing": A Qualitative Exploration of Menstrual Experiences and Sources of Information About Menstruation Among Adolescent Schoolgirls.
“月经是件可怕的事”:对青春期女学生月经经历及月经信息来源的质性探索
Int J Womens Health. 2023 May 31;15:881-892. doi: 10.2147/IJWH.S407455. eCollection 2023.
4
Biological, material and socio-cultural constraints to effective menstrual hygiene management among secondary school students in Tanzania.坦桑尼亚中学生有效经期卫生管理面临的生物、物质及社会文化制约因素。
PLOS Glob Public Health. 2022 Mar 14;2(3):e0000110. doi: 10.1371/journal.pgph.0000110. eCollection 2022.
5
Exploring a faith-based approach to puberty education in Tanzania.探索坦桑尼亚基于信仰的青春期教育方法。
Front Reprod Health. 2023 Feb 10;5:1024550. doi: 10.3389/frph.2023.1024550. eCollection 2023.
6
Menstrual hygiene practice and associated factors among adolescent girls in sub-Saharan Africa: a systematic review and meta-analysis.撒哈拉以南非洲青春期少女的月经卫生实践及相关因素:系统评价和荟萃分析。
BMC Public Health. 2023 Jan 6;23(1):33. doi: 10.1186/s12889-022-14942-8.
7
Perceived factors influencing menstrual hygiene management among adolescent girls: a qualitative study in the West Gonja Municipality of the Savannah Region, Ghana.影响青春期少女经期卫生管理的感知因素:加纳萨凡纳地区西部戈纳市的一项定性研究。
Pan Afr Med J. 2022 Feb 18;41:146. doi: 10.11604/pamj.2022.41.146.33492. eCollection 2022.
8
Effects of Menstrual Health and Hygiene on School Absenteeism and Drop-Out among Adolescent Girls in Rural Gambia.月经健康与卫生对冈比亚农村地区少女缺课和辍学的影响。
Int J Environ Res Public Health. 2022 Mar 11;19(6):3337. doi: 10.3390/ijerph19063337.
9
Psychometric Properties of the Berger HIV Stigma Scale: A Systematic Review. Berger 艾滋病毒耻辱量表的心理测量特性:系统评价。
Int J Environ Res Public Health. 2021 Dec 11;18(24):13074. doi: 10.3390/ijerph182413074.
10
Menstrual health is a public health and human rights issue.月经健康是一个公共卫生和人权问题。
Lancet Public Health. 2022 Jan;7(1):e10-e11. doi: 10.1016/S2468-2667(21)00212-7. Epub 2021 Oct 28.