Suppr超能文献

振动对极化率的影响:来自简正模式分析的见解

Vibrational effects on polarizability: insights from normal mode analysis.

作者信息

Cassiano Tiago de Sousa Araújo, Bonfim Víctor de Souza Assumção, Neto Pedro Henrique de Oliveira, da Silva Filho Demétrio Antônio

机构信息

Institute of Physics, University of Brasília, Brasília, 70919-970, Brazil.

International Center of Physics, University of Brasília, Brasília, 70910-900, Brazil.

出版信息

Sci Rep. 2025 Apr 4;15(1):11580. doi: 10.1038/s41598-025-88066-5.

Abstract

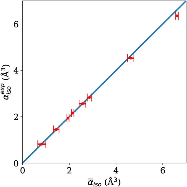
The performance of sensing and optical devices is closely linked to the molecular polarizability response, a property significantly influenced by the polarizability tensor's isotropic and anisotropic components. In this study, we investigate the impact of vibrational motion on polarizability. We analyze how intramolecular vibrations affect the polar properties of molecules commonly employed in refrigerants and gas detection technologies. Our computational estimates align well with experimental data. It is revealed that vibrational effects can introduce uncertainties of up to 6% in sensing devices and 50% in optical devices due to nuclear oscillations. Furthermore, normal mode analysis highlights specific vibrational modes that enhance molecular polarizability.

摘要

传感和光学器件的性能与分子极化率响应密切相关,这一特性受极化率张量的各向同性和各向异性分量的显著影响。在本研究中,我们探究了振动运动对极化率的影响。我们分析了分子内振动如何影响制冷剂和气体检测技术中常用分子的极性特性。我们的计算估计与实验数据吻合良好。结果表明,由于核振荡,振动效应可在传感器件中引入高达6%的不确定性,在光学器件中引入高达50%的不确定性。此外,简正模式分析突出了增强分子极化率的特定振动模式。

https://cdn.ncbi.nlm.nih.gov/pmc/blobs/c4e3/11971279/0adbe873b4bd/41598_2025_88066_Fig1_HTML.jpg

文献AI研究员

20分钟写一篇综述,助力文献阅读效率提升50倍。

立即体验

用中文搜PubMed

大模型驱动的PubMed中文搜索引擎

马上搜索

文档翻译

学术文献翻译模型,支持多种主流文档格式。

立即体验