Suppr超能文献

来自2308的新型铜蓝蛋白FtrB的体外结构与功能研究

In Vitro Structural and Functional Studies of a Novel Cupredoxin, FtrB, from 2308.

作者信息

Kerkan Alexa, Hart Kai, Martin Daniel W, Pajski Jason, Aidoo Bridget, Garcia Brandon L, Roy Sourav, Dasgupta Saumya, Hematian Shabnam, Santisteban-Veiga Andrea, Schaaf Nicholas Joseph, Banerjee Sambuddha

机构信息

Department of Chemistry, East Carolina University, Science and Technology Building, Room 409, Greenville, North Carolina 27858, United States.

Department of Microbiology and Immunology, Brody School of Medicine, East Carolina University, Greenville, North Carolina 27852, United States.

出版信息

ACS Omega. 2025 Mar 22;10(12):12653-12670. doi: 10.1021/acsomega.5c00690. eCollection 2025 Apr 1.

Abstract

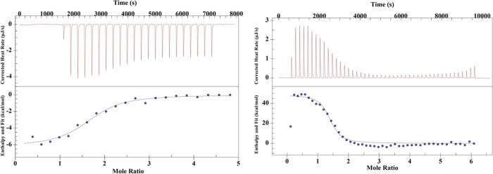
FtrABCD is a four-component iron transporter found in several Gram-negative bacteria. Previous data confirm that FtrABCD can only utilize Fe and the inner membrane permease, FtrC, from this system, like its eukaryotic homologue, Ftr1p, is predicted to utilize the free energy released during Fe oxidation for the transport. Periplasmic FtrB from this system is coancestral with known copper oxidases, and the conserved D118 and H121 are predicted to bind to Cu, forming an active enzyme. In this work, we report structural data for recombinant wild-type and D118A and H121A mutants from 2308 which confirm a β-sheet-rich structure which is distinct from known cupredoxins. Calorimetric studies on the wild-type protein show μM affinities for Cu and an Fe mimic (Mn), which facilitate the formation of the active enzyme and the enzyme-substrate complex, respectively. In contrast, the D118A mutant failed to bind Cu. Finally, the electrochemical data reported here revealed biologically accessible reduction potentials for the Cu ion in the active enzyme which also showed a pseudozero-order rate of Fe oxidation at pH 6.5 and could oxidize Fe 3.5-times faster than its rate of autoxidation. Taken together, this report provides experimental data that support structural and functional predictions of FtrB under in vitro conditions.

摘要

FtrABCD是一种在多种革兰氏阴性细菌中发现的四组分铁转运蛋白。先前的数据证实,FtrABCD只能利用铁,并且该系统中的内膜通透酶FtrC,与其真核同源物Ftr1p一样,预计会利用铁氧化过程中释放的自由能进行转运。该系统的周质FtrB与已知的铜氧化酶具有共同祖先,保守的D118和H121预计会与铜结合,形成一种活性酶。在这项工作中,我们报告了来自2308的重组野生型以及D118A和H121A突变体的结构数据;这些数据证实了一种富含β折叠的结构,该结构与已知的铜蓝蛋白不同。对野生型蛋白的量热研究表明,其对铜和一种铁模拟物(锰)具有微摩尔亲和力,分别促进了活性酶和酶 - 底物复合物的形成。相比之下,D118A突变体无法结合铜。最后,此处报告的电化学数据揭示了活性酶中铜离子的生物可及还原电位,该电位在pH 6.5时还显示出铁氧化的准零级速率,并且其氧化铁的速度比自身氧化速度快3.5倍。综上所述,本报告提供了支持体外条件下FtrB结构和功能预测的实验数据。

https://cdn.ncbi.nlm.nih.gov/pmc/blobs/0066/11966278/91a77ff58493/ao5c00690_0001.jpg

文献AI研究员

20分钟写一篇综述,助力文献阅读效率提升50倍。

立即体验

用中文搜PubMed

大模型驱动的PubMed中文搜索引擎

马上搜索

文档翻译

学术文献翻译模型,支持多种主流文档格式。

立即体验