Suppr超能文献

病理性健康焦虑认知行为疗法中治疗可信度、患者期望、工作联盟与症状轨迹之间的关联

Associations between treatment credibility, patient expectancies, working alliance and symptom trajectory in cognitive behaviour therapy for pathological health anxiety.

作者信息

Axelsson Erland, Hedman-Lagerlöf Erik

机构信息

Division of Family Medicine and Primary Care, Department of Neurobiology, Care Sciences and Society, Karolinska Institutet, Stockholm, Sweden.

Liljeholmen University Primary Health Care Centre, Academic Primary Health Care Centre, Region Stockholm, Stockholm, Sweden.

出版信息

Psychol Psychother. 2025 Sep;98(3):779-798. doi: 10.1111/papt.12591. Epub 2025 Mar 27.

Abstract

OBJECTIVES

To evaluate how treatment credibility, the expectancy of improvement and the relationship with the therapist (the working alliance) change in relation to symptoms in cognitive behaviour therapy (CBT) for pathological health anxiety.

DESIGN

Secondary study of a randomised controlled trial of Internet-delivered (n = 102) and face-to-face CBT (n = 102) for health anxiety.

METHODS

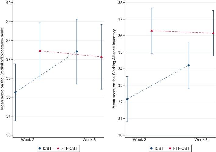
The trial was conducted at a primary health care clinic in Stockholm, Sweden, between December 2014 and July 2018. Both treatments lasted 12 weeks. Health anxiety was measured using the 18-item Health Anxiety Inventory. Credibility/expectancy (Borkovec credibility/expectancy scale) and the strength of the working alliance (Working Alliance Inventory) were self-reported by the participant at weeks two and eight. Symptom slopes from a linear mixed model were related to these process scales.

RESULTS

Correlations between the process variables (credibility/expectancy, working alliance) and the overall, 12-week pre- to post-treatment, reduction in health anxiety were small to moderate, and slightly higher based on data from week 8 (rs = 0.33-0.41) than week 2 (rs = 0.17-0.29). In the whole sample, week 2 credibility/expectancy and working alliance were significant predictors of subsequent symptom reduction. In secondary subgroup analyses, the process variables predicted improvement in Internet-delivered CBT, but not in face-to-face CBT. Direct between-format tests were not significant. Week 8 credibility/expectancy and working alliance were more closely related to previous than subsequent symptom reduction.

CONCLUSIONS

The patient's early ratings of credibility/expectancy and the strength of the working alliance appear to be predictive of subsequent symptom reduction. Later ratings appear to be of more limited predictive utility.

摘要

目的

评估在针对病理性健康焦虑的认知行为疗法(CBT)中,治疗可信度、改善预期以及与治疗师的关系(工作联盟)如何随症状变化。

设计

对一项针对健康焦虑的互联网交付(n = 102)和面对面CBT(n = 102)随机对照试验的二次研究。

方法

该试验于2014年12月至2018年7月在瑞典斯德哥尔摩的一家初级医疗保健诊所进行。两种治疗均持续12周。使用18项健康焦虑量表测量健康焦虑。可信度/预期(博尔科维奇可信度/预期量表)和工作联盟的强度(工作联盟量表)由参与者在第2周和第8周自行报告。线性混合模型的症状斜率与这些过程量表相关。

结果

过程变量(可信度/预期、工作联盟)与治疗前到治疗后12周整体健康焦虑的降低之间的相关性为小到中等,基于第8周的数据(rs = 0.33 - 0.41)略高于第2周(rs = 0.17 - 0.29)。在整个样本中,第2周的可信度/预期和工作联盟是后续症状减轻的显著预测因素。在二次亚组分析中,过程变量预测了互联网交付CBT的改善,但未预测面对面CBT的改善。直接的形式间测试不显著。第8周的可信度/预期和工作联盟与先前症状减轻的相关性比与后续症状减轻的相关性更紧密。

结论

患者早期对可信度/预期和工作联盟强度的评分似乎可预测后续症状减轻。后期评分的预测效用似乎更有限。

https://cdn.ncbi.nlm.nih.gov/pmc/blobs/71a3/12346255/a46166a8141c/PAPT-98-779-g003.jpg

文献AI研究员

20分钟写一篇综述,助力文献阅读效率提升50倍。

立即体验

用中文搜PubMed

大模型驱动的PubMed中文搜索引擎

马上搜索

文档翻译

学术文献翻译模型,支持多种主流文档格式。

立即体验