Suppr超能文献

高原鼠兔觅食策略的季节性变化()。 (原文括号部分内容缺失,按要求直接翻译)

Seasonal Variations in the Foraging Strategies of Plateau Pikas ().

作者信息

Dong Longming, Cai Xincheng, Gan Ruixun, Zhang Jing, Dong Rui, Dong Kechi, Hua Limin, Zhou Rui

机构信息

College of Grassland Science, Gansu Agricultural University, Key Laboratory of Grassland Ecosystem of the Ministry of Education, Engineering and Technology Research Center for Alpine Rodent Pest Control of National Forestry and Grassland Administration, Lanzhou 730070, China.

Academy of Animal Science and Veterinary, Qinghai University, State Key Laboratory of Plateau Ecology and Agriculture, Xining 810016, China.

出版信息

Animals (Basel). 2025 Mar 21;15(7):902. doi: 10.3390/ani15070902.

Abstract

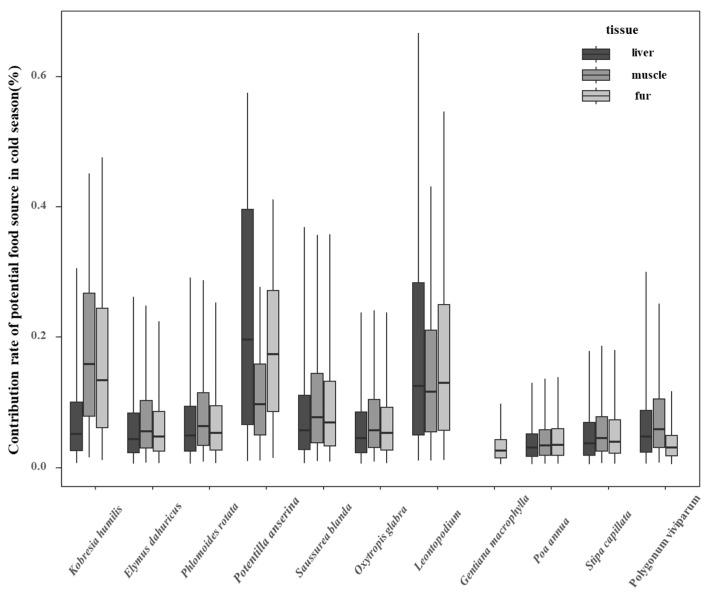
This study investigates the foraging habits and dietary niche characteristics of plateau pikas () by analyzing differences between the cold and warm seasons using stable isotope analysis of carbon and nitrogen in liver, muscle, and fur organs. The results indicated that in the cold season, the plant species incorporated into different organs were more diverse than in the warm season, with varying contribution rates for each plant species. made the most significant contribution to the plateau pika's diet during the cold season, while had the highest contribution in the warm season. The trophic niche width of liver and muscle organs was broader in the cold season compared to the warm season, while the trophic niche width of the fur organ was narrower in the cold season. Additionally, long-term dietary information derived from muscle and fur organs showed a wider niche breadth compared to short-term dietary information obtained from the liver organ. Across both seasons, organ niche overlap was highest in fur, followed by muscle, and lowest in the liver. In conclusion, short-term food source information (derived from the liver organ) indicated fewer food types and a smaller niche breadth. In contrast, long-term food source information (obtained from muscle and fur organs) included a greater variety of food types and a larger niche breadth. Additionally, niche overlap was more pronounced on the long-term scale compared to the short-term scale. These findings highlight the adaptive feeding strategies of plateau pikas in response to varying seasonal food availability and the ecological importance of their dietary flexibility in maintaining energy balance in challenging environments.

摘要

本研究通过对肝脏、肌肉和皮毛器官中碳和氮的稳定同位素分析,分析冷暖季节之间的差异,调查高原鼠兔的觅食习性和饮食生态位特征。结果表明,在寒冷季节,纳入不同器官的植物种类比温暖季节更多样化,每种植物的贡献率各不相同。[具体植物名称1]在寒冷季节对高原鼠兔的饮食贡献最大,而[具体植物名称2]在温暖季节的贡献最高。与温暖季节相比,肝脏和肌肉器官的营养生态位宽度在寒冷季节更宽,而皮毛器官的营养生态位宽度在寒冷季节更窄。此外,与从肝脏器官获得的短期饮食信息相比,从肌肉和皮毛器官获得的长期饮食信息显示出更宽的生态位宽度。在两个季节中,器官生态位重叠在皮毛中最高,其次是肌肉,在肝脏中最低。总之,短期食物来源信息(来自肝脏器官)表明食物类型较少,生态位宽度较小。相比之下,长期食物来源信息(从肌肉和皮毛器官获得)包括更多种类的食物类型和更大的生态位宽度。此外,与短期尺度相比,生态位重叠在长期尺度上更为明显。这些发现突出了高原鼠兔为应对不同季节食物供应而采取的适应性觅食策略,以及它们饮食灵活性在具有挑战性的环境中维持能量平衡的生态重要性。

https://cdn.ncbi.nlm.nih.gov/pmc/blobs/f4eb/11988150/ec68943f0caf/animals-15-00902-g001.jpg

文献检索

告别复杂PubMed语法,用中文像聊天一样搜索,搜遍4000万医学文献。AI智能推荐,让科研检索更轻松。

立即免费搜索

文件翻译

保留排版,准确专业,支持PDF/Word/PPT等文件格式,支持 12+语言互译。

免费翻译文档

深度研究

AI帮你快速写综述,25分钟生成高质量综述,智能提取关键信息,辅助科研写作。

立即免费体验