Suppr超能文献

右美托咪定辅助静脉-吸入复合全身麻醉在腹腔镜微创腹股沟疝手术中的镇痛效果及安全性

Analgesic effect and safety of dexmedetomidine-assisted intravenous-inhalation combined general anesthesia in laparoscopic minimally invasive inguinal hernia surgery.

作者信息

Lou Qian-Xing, Xu Ke-Ping

机构信息

Department of Anesthesiology, Yiwu Central Hospital, Yiwu 322000, Zhejiang Province, China.

Department of Anesthesia, Zhuji Traditional Chinese Medicine Hospital of Zhejiang Province, Shaoxing 311800, Zhejiang Province, China.

出版信息

World J Gastrointest Surg. 2025 Mar 27;17(3):99597. doi: 10.4240/wjgs.v17.i3.99597.

Abstract

BACKGROUND

Currently, very few studies have examined the analgesic effectiveness and safety of dexmedetomidine-assisted intravenous-inhalation combined general anesthesia in laparoscopic minimally invasive surgery for inguinal hernia.

AIM

To investigate the analgesic effect and safety of dexmedetomidine-assisted intravenous-inhalation combined general anesthesia in laparoscopic minimally invasive surgery for inguinal hernia.

METHODS

In this retrospective study, 94 patients scheduled for laparoscopic minimally invasive surgery for inguinal hernia, admitted to Yiwu Central Hospital between May 2022 and May 2023, were divided into a control group (inhalation combined general anesthesia) and a treatment group (dexmedetomidine-assisted intravenous-inhalation combined general anesthesia). Perioperative indicators, analgesic effect, preoperative and postoperative 24-hours blood pressure (BP) and heart rate (HR), stress indicators, immune function levels, and adverse reactions were compared between the two groups.

RESULTS

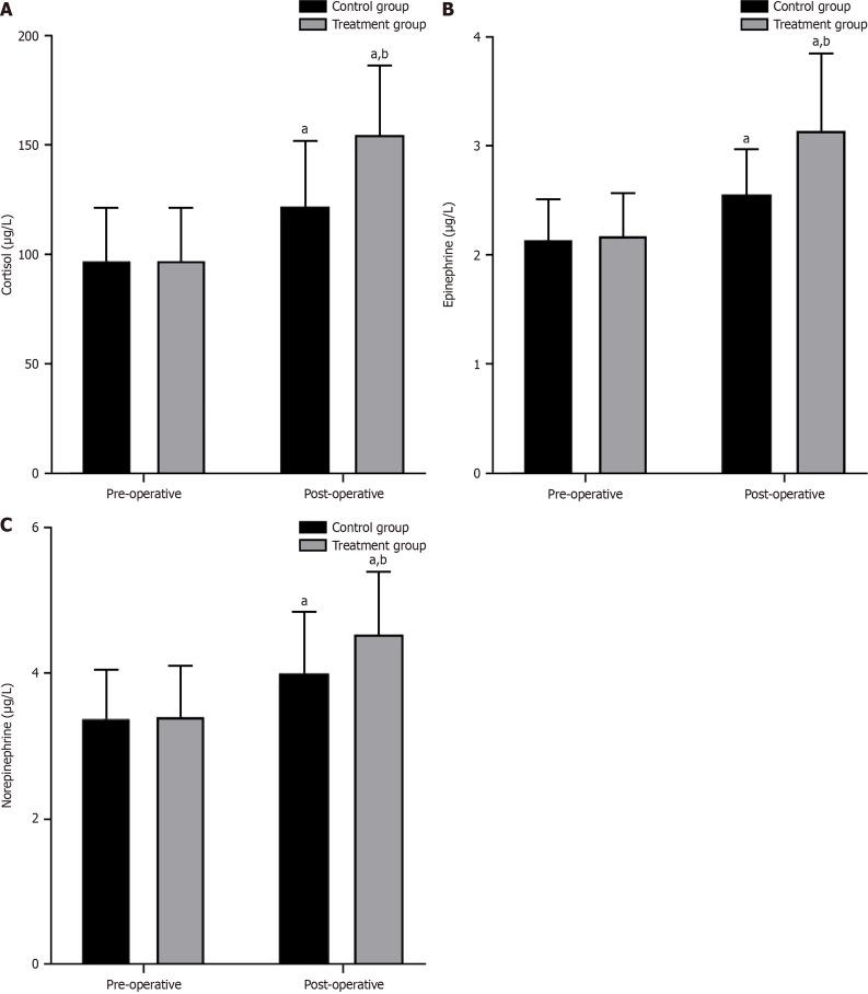
Baseline data, including age, hernia location, place of residence, weight, monthly income, education level, and underlying diseases, were not significantly different between the two groups, indicating comparability ( > 0.05). No significant difference was found in operation time and anesthesia time between the two groups ( > 0.05). However, the treatment group exhibited a shorter postoperative urinary catheter removal time and hospital stay than the control group ( < 0.05). Preoperatively, no significant differences were found in the visual analog scale (VAS) scores between the two groups ( > 0.05). However, at 12, 18, and 24 hours postoperatively, the treatment group had significantly lower VAS scores than the control group ( < 0.05). Although no significant differences in preoperative hemodynamic indicators were found between the two groups ( > 0.05), both groups experienced some extent of changes in postoperative HR, diastolic BP (DBP), and systolic BP (SBP). Nevertheless, the treatment group showed smaller changes in HR, DBP, and SBP than the control group ( < 0.05). Preoperative immune function indicators showed no significant differences between the two groups ( > 0.05). However, postoperatively, the treatment group demonstrated higher levels of CD3, CD4, and CD4+/CD8 and lower levels of CD8 than the control group ( < 0.05). The rates of adverse reactions were 6.38% and 23.40% in the treatment and control groups, respectively, revealing a significant difference ( = 5.371, = 0.020).

CONCLUSION

Dexmedetomidine-assisted intravenous-inhalation combined general anesthesia can promote early recovery of patients undergoing laparoscopic minimally invasive surgery for inguinal hernia. It ensures stable blood flow, improves postoperative analgesic effects, reduces postoperative pain intensity, alleviates stress response, improves immune function, facilitates anesthesia recovery, and enhances safety.

摘要

背景

目前,很少有研究探讨右美托咪定辅助静脉-吸入复合全身麻醉在腹股沟疝腹腔镜微创手术中的镇痛效果和安全性。

目的

探讨右美托咪定辅助静脉-吸入复合全身麻醉在腹股沟疝腹腔镜微创手术中的镇痛效果和安全性。

方法

在这项回顾性研究中,选取2022年5月至2023年5月在义乌市中心医院接受腹股沟疝腹腔镜微创手术的94例患者,分为对照组(吸入复合全身麻醉)和治疗组(右美托咪定辅助静脉-吸入复合全身麻醉)。比较两组患者的围手术期指标、镇痛效果、术前及术后24小时血压(BP)和心率(HR)、应激指标、免疫功能水平及不良反应。

结果

两组患者的年龄、疝位置、居住地、体重、月收入、教育程度及基础疾病等基线资料无显著差异,具有可比性(P>0.05)。两组患者的手术时间和麻醉时间无显著差异(P>0.05)。然而,治疗组患者术后导尿管拔除时间和住院时间均短于对照组(P<0.05)。术前,两组患者的视觉模拟评分(VAS)无显著差异(P>0.05)。然而,术后12、18和24小时,治疗组患者的VAS评分显著低于对照组(P<0.05)。虽然两组患者术前血流动力学指标无显著差异(P>0.05),但两组患者术后HR、舒张压(DBP)和收缩压(SBP)均有一定程度的变化。然而,治疗组患者HR、DBP和SBP的变化幅度小于对照组(P<0.05)。术前免疫功能指标两组间无显著差异(P>0.05)。然而,术后治疗组患者的CD3、CD4及CD4+/CD8水平高于对照组,CD8水平低于对照组(P<0.05)。治疗组和对照组的不良反应发生率分别为6.38%和23.40%,差异有统计学意义(χ²=5.371,P=0.020)。

结论

右美托咪定辅助静脉-吸入复合全身麻醉可促进腹股沟疝腹腔镜微创手术患者的早期恢复。它能确保血流稳定,提高术后镇痛效果,减轻术后疼痛强度,缓解应激反应,改善免疫功能,促进麻醉恢复,提高安全性。

https://cdn.ncbi.nlm.nih.gov/pmc/blobs/9703/11948098/b9edd8bc2326/99597-g001.jpg

文献检索

告别复杂PubMed语法,用中文像聊天一样搜索,搜遍4000万医学文献。AI智能推荐,让科研检索更轻松。

立即免费搜索

文件翻译

保留排版,准确专业,支持PDF/Word/PPT等文件格式,支持 12+语言互译。

免费翻译文档

深度研究

AI帮你快速写综述,25分钟生成高质量综述,智能提取关键信息,辅助科研写作。

立即免费体验