Suppr超能文献

陈年黑蒜提取物作为功能性禽药对白化大鼠苯甲酸钠诱导的慢性肾病的肾保护作用

Nephroprotective Effect of Aged Black Garlic Extract as a Functional Flock Medicinal on Sodium Benzoate-Induced Chronic Kidney Disease in Albino Rats.

作者信息

Sheir Marwa A, Almaski Ameerah M, Almughamisi Manal A, Abduljawad Suha H, Elsebaie Essam M, Ahmed Rania A

机构信息

Department of Special Food and Nutrition, Food Technology Research Institute, Agricultural Research Center, Giza 3725005, Egypt.

Department of Clinical Nutrition, Faculty of Applied Medical Sciences, Taibah University, Universities Road, Medina P.O. Box 344, Saudi Arabia.

出版信息

Life (Basel). 2025 Jan 31;15(2):217. doi: 10.3390/life15020217.

Abstract

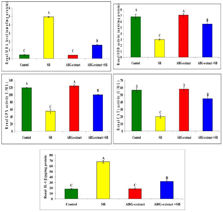
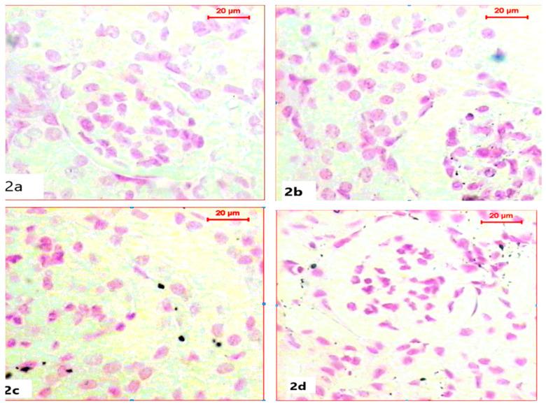
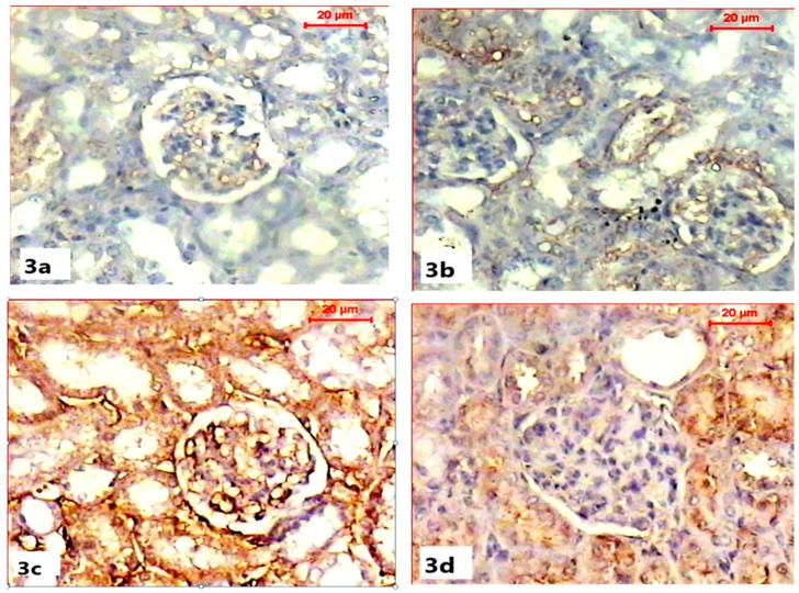
Sodium benzoate, a common food preservative, has been linked to oxidative stress, inflammation, and potential damage to various organs, including the kidneys. Aged black garlic (ABG) offers significant potential in supporting body health through its powerful antioxidant and anti-inflammatory properties, which can help reduce cellular damage and inflammation and, thus, improve organ functions. The purpose of this investigation is to investigate the ameliorative effect of aged black garlic extract (ABG extract) on the nephrotoxicity and oxidative stress induced by sodium benzoate. A total of thirty-two adult male albino rats were divided randomly into four groups: Group 1: control; Group 2: orally given ABG extract (200 mg/kg bw) daily for 4 weeks; Group 3: administrated orally by sodium benzoate daily for 4 weeks; Group 4: cotreated with both ABG extract and sodium benzoate for 30 days. This included histological examinations, a histochemical demonstration of DNA contents, and an immunohistochemical demonstration of pro-apoptotic protein caspase-3, as well as a biochemical evaluation of renal MDA, CAT, SOD, GPx, and IL-1β levels. Moreover, serum and urinary urea, uric acid, creatinine, sodium, and potassium levels were also determined, as well as serum C-reactive protein. FI (30 days), FER, and BWG% were calculated as well as urinary volume and protein being measured. The findings revealed that ABG extract significantly improved all histopathological and physiological changes ( < 0.05) induced by SB as renal tissue was significantly improved, DNA contents were restored, and capase-3 immunoreactivity was diminished. Additionally, oxidative and inflammatory markers, and renal function parameters, were significantly improved. These results showed that ABG extract possesses significant ameliorative effects against the nephrotoxicity induced by sodium benzoate; this may be mediated by its antioxidant activity.

摘要

苯甲酸钠是一种常见的食品防腐剂,它与氧化应激、炎症以及包括肾脏在内的各种器官的潜在损伤有关。陈酿黑蒜(ABG)具有强大的抗氧化和抗炎特性,在支持身体健康方面具有巨大潜力,有助于减少细胞损伤和炎症,从而改善器官功能。本研究的目的是探讨陈酿黑蒜提取物(ABG提取物)对苯甲酸钠诱导的肾毒性和氧化应激的改善作用。总共32只成年雄性白化大鼠被随机分为四组:第1组:对照组;第2组:每天口服ABG提取物(200毫克/千克体重),持续4周;第3组:每天口服苯甲酸钠,持续4周;第4组:同时用ABG提取物和苯甲酸钠共同处理30天。这包括组织学检查、DNA含量的组织化学显示、促凋亡蛋白半胱天冬酶-3的免疫组织化学显示,以及对肾脏丙二醛、过氧化氢酶、超氧化物歧化酶、谷胱甘肽过氧化物酶和白细胞介素-1β水平的生化评估。此外,还测定了血清和尿液中的尿素、尿酸、肌酐、钠和钾水平以及血清C反应蛋白。计算了食物摄入量(30天)、食物效率比值和体重增加百分比,同时测量了尿量和尿蛋白。研究结果显示,ABG提取物显著改善了由苯甲酸钠诱导的所有组织病理学和生理学变化(P<0.05),因为肾脏组织得到了显著改善,DNA含量得以恢复,半胱天冬酶-3免疫反应性降低。此外,氧化和炎症标志物以及肾功能参数也得到了显著改善。这些结果表明,ABG提取物对苯甲酸钠诱导的肾毒性具有显著的改善作用;这可能是由其抗氧化活性介导的。

https://cdn.ncbi.nlm.nih.gov/pmc/blobs/94a5/11855971/8b0094f01fe0/life-15-00217-g001.jpg

文献AI研究员

20分钟写一篇综述,助力文献阅读效率提升50倍。

立即体验

用中文搜PubMed

大模型驱动的PubMed中文搜索引擎

马上搜索

文档翻译

学术文献翻译模型,支持多种主流文档格式。

立即体验