Suppr超能文献

前向阶段舌骨速度和距离与梨状窝残留相关:一项回顾性病例系列研究。

Hyoid Bone Velocity and Distance during the Forward Phase Correlate with Pyriform Sinus Residue: A Retrospective Case Series.

作者信息

Arii Hironori, Sakai Tetsuro

机构信息

Division of Rehabilitation, Gunma University Hospital, Maebashi, Japan.

Department of Speech-Language-Hearing Therapy, Gunma Paz University, Takasaki, Japan.

出版信息

Prog Rehabil Med. 2025 Apr 9;10:20250009. doi: 10.2490/prm.20250009. eCollection 2025.

Abstract

OBJECTIVES

This study investigated the relationship between the three phases of hyoid bone movement and pharyngeal residue using the videofluoroscopic swallowing study (VFSS).

METHODS

We retrospectively analyzed the data from 66 patients who underwent VFSS between April 2019 and December 2019. Hyoid bone movement was classified into three phases: upward, forward, and downward. We measured the velocity and distance of hyoid bone movement in each phase, as well as the pharyngeal residue after swallowing. The correlation between hyoid bone movement and the amount of pharyngeal residue was analyzed using Spearman's rank correlation coefficient. A receiver operating characteristic (ROC) analysis was performed to evaluate the presence of pyriform sinus residue.

RESULTS

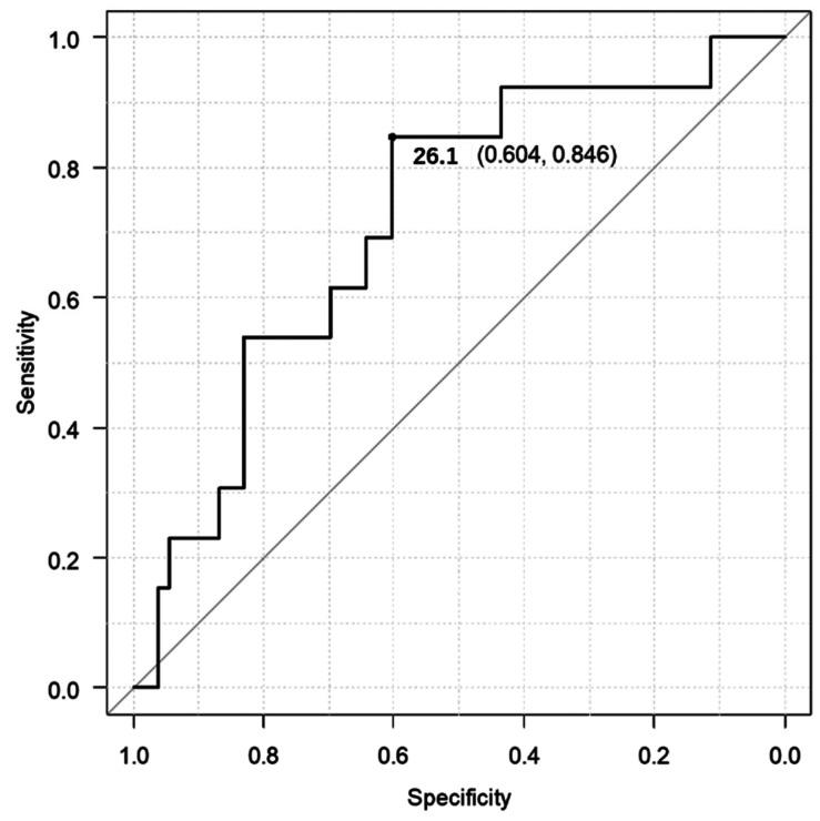
Hyoid bone velocity and distance during the forward phase correlated with the amount of pyriform sinus residue (velocity: r=0.311, P=0.011; distance: r=0.255, P=0.0389). ROC analysis revealed that the cutoff value for hyoid bone velocity during the forward phase was 26.1 mm/s (0.846 sensitivity, 0.604 specificity) with an area under the curve of 0.717.

CONCLUSIONS

The velocity and distance of the hyoid bone during the forward phase were significantly related to the amount of pyriform sinus residue. In VFSS assessment, it is important to classify hyoid bone movement into three phases-upward, forward, and downward-and to calculate its velocity and distance.

摘要

目的

本研究采用视频荧光吞咽造影检查(VFSS),调查舌骨运动的三个阶段与咽部残留物之间的关系。

方法

我们回顾性分析了2019年4月至2019年12月期间接受VFSS检查的66例患者的数据。舌骨运动分为三个阶段:向上、向前和向下。我们测量了每个阶段舌骨运动的速度和距离,以及吞咽后的咽部残留物。使用Spearman等级相关系数分析舌骨运动与咽部残留量之间的相关性。进行了受试者操作特征(ROC)分析,以评估梨状窦残留物的存在情况。

结果

向前阶段的舌骨速度和距离与梨状窦残留量相关(速度:r = 0.311,P = 0.011;距离:r = 0.255,P = 0.0389)。ROC分析显示,向前阶段舌骨速度的截断值为26.1 mm/s(灵敏度0.846,特异度0.604),曲线下面积为0.717。

结论

向前阶段舌骨的速度和距离与梨状窦残留量显著相关。在VFSS评估中,将舌骨运动分为向上、向前和向下三个阶段并计算其速度和距离很重要。

https://cdn.ncbi.nlm.nih.gov/pmc/blobs/021a/11976461/84ed255c15f5/prm-10-20250009-g001.jpg

文献AI研究员

20分钟写一篇综述,助力文献阅读效率提升50倍。

立即体验

用中文搜PubMed

大模型驱动的PubMed中文搜索引擎

马上搜索

文档翻译

学术文献翻译模型,支持多种主流文档格式。

立即体验