Suppr超能文献

抗菌肽醋酸格拉替雷靶向铜绿假单胞菌脂多糖以破坏细胞膜而不改变脂多糖修饰。

Antimicrobial peptide glatiramer acetate targets Pseudomonas aeruginosa lipopolysaccharides to breach membranes without altering lipopolysaccharide modification.

作者信息

Murphy Ronan A, Pizzato Jade, Cuthbertson Leah, Sabnis Akshay, Edwards Andrew M, Nolan Laura M, Vorup-Jensen Thomas, Larrouy-Maumus Gerald, Davies Jane C

机构信息

National Heart and Lung Institute, Imperial College London, London, UK.

Centre for Bacterial Resistance Biology, Imperial College London, London, UK.

出版信息

NPJ Antimicrob Resist. 2024 Feb 20;2(1):4. doi: 10.1038/s44259-024-00022-x.

Abstract

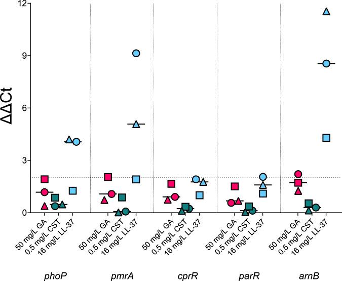
Antimicrobial peptides (AMPs) are key components of innate immunity across all domains of life. Natural and synthetic AMPs are receiving renewed attention in efforts to combat the antimicrobial resistance (AMR) crisis and the loss of antibiotic efficacy. The gram-negative pathogen Pseudomonas aeruginosa is one of the most concerning infecting bacteria in AMR, particularly in people with cystic fibrosis (CF) where respiratory infections are difficult to eradicate and associated with increased morbidity and mortality. Cationic AMPs exploit the negatively charged lipopolysaccharides (LPS) on P. aeruginosa to bind and disrupt bacterial membrane(s), causing lethal damage. P. aeruginosa modifies its LPS to evade AMP killing. Free-LPS is also a component of CF sputum and feeds pro-inflammatory cycles. Glatiramer acetate (GA) is a random peptide co-polymer-of glycine, lysine, alanine, tyrosine-used as a drug in treatment of multiple sclerosis (MS); we have previously shown GA to be an AMP which synergises with tobramycin against CF P. aeruginosa, functioning via bacterial membrane disruption. Here, we demonstrate GA's direct binding and sequestration/neutralisation of P. aeruginosa LPS, in keeping with GA's ability to disrupt the outer membrane. At CF-relevant LPS concentrations, however, membrane disruption by GA was not strongly inhibited. Furthermore, exposure to GA did not result in increased Lipid A modification of LPS or in increased gene expression of systems involved in AMP sensing and LPS modification. Therefore, despite the electrostatic targeting of LPS by GA as part of its activity, P. aeruginosa does not demonstrate LPS modification in its defence.

摘要

抗菌肽(AMPs)是所有生命领域固有免疫的关键组成部分。在应对抗菌耐药性(AMR)危机和抗生素疗效丧失的努力中,天然和合成抗菌肽正重新受到关注。革兰氏阴性病原体铜绿假单胞菌是AMR中最令人担忧的感染细菌之一,尤其是在囊性纤维化(CF)患者中,呼吸道感染难以根除,且与发病率和死亡率增加有关。阳离子抗菌肽利用铜绿假单胞菌表面带负电荷的脂多糖(LPS)来结合并破坏细菌膜,造成致命损伤。铜绿假单胞菌会修饰其LPS以逃避抗菌肽的杀伤。游离LPS也是CF痰液的组成部分,并促进炎症循环。醋酸格拉替雷(GA)是一种由甘氨酸、赖氨酸、丙氨酸、酪氨酸组成的随机肽共聚物,用作治疗多发性硬化症(MS)的药物;我们之前已经证明GA是一种抗菌肽,可与妥布霉素协同作用对抗CF患者的铜绿假单胞菌,通过破坏细菌膜发挥作用。在此,我们证明了GA与铜绿假单胞菌LPS的直接结合以及螯合/中和作用,这与GA破坏外膜的能力一致。然而,在与CF相关的LPS浓度下,GA对膜的破坏作用并未受到强烈抑制。此外,暴露于GA并未导致LPS的脂质A修饰增加,也未导致参与抗菌肽感知和LPS修饰的系统基因表达增加。因此,尽管GA作为其活性的一部分对LPS进行静电靶向,但铜绿假单胞菌在防御过程中并未表现出LPS修饰。

https://cdn.ncbi.nlm.nih.gov/pmc/blobs/aba9/11702655/af993d135484/44259_2024_22_Fig1_HTML.jpg

文献检索

告别复杂PubMed语法,用中文像聊天一样搜索,搜遍4000万医学文献。AI智能推荐,让科研检索更轻松。

立即免费搜索

文件翻译

保留排版,准确专业,支持PDF/Word/PPT等文件格式,支持 12+语言互译。

免费翻译文档

深度研究

AI帮你快速写综述,25分钟生成高质量综述,智能提取关键信息,辅助科研写作。

立即免费体验