Suppr超能文献

用于将阿霉素递送至白血病细胞的自组装生物相容性肝素基靶向聚合物胶束的合成与评价

Synthesis and evaluation of self-assembling biocompatible heparin-based targeting polymeric micelles for delivery of doxorubicin to leukemic cells.

作者信息

Emami Jaber, Kazemi Moloud, Mirian Mina

机构信息

Department of Pharmaceutics, School of Pharmacy and Pharmaceutical Sciences, Isfahan University of Medical Sciences, Isfahan, I.R. Iran.

Nanotechnology Research Center, Medical Basic Research Sciences Institute, Ahvaz Jundishapur University of Medical Sciences, Ahvaz, Iran.

出版信息

Res Pharm Sci. 2025 Feb 20;20(1):142-164. doi: 10.4103/RPS.RPS_197_24. eCollection 2025 Feb.

Abstract

BACKGROUND AND PURPOSE

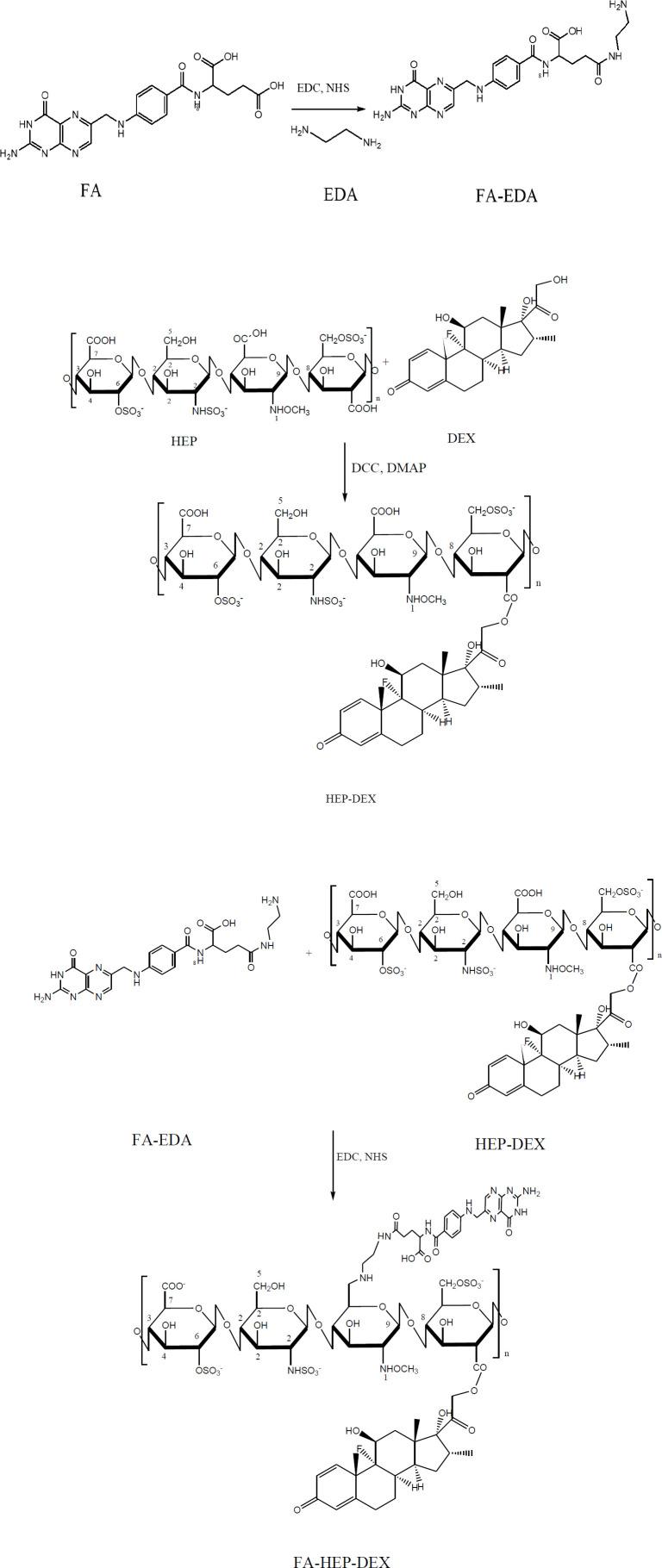
Biodegradable polymeric micelles have emerged as one of the most promising platforms for targeted drug delivery. In the present study, a polymeric micelle composed of folic acid (FA), heparin (HEP), dexamethasone (DEX), and (FA-PEG-HEP-CA-TOC) was developed for the delivery of doxorubicin (DOX) to leukemic cells.

EXPERIMENTAL APPROACH

FA-HEP-DEX was synthesized and characterized by 1H-NMR. DOX-loaded micelles were prepared using a dialysis method. The impact of various processing variables, including polymer-to-drug ratio, dialysis temperature, and solvent type, on the physicochemical properties of the micelles were evaluated. In vitro, cellular uptake and cytotoxicity of the micelles in folate receptor-positive (K562) and negative (HepG2) cells were evaluated.

FINDINGS/RESULTS: The 1H-NMR results confirmed the successful synthesis of FA-HEP-DEX. DOX-loaded micelles exhibited an average particle size of 117 to 181 nm with a high drug entrapment efficiency (36% to 71%). DOX-loaded micelles also showed sustained drug-release behavior. DOX-loaded FA-HEP-DEX micelles exhibited higher cellular uptake and cytotoxicity than free DOX and DOX-loaded HEP-DEX micelles in K562 cells.

CONCLUSIONS AND IMPLICATIONS

DOX was well incorporated into the micelles with high entrapment efficiency due to high solubility of DOX in DEX as the hydrophobic component of the micelle structure. The higher cellular uptake and cell toxicity of targeted micelles correspond to the presence of FA on the micelle surface, which promotes cell internalization of the micelles specific receptor-mediated endocytosis. Our results indicated the potential of DOX-loaded heparin-based micelles with desirable antitumor activity as a targeted drug delivery system in cancer therapy.

摘要

背景与目的

可生物降解的聚合物胶束已成为最具前景的靶向给药平台之一。在本研究中,开发了一种由叶酸(FA)、肝素(HEP)、地塞米松(DEX)和(FA-PEG-HEP-CA-TOC)组成的聚合物胶束,用于将多柔比星(DOX)递送至白血病细胞。

实验方法

合成了FA-HEP-DEX并通过1H-NMR进行表征。采用透析法制备载DOX胶束。评估了各种工艺变量,包括聚合物与药物的比例、透析温度和溶剂类型对胶束物理化学性质的影响。在体外,评估了胶束在叶酸受体阳性(K562)和阴性(HepG2)细胞中的细胞摄取和细胞毒性。

研究结果

1H-NMR结果证实了FA-HEP-DEX的成功合成。载DOX胶束的平均粒径为117至181nm,药物包封率高(36%至71%)。载DOX胶束还表现出持续的药物释放行为。在K562细胞中,载DOX的FA-HEP-DEX胶束比游离DOX和载DOX的HEP-DEX胶束表现出更高的细胞摄取和细胞毒性。

结论与意义

由于DOX在作为胶束结构疏水成分的DEX中具有高溶解度,DOX以高包封率良好地掺入胶束中。靶向胶束较高的细胞摄取和细胞毒性与胶束表面FA的存在相对应,FA促进胶束通过特异性受体介导的内吞作用进入细胞。我们的结果表明,具有理想抗肿瘤活性的载DOX肝素基胶束作为癌症治疗中的靶向给药系统具有潜力。

https://cdn.ncbi.nlm.nih.gov/pmc/blobs/43ac/11972022/a1d014bbe38f/RPS-20-142-g005.jpg

文献AI研究员

20分钟写一篇综述,助力文献阅读效率提升50倍。

立即体验

用中文搜PubMed

大模型驱动的PubMed中文搜索引擎

马上搜索

文档翻译

学术文献翻译模型,支持多种主流文档格式。

立即体验