Suppr超能文献

两种新型一维铁(III)锰(III)双金属化合物的合成、结构表征及磁性

Synthesis, Structural Characterization, and Magnetic Properties of Two New Fe(III)Mn(III) 1D Bimetallic Compounds.

作者信息

Hassan Abdelwahab, Hemida Eslam, Mahmoud Nada I, Kamel Mohamed, Elsharkawy Hany M, Khalil Ahmed S G, Abdel-Hafiez Mahmoud, Saber Mohamed R

机构信息

Physics Department, Faculty of Science, Fayoum University, Fayoum 63514, Egypt.

Science Department, Rustaq College of Education, University of Technology and Applied Sciences, PO Box 10, Al Rustaq 329, Sultanate of Oman.

出版信息

ACS Omega. 2025 Feb 24;10(8):8271-8280. doi: 10.1021/acsomega.4c09887. eCollection 2025 Mar 4.

Abstract

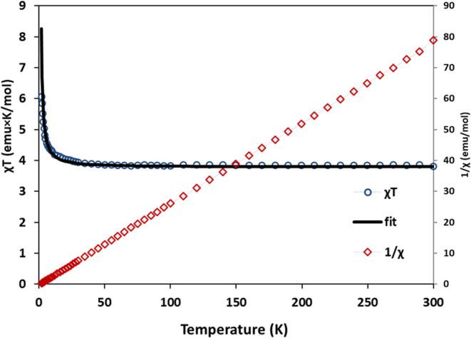
Two Fe(III)Mn(III) bimetallic compounds, [TpFe (CN)][(Mnsalen)]·MeOH·MeCN () and [TpFe (CN)][Mnsalphen]·MeOH·HO (), were prepared by assembling the tricyanometalate building block (TEA)N [TpFe(CN)] [Tp = hydrotris(3,5-dimethylpyrazol-1-yl)borate] and the respective Mn Schiff base precursors [salen = ,'-ethylenebis(salicylideneiminate), salphen = ,-bis(salicylidene)-1,2-phenylenediamine]. Both compounds exhibit a one-dimensional (1D) zigzag chain structure linked by cyanide bridges, forming a (-Fe-C≡N-Mn-N≡C-) motif. Magnetic studies show a gradual increase of χ values in both complexes upon lowering temperature, indicating ferromagnetic coupling between the Fe and Mn metal centers with Curie-Weiss constants of +1.1 K in () and +1.0 K in (). Ferromagnetic interactions are attributed to the significantly bent Mn-NC angles (148.52 and 152.99° for () and 154.9 and 151.3° for ()). The formation of 1D chains in the presence of MeOH challenges earlier reports that linked chain formation to the absence of MeOH in the reaction medium. This finding highlights the highly sensitive nature of this reaction system to various factors, including the influence of solvents on intermolecular interactions, the coordinative properties and polarity of the solvent, the steric and electronic characteristics of the precursors, and specific reaction conditions, such as temperature, concentration, and molar ratios.

摘要

通过组装三氰基金属酸盐结构单元(TEA)N[TpFe(CN)] [Tp = 氢三(3,5 - 二甲基吡唑 - 1 - 基)硼酸酯]和相应的锰席夫碱前体[salen = N,N'-亚乙基双(水杨醛亚胺),salphen = N,N'-双(水杨醛)-1,2 - 苯二胺],制备了两种Fe(III)Mn(III)双金属化合物,[TpFe(CN)][(Mnsalen)]·MeOH·MeCN()和[TpFe(CN)][Mnsalphen]·MeOH·H₂O()。两种化合物均呈现出由氰基桥连接的一维(1D)之字形链结构,形成了(-Fe-C≡N-Mn-N≡C-)基序。磁性研究表明,随着温度降低,两种配合物的χ值逐渐增加,表明Fe和Mn金属中心之间存在铁磁耦合,()中的居里 - 外斯常数为 +1.1 K,()中的居里 - 外斯常数为 +1.0 K。铁磁相互作用归因于显著弯曲的Mn-NC角度(()中为148.52°和152.99°,()中为154.9°和151.3°)。在甲醇存在下形成1D链这一现象对早期将链形成与反应介质中不存在甲醇相关联的报道提出了挑战。这一发现突出了该反应体系对各种因素的高度敏感性质,包括溶剂对分子间相互作用的影响、溶剂的配位性质和极性、前体的空间和电子特性以及特定的反应条件,如温度、浓度和摩尔比。

https://cdn.ncbi.nlm.nih.gov/pmc/blobs/13c2/11886733/7d466830212f/ao4c09887_0001.jpg

文献AI研究员

20分钟写一篇综述,助力文献阅读效率提升50倍。

立即体验

用中文搜PubMed

大模型驱动的PubMed中文搜索引擎

马上搜索

文档翻译

学术文献翻译模型,支持多种主流文档格式。

立即体验