Suppr超能文献

在微波辐射下使用基于FeO的纳米杂化物优化油品性质和沥青质管理。

Optimizing oil properties and asphaltene management using FeO-based nanohybrids under microwave radiation.

作者信息

Farshadfar Hamidreza, Gharibshahi Reza, Jafari Arezou, Shoushtari Sharif

机构信息

Faculty of Chemical Engineering, Tarbiat Modares University, Tehran, Iran.

出版信息

Sci Rep. 2025 Feb 17;15(1):5799. doi: 10.1038/s41598-025-90326-3.

Abstract

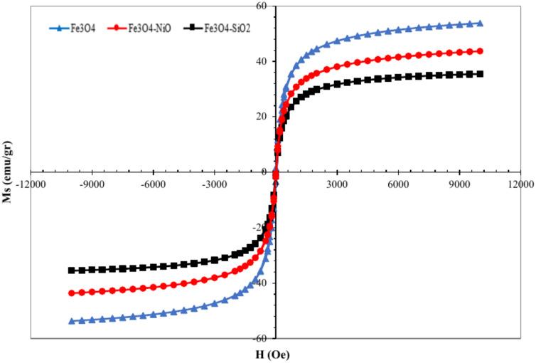
Due to the depletion of heavy oil reservoirs, novel approaches such as microwave technology and the integration of nanoparticles have expanded significantly. In this study, FeO nanoparticles, along with FeO-SiO and FeO-NiO nanohybrids, were synthesized via a co-precipitation method and characterized using various tests. Furthermore, to enhance the effect of the nanoparticles, MW irradiation was employed, modifying the static properties of crude oil. The optimal conditions, identified using the Taguchi design of experiment approach, revealed FeO-NiO to be the best option at a concentration of 0.5 wt.%, with 400 watts of power under 9 min of irradiation period. Under these conditions, a 42% reduction in viscosity, a 4.47° API gravity increase attributed to the breakdown of heavy molecules like asphaltenes. Also, it was revealed that this hybridizing approach leads to the stabilization of asphaltene particles, which was assessed by measuring the onset of asphaltene precipitation. The onset, evaluated with and without MW treatment, revealed a significant shift from 10 Vol.% to 26 Vol.% of n-heptane volume under optimal conditions. Furthermore, asphaltene content in the oil sample decreased by 22.6%, and sulfur content in asphaltenes dropped by 52.6%. These investigations, along with the conducted structural analysis tests provide novel evidence supporting our hypothesis regarding the stability of asphaltene particles in the presence of nanoparticles and MW energy, a methodology that has not been previously explored in the literature.

摘要

由于稠油储层的枯竭,微波技术和纳米颗粒集成等新方法得到了显著发展。在本研究中,通过共沉淀法合成了FeO纳米颗粒以及FeO-SiO和FeO-NiO纳米杂化物,并使用各种测试对其进行了表征。此外,为了增强纳米颗粒的效果,采用了微波辐射,改变了原油的静态性质。使用田口实验设计方法确定的最佳条件表明,在辐照时间为9分钟、功率为400瓦的情况下,浓度为0.5 wt.%的FeO-NiO是最佳选择。在这些条件下,粘度降低了42%,由于沥青质等重分子的分解,API重度增加了4.47°。此外,研究表明这种杂交方法导致了沥青质颗粒的稳定,这是通过测量沥青质沉淀的起始点来评估的。在最佳条件下,经过微波处理和未经过微波处理评估的起始点显示,正庚烷体积从10 Vol.%显著转变为26 Vol.%。此外,油样中的沥青质含量降低了22.6%,沥青质中的硫含量下降了52.6%。这些研究以及所进行的结构分析测试提供了新的证据,支持了我们关于在纳米颗粒和微波能量存在下沥青质颗粒稳定性的假设,这是一种此前文献中未曾探索过的方法。

https://cdn.ncbi.nlm.nih.gov/pmc/blobs/807a/11832899/991fb3afd9f1/41598_2025_90326_Fig1_HTML.jpg

文献AI研究员

20分钟写一篇综述,助力文献阅读效率提升50倍。

立即体验

用中文搜PubMed

大模型驱动的PubMed中文搜索引擎

马上搜索

文档翻译

学术文献翻译模型,支持多种主流文档格式。

立即体验