Polyzos Stergios A, Anastasilakis Konstantinos, Cundy Tim, Kita Marina
First Laboratory of Pharmacology, School of Medicine, Aristotle University of Thessaloniki, Thessaloniki, Greece.
Department of Ophthalmology, 424 General Military Hospital, Thessaloniki, Greece.
Calcif Tissue Int. 2025 Apr 13;116(1):60. doi: 10.1007/s00223-025-01370-0.
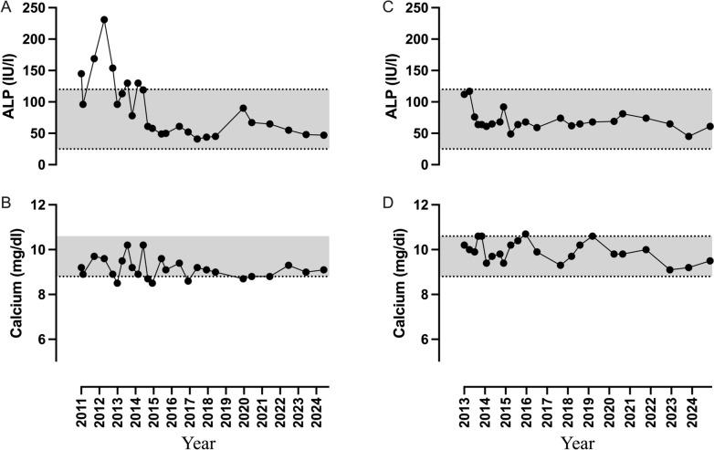
Juvenile Paget disease (JPD) is a very rare disease, mainly caused by biallelic inactivating mutations in the TNFRSF11B gene that encodes osteoprotegerin. Owing to its rarity, the treatment of JPD is largely empirical. Accelerated bone turnover as assessed by biochemical markers, such as alkaline phosphatase (ALP), can be suppressed by bisphosphonate treatment, but it relapses if bisphosphonate treatment is discontinued. In this report, we describe our experience with long-term denosumab treatment in two adults with JPD, homozygous for the "Balkan" mutation (966_969delTGACinsCTT) in TNFRSF11B. Subject 1 started denosumab in age 35 and subject 2 in age 34. Both continue treatment until today, for 13.5 and 12 years, respectively. ALP was steadily normalized in both. Bone pain decreased and mobility improved. Hearing did not further deteriorate and no new fracture occurred. Vision remained unchanged in subject 2, but subject 1 experienced sudden vision loss of the right eye at age 46, which was successfully managed with intravitreal treatment with anti-vascular endothelial growth factor medications. In conclusion, long-term denosumab administration in adults with JPD, who had been previously treated with bisphosphonates, was safe and effective in terms of the skeletal disease, but it may not prevent the emergence of retinopathy.
青少年佩吉特病(JPD)是一种非常罕见的疾病,主要由编码骨保护素的TNFRSF11B基因的双等位基因失活突变引起。由于其罕见性,JPD的治疗很大程度上是经验性的。通过生化标志物如碱性磷酸酶(ALP)评估的骨转换加速可通过双膦酸盐治疗得到抑制,但如果停止双膦酸盐治疗则会复发。在本报告中,我们描述了对两名患有JPD的成年人进行长期地诺单抗治疗的经验,这两名患者TNFRSF11B基因存在“巴尔干”突变(966_969delTGACinsCTT)的纯合子。受试者1在35岁开始使用地诺单抗,受试者2在34岁开始使用。两人均持续治疗至今,分别为13.5年和12年。两人的ALP均稳步恢复正常。骨痛减轻,活动能力改善。听力没有进一步恶化,也没有发生新的骨折。受试者2的视力保持不变,但受试者1在46岁时右眼突然失明,通过玻璃体内注射抗血管内皮生长因子药物成功治疗。总之,对于先前接受过双膦酸盐治疗的JPD成年患者,长期给予地诺单抗在骨骼疾病方面是安全有效的,但可能无法预防视网膜病变的出现。