Suppr超能文献

肥厚型心肌病患者肺动脉高压的预后:一项多中心倾向评分匹配研究。

Prognosis of pulmonary hypertension in patients with hypertrophic cardiomyopathy: A multicenter propensity score matching study.

作者信息

Ma Huihui, Xu Fengcheng, Liu Lei, Kong Hong, Luo Rong, Liu Mingjiang, Liu Tianhu, Li Xiaoping

机构信息

Institute of Cardiovascular Diseases & Department of Cardiology, Sichuan Provincial People's Hospital, School of Medicine, University of Electronic Science and Technology of China, Chengdu 610072, China.

Chinese Academy of Sciences Sichuan Translational Medicine Research Hospital, Chengdu 610072, China.

出版信息

Int J Cardiol Heart Vasc. 2025 Jan 15;56:101605. doi: 10.1016/j.ijcha.2025.101605. eCollection 2025 Feb.

Abstract

OBJECTIVES

Pulmonary hypertension (PH) is known to be associated with increased mortality in patients suffering from left ventricular disease. The aim of this study was to assess the incidence of PH among patients diagnosed with hypertrophic cardiomyopath (HCM) and to evaluate its prognostic significance.

METHODS

The study cohort consisted of 2781 patients with HCM. Among them, 226 patients had PH (8.1%), and 2555 patients did not have PH (91.8%). The fourteen demographic and clinical variables were matched between the two groups using a 1:3 propensity score matching (PSM) method. Kaplan-Meier survival curves and Cox proportional hazard regression models were used to evaluate the correlation between PH and mortality. Moreover, a competing risk regression analysis was conducted to assess the competing risk.

RESULTS

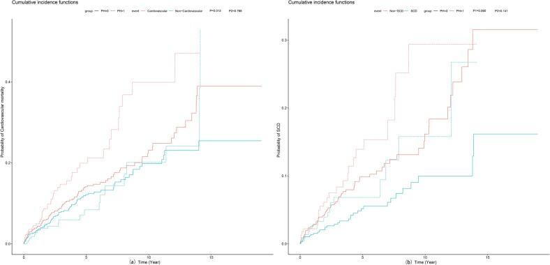
Before matching, there were 519 (18.7 %) patients with all-cause mortality, including 292 (10.5 %) patients who experienced cardiovascular mortality and 128 (4.6 %) patients who experienced SCD. There was a significant difference in the Kaplan-Meier survival curves for all-cause mortality (log-rank  < 0.0001), cardiovascular mortality (log-rank  < 0.0001) and SCD (log-rank  = 0.0005). After matching, there were also significant differences in cardiovascular mortality (log-rank  = 0.011) and SCD (log-rank  = 0.042), but only a similar trend was observed for all-cause mortality (log-rank  = 0.052). Cox regression analyses suggested that PH was an independent risk predictor for cardiovascular mortality [HR: 1.666; 95 % CI: 1.145-2.424;  = 0.008].

CONCLUSION

HCM patients with PH characterized by increased cardiovascular mortality and SCD, as well as a similar trend in all-cause mortality. Moreover, PH is an independent risk factor for cardiovascular mortality.

摘要

目的

肺动脉高压(PH)与左心室疾病患者死亡率增加相关。本研究旨在评估肥厚型心肌病(HCM)患者中PH的发生率,并评估其预后意义。

方法

研究队列包括2781例HCM患者。其中,226例患者患有PH(8.1%),2555例患者未患PH(91.8%)。使用1:3倾向评分匹配(PSM)方法对两组的14个人口统计学和临床变量进行匹配。采用Kaplan-Meier生存曲线和Cox比例风险回归模型评估PH与死亡率之间的相关性。此外,进行竞争风险回归分析以评估竞争风险。

结果

匹配前,有519例(18.7%)患者全因死亡,其中292例(10.5%)患者发生心血管死亡,128例(4.6%)患者发生心源性猝死(SCD)。全因死亡率(对数秩检验<0.0001)、心血管死亡率(对数秩检验<0.0001)和SCD(对数秩检验=0.0005)的Kaplan-Meier生存曲线存在显著差异。匹配后,心血管死亡率(对数秩检验=0.011)和SCD(对数秩检验=0.042)也存在显著差异,但全因死亡率仅观察到相似趋势(对数秩检验=0.052)。Cox回归分析表明,PH是心血管死亡的独立风险预测因子[风险比(HR):1.666;95%置信区间(CI):1.145 - 2.424;P = 0.008]。

结论

患有PH的HCM患者其特征为心血管死亡率和SCD增加,全因死亡率也有相似趋势。此外,PH是心血管死亡的独立危险因素。

https://cdn.ncbi.nlm.nih.gov/pmc/blobs/c4e4/11783049/8204f4db6e6a/gr1.jpg

文献检索

告别复杂PubMed语法,用中文像聊天一样搜索,搜遍4000万医学文献。AI智能推荐,让科研检索更轻松。

立即免费搜索

文件翻译

保留排版,准确专业,支持PDF/Word/PPT等文件格式,支持 12+语言互译。

免费翻译文档

深度研究

AI帮你快速写综述,25分钟生成高质量综述,智能提取关键信息,辅助科研写作。

立即免费体验