Suppr超能文献

加纳一家三级医院自发性脑出血患者院内死亡的预测因素:一项回顾性分析

Predictors of In-Hospital Mortality in Spontaneous Intracerebral Hemorrhage in a Tertiary Hospital in Ghana: A Retrospective Analysis.

作者信息

Limann Bernice, Darko Kwadwo, Osei Emmanuel Kwadwo Adjei, Dwumfour-Poku Nina, Farid Michael, Nkansah Samuel Benjamin, Faisal Abdallah Tikuma, Ofei Kwasi Kyei, Tanlongo Joseph Danwura, Guirguis Mina, Tenkorang Pearl Ohenewaa, Barrie Umaru, Fuseini Adams, Totimeh Teddy

机构信息

University of Ghana Medical School, Accra, Ghana.

Department of Neurosurgery, Korle-Bu Teaching Hospital, Accra, Ghana.

出版信息

Neurosurg Pract. 2024 Nov 11;5(4):e00120. doi: 10.1227/neuprac.0000000000000120. eCollection 2024 Dec.

Abstract

BACKGROUND AND OBJECTIVES

Spontaneous intracerebral hemorrhage (sICH) carries a high mortality and morbidity burden, with multiple factors influencing outcomes. The aim of this study was to identify the predictors of in-hospital outcomes for patients with sICH at a tertiary hospital in Ghana.

METHODS

In this retrospective study, approved by the Institutional Review Board, adult patients with sICH at the University of Ghana Medical Centre between 2021 and 2023 were reviewed to characterize the association between sociodemographics, clinical features, and management strategies to in-hospital outcomes. Based on in-hospital outcomes, patients were categorized into "mortality" and "survival" groups. Statistical analyses were performed using Wilcoxon rank sum, χ, and logistic and Cox regression to identify predictors of mortality and time to mortality.

RESULTS

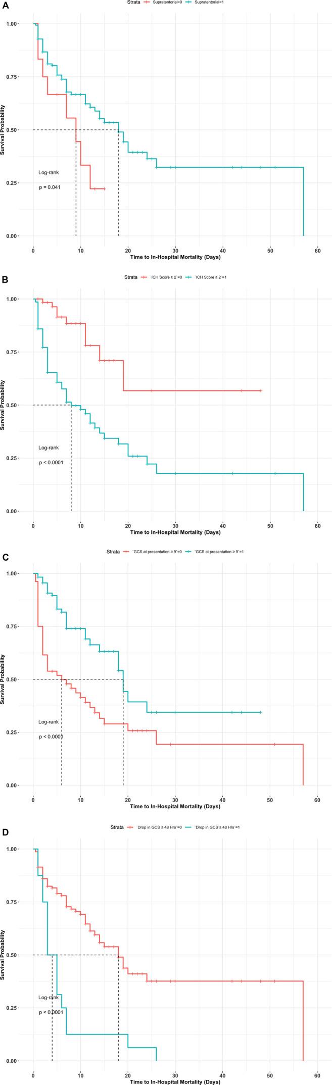
Among the 168 patients, 71 (42.3%) died, with a male predominance in both groups (60.6% and 70.1%, respectively). Altered level of consciousness was more common in mortality cases (70.4% vs 45.4%, = .002). The average Glasgow Coma Scale (GCS) score at presentation was lower in the mortality group (8.19 vs 12.5, < .001). Patients who died had a higher initial systolic blood pressure (SBP) (179 vs 163 mm Hg, = .004). Imaging showed a mean hematoma volume of (35.2 mL vs 22.7 mL, = .112). Intraventricular extension was present in (69.7% vs 50.5%, = .024). Predictors of in-hospital mortality were intraventricular extension (odds ratio: 2.18, 95% CI: 1.13-4.19, = .019), management complications (OR: 10.76, 95% CI: 3.99-29.06, < .001), and increasing mean SBP (OR: 1.02, 95% CI: 1.00-1.03, = .023). Independent predictors of earlier time to mortality were a drop in GCS (hazard ratio: 3.28, 95% CI: 1.86-5.80, < .001) and increasing ICH score (hazard ratio: 1.51, 95% CI: 1.24-1.85, < .001).

CONCLUSION

Predictors of in-hospital mortality included intraventricular extension, management complications, changes in GCS, and increasing SBP. Identifying and mitigating these factors, along with implementing rapid intervention protocols, are essential for improving outcomes in patients with sICH.

摘要

背景与目的

自发性脑出血(sICH)具有很高的死亡率和发病率负担,多种因素会影响其预后。本研究的目的是确定加纳一家三级医院中sICH患者院内预后的预测因素。

方法

在这项经机构审查委员会批准的回顾性研究中,对2021年至2023年间在加纳大学医学中心的成年sICH患者进行了回顾,以描述社会人口统计学、临床特征和管理策略与院内预后之间的关联。根据院内预后,将患者分为“死亡”和“存活”组。使用Wilcoxon秩和检验、χ检验以及逻辑回归和Cox回归进行统计分析,以确定死亡率和死亡时间的预测因素。

结果

在168例患者中,71例(42.3%)死亡,两组均以男性为主(分别为60.6%和70.1%)。意识水平改变在死亡病例中更为常见(70.4%对45.4%,P = .002)。入院时死亡组的平均格拉斯哥昏迷量表(GCS)评分较低(8.19对12.5,P < .001)。死亡患者的初始收缩压(SBP)较高(179对163 mmHg,P = .004)。影像学显示平均血肿体积为(35.2 mL对22.7 mL,P = .112)。脑室扩展的情况为(69.7%对50.5%,P = .024)。院内死亡的预测因素包括脑室扩展(比值比:2.18,95%置信区间:1.13 - 4.19,P = .019)、管理并发症(OR:10.76,95%置信区间:3.99 - 29.06,P < .001)以及平均SBP升高(OR:1.02,95%置信区间:1.00 - 1.03,P = .023)。较早死亡时间的独立预测因素是GCS下降(风险比:3.28,95%置信区间:1.86 - 5.80,P < .001)和脑出血评分增加(风险比:1.51,95%置信区间:1.24 - 1.85,P < .00)。

结论

院内死亡的预测因素包括脑室扩展、管理并发症、GCS变化和SBP升高。识别和减轻这些因素,同时实施快速干预方案,对于改善sICH患者的预后至关重要。

https://cdn.ncbi.nlm.nih.gov/pmc/blobs/a595/11809969/5d2275206858/neuopen-5-e00120-g001.jpg

文献AI研究员

20分钟写一篇综述,助力文献阅读效率提升50倍。

立即体验

用中文搜PubMed

大模型驱动的PubMed中文搜索引擎

马上搜索

文档翻译

学术文献翻译模型,支持多种主流文档格式。

立即体验