Suppr超能文献

受miR - 126 - x和miR - 21 - y靶向作用的[对象]在[具体情况]中对感染作出反应。 (注:原文中“in.”部分信息不完整,翻译时根据语境补充了“[对象]”“[具体情况]” )

targeted by miR-126-x and miR-21-y responds to infection in .

作者信息

Hou Yongkang, Zhang Fangqi, Liu Xiaokun, Huang Dongming, Li Zhimin

机构信息

College of Fishery, Guangdong Ocean University, Zhanjiang, Guangdong, China.

出版信息

Front Cell Infect Microbiol. 2025 Feb 14;15:1533154. doi: 10.3389/fcimb.2025.1533154. eCollection 2025.

Abstract

INTRODUCTION

The Hong Kong oyster (), as the main marine aquaculture shellfish in the South China Sea, not only has high economic and ecological value, but also is an ideal model for conducting research on pathogen-host interactions. In the cultivation process of , there is a challenge posed by . To improve the antibacterial strains of , we have studied the gene associated with immunity, .

METHODS AND FINDINGS

In this study, we cloned the sequence of the , using the RACE technique. It has a total of 2081 bp and contains a 5'-UTR of 55 bp and a 3'-UTR of 547 bp. The ChPDIA3 gene sequence has an ORF frame that is 1479 bp in length and encodes 492 amino acids. Analysis of the phylogenetic tree constructed by Neighbor Joining method showed that clustered with other shellfishes into a single unit, which was consistent with the law of species evolution.

DISCUSSION

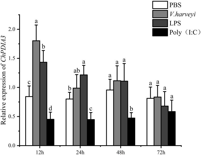
The highest expression of was detected in gill tissues of the using RT-qPCR, and significantly higher expression in and LPS infection than Poly(I:C) (<0.05). This may indicate that is primarily involved in the immune response against bacterial infections in the . The binding sites of miR-126-x, miR-21-y and were detected using dual luciferase experiments, respectively. The results showed that both miR-126-x and miR-21-y inhibited the 3'-UTR region of . This suggested that both miR-126-x and miR-21-y inhibited expression. This study will help to further understand the function of in response to pathogen infection, thus providing new ideas for understanding the resistance and adaptation of the to infection.

摘要

引言

香港牡蛎()作为南海主要的海水养殖贝类,不仅具有很高的经济和生态价值,也是开展病原体 - 宿主相互作用研究的理想模型。在香港牡蛎的养殖过程中,面临着由 带来的挑战。为了改良香港牡蛎的抗菌菌株,我们研究了与免疫相关的基因 。

方法与发现

在本研究中,我们利用RACE技术克隆了香港牡蛎 的序列。它全长2081 bp,包含55 bp的5'-UTR和547 bp的3'-UTR。ChPDIA3基因序列有一个长度为1479 bp的开放阅读框,编码492个氨基酸。通过邻接法构建的系统发育树分析表明,香港牡蛎与其他贝类聚为一个单元,这与物种进化规律一致。

讨论

使用RT-qPCR在香港牡蛎的鳃组织中检测到 的最高表达,并且在 和LPS感染时的表达显著高于Poly(I:C)(<0.05)。这可能表明 主要参与香港牡蛎对细菌感染的免疫反应。分别使用双荧光素酶实验检测了miR-126-x、miR-21-y和 的结合位点。结果表明,miR-126-x和miR-21-y均抑制 的3'-UTR区域。这表明miR-126-x和miR-21-y均抑制 表达。本研究将有助于进一步了解 在应对病原体感染中的功能,从而为理解香港牡蛎对 感染的抗性和适应性提供新思路。

https://cdn.ncbi.nlm.nih.gov/pmc/blobs/196a/11868288/c7fc0e15b860/fcimb-15-1533154-g001.jpg

文献检索

告别复杂PubMed语法,用中文像聊天一样搜索,搜遍4000万医学文献。AI智能推荐,让科研检索更轻松。

立即免费搜索

文件翻译

保留排版,准确专业,支持PDF/Word/PPT等文件格式,支持 12+语言互译。

免费翻译文档

深度研究

AI帮你快速写综述,25分钟生成高质量综述,智能提取关键信息,辅助科研写作。

立即免费体验