Suppr超能文献

更新世气候振荡影响下南海橙点石斑鱼()的遗传模式与种群历史

Genetic Pattern and Demographic History of Orange-Spotted Grouper () in the South China Sea by the Influence of Pleistocene Climatic Oscillations.

作者信息

Chen Yongkun, Luo Zihao, Zhang Zhichao, Luo Zhisen, Ren Manting, He Xiongbo, Lin Hung-Du, Yan Yunrong

机构信息

College of Fisheries Guangdong Ocean University Zhanjiang China.

Guangdong Provincial Engineering and Technology Research Center of Far Sea Fisheries Management and Fishing of South China Sea Guangdong Ocean University Zhanjiang China.

出版信息

Ecol Evol. 2025 Feb 12;15(2):e70967. doi: 10.1002/ece3.70967. eCollection 2025 Feb.

Abstract

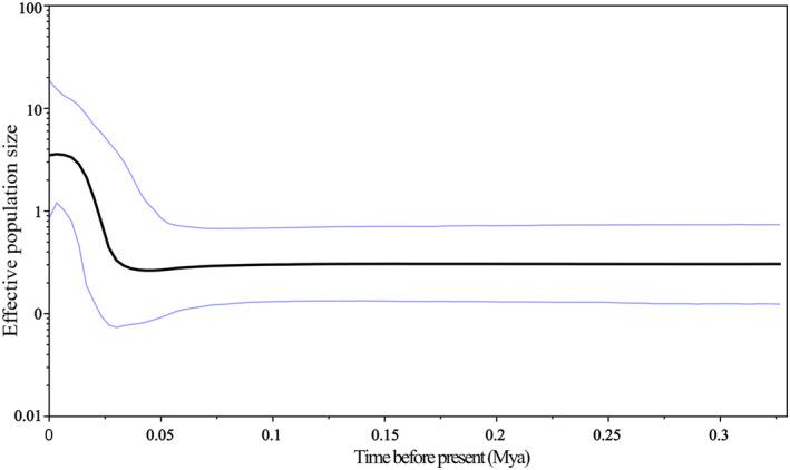
Orange-spotted groupers () are commercially important fish species that inhabit coral reef areas and are distributed across tropical coastal regions throughout the Indo-West Pacific Oceans. This study aims to assess the phylogeographic structure of by analyzing 180 individuals collected from six locations along the coast of mainland China and Hainan Island, using the mitochondrial Cyt gene and 17 microsatellite DNA markers. The mitochondrial DNA analysis revealed high haplotype diversity (0.882), while the microsatellite DNA data showed an average of 8.677 alleles among the six populations, indicating that all populations exhibit a high level of genetic diversity. The presence of two distinct evolutionary lineages of , along with the lack of significant genealogical structures corresponding to sampling localities, suggests that isolation in marginal seas during glaciation with lower sea levels shaped their phylogeographic distribution patterns. The results from STRUCTURE, PCoA, and pairwise revealed significant genetic differentiation in the Lingshui region (LS population) compared to other populations, suggesting that the Lingshui region, adjacent to deep-sea areas, remained isolated during glacial periods as it was not connected to the continental shelf of mainland China. Analysis of demographic history using ABC revealed that experienced historical lineage diversification and admixture due to secondary contact.

摘要

点带石斑鱼()是具有重要商业价值的鱼类,栖息于珊瑚礁区域,分布在印度 - 西太平洋的热带沿海地区。本研究旨在通过分析从中国大陆沿海和海南岛六个地点采集的180个个体,利用线粒体Cyt基因和17个微卫星DNA标记,评估点带石斑鱼的系统地理结构。线粒体DNA分析显示单倍型多样性较高(0.882),而微卫星DNA数据表明六个种群中平均每个种群有8.677个等位基因,这表明所有种群都表现出高水平的遗传多样性。点带石斑鱼存在两个不同的进化谱系,且缺乏与采样地点相对应的显著谱系结构,这表明在海平面较低的冰期,边缘海的隔离塑造了它们的系统地理分布模式。STRUCTURE、主坐标分析(PCoA)和两两FST分析的结果显示,与其他种群相比,陵水地区(LS种群)存在显著的遗传分化,这表明与深海区域相邻的陵水地区在冰期由于未与中国大陆的大陆架相连而保持隔离状态。使用近似贝叶斯计算(ABC)进行的种群历史分析表明,点带石斑鱼由于二次接触经历了历史谱系多样化和混合。

https://cdn.ncbi.nlm.nih.gov/pmc/blobs/d4f4/11815338/38ebe930cd86/ECE3-15-e70967-g009.jpg

文献AI研究员

20分钟写一篇综述,助力文献阅读效率提升50倍。

立即体验

用中文搜PubMed

大模型驱动的PubMed中文搜索引擎

马上搜索

文档翻译

学术文献翻译模型,支持多种主流文档格式。

立即体验