• 文献检索
  • 文档翻译
  • 深度研究
  • 学术资讯
  • Suppr Zotero 插件Zotero 插件
  • 邀请有礼
  • 套餐&价格
  • 历史记录
应用&插件
Suppr Zotero 插件Zotero 插件浏览器插件Mac 客户端Windows 客户端微信小程序
定价
高级版会员购买积分包购买API积分包
服务
文献检索文档翻译深度研究API 文档MCP 服务
关于我们
关于 Suppr公司介绍联系我们用户协议隐私条款
关注我们

Suppr 超能文献

核心技术专利:CN118964589B侵权必究
粤ICP备2023148730 号-1Suppr @ 2026

文献检索

告别复杂PubMed语法,用中文像聊天一样搜索,搜遍4000万医学文献。AI智能推荐,让科研检索更轻松。

立即免费搜索

文件翻译

保留排版,准确专业,支持PDF/Word/PPT等文件格式,支持 12+语言互译。

免费翻译文档

深度研究

AI帮你快速写综述,25分钟生成高质量综述,智能提取关键信息,辅助科研写作。

立即免费体验

一名黑色素瘤相关性视网膜病变患者接受帕博利珠单抗治疗病情稳定后的七年视网膜电图随访。

A seven-year electroretinography follow-up of a patient with melanoma-associated retinopathy stabilized on pembrolizumab treatment.

作者信息

Tshuva-Bitton Raz, Ostrovsky Michael, Vishnevskia-Dai Vicktoria, Agmon-Levin Nancy, Sher Ifat, Rotenstreich Ygal

机构信息

Faculty of Medicine, The Hebrew University of Jerusalem, Jerusalem, Israel.

Department of Ophthalmology, Kaplan Medical Center, Rehovot, Israel.

出版信息

Am J Ophthalmol Case Rep. 2025 Mar 26;38:102307. doi: 10.1016/j.ajoc.2025.102307. eCollection 2025 Jun.

DOI:10.1016/j.ajoc.2025.102307
PMID:40230455
原文链接:https://pmc.ncbi.nlm.nih.gov/articles/PMC11994355/
Abstract

PURPOSE

Melanoma-associated retinopathy (MAR) is a rare, auto-immune paraneoplastic syndrome associated with metastatic melanoma. Over the last decade, patient survival has improved dramatically, mainly due to the development of immunotherapy. However, data on long-term MAR patient follow-up and response to modern standard-of-care treatment are lacking. This single-patient case report presents a seven-year, multimodal follow-up of a young MAR patient treated with immune-checkpoint inhibitors.

OBSERVATIONS

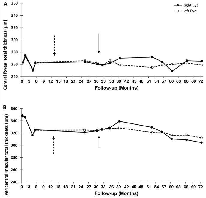
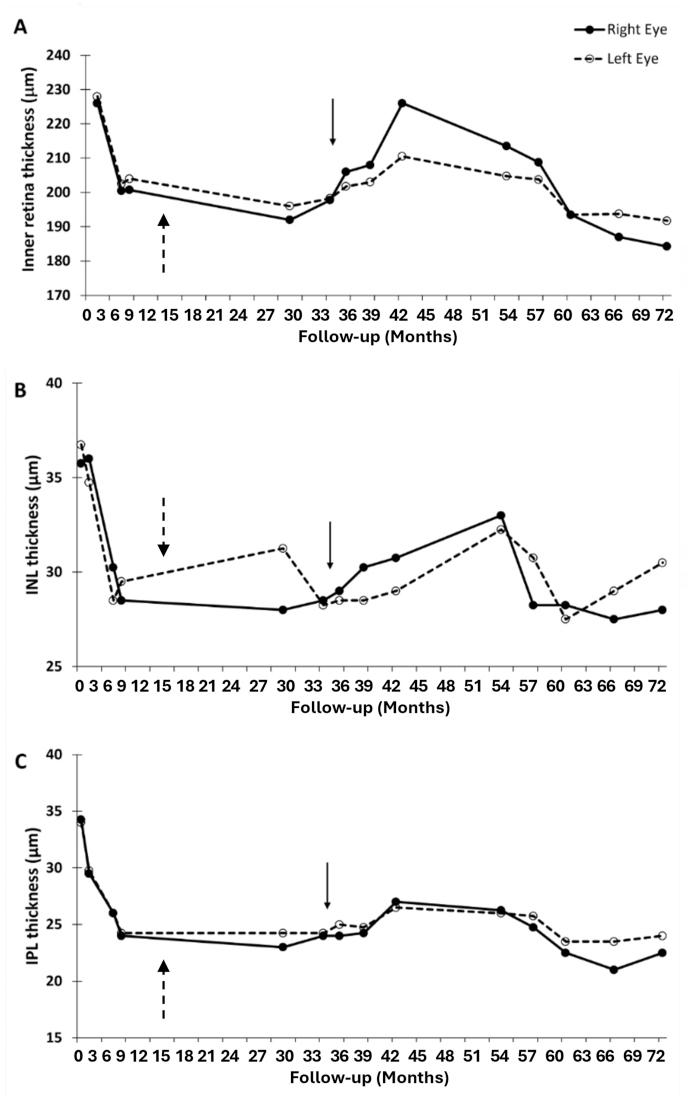
A 46-year-old Israeli male with a history of cutaneous malignant melanoma presented with sudden onset of bilateral shimmering, flickering, and nyctalopia a year and a half after diagnosis. Shortly thereafter, new subcarinal metastasis was observed on Positron Emission Tomography-Computed Tomography. Significantly reduced electroretinography (ERG) a- and b-wave responses led to a diagnosis of MAR, later confirmed by high titers of autoantibodies against retinal bipolar cells. Half a year later, macular thinning, particularly within the inner nuclear and inner plexiform layers of the outer macular ring, with no substantial change in the outer retina, was observed on optical coherence tomography (OCT). A treatment regimen combining intravenous immune globulin, azathioprine, and prednisone allowed partial steroid tapering over the following 2.5 years but showed substantial toxicity and a lack of significant improvement on OCT and ERG. Pembrolizumab treatment was initiated following metastatic progression and resulted in stabilization of the patient's primary oncologic disease, as well as an increase in macular thickness and enhanced retinal function with an increase of over 60 % in dark adapted (DA) b-wave response over the following year.

CONCLUSIONS AND IMPORTANCE

MAR may be the first sign of systemic metastatic melanoma, thus warranting a high degree of clinical suspicion. While OCT and ERG showed mostly concordant results over the patient's follow-up, ERG proved to be a more sensitive tool for the early diagnosis of MAR. Early immunotherapy treatment should be considered in antibody-positive MAR patients.

摘要

目的

黑色素瘤相关性视网膜病变(MAR)是一种与转移性黑色素瘤相关的罕见自身免疫性副肿瘤综合征。在过去十年中,患者生存率显著提高,主要归功于免疫疗法的发展。然而,缺乏关于MAR患者长期随访及对现代标准治疗反应的数据。本单病例报告展示了一名接受免疫检查点抑制剂治疗的年轻MAR患者的七年多模式随访情况。

观察结果

一名46岁有皮肤恶性黑色素瘤病史的以色列男性,在诊断后一年半出现双侧突发闪光、闪烁及夜盲症状。此后不久,正电子发射断层扫描-计算机断层扫描显示新的隆突下转移。视网膜电图(ERG)a波和b波反应显著降低,导致诊断为MAR,随后通过高滴度抗视网膜双极细胞自身抗体得以证实。半年后,光学相干断层扫描(OCT)显示黄斑变薄,尤其是在外黄斑环的内核层和内丛状层,外层视网膜无明显变化。静脉注射免疫球蛋白、硫唑嘌呤和泼尼松联合治疗方案在接下来的2.5年允许部分减停类固醇,但显示出严重毒性,且OCT和ERG无明显改善。在转移进展后开始帕博利珠单抗治疗,使患者原发性肿瘤疾病稳定,同时黄斑厚度增加,视网膜功能增强,次年暗适应(DA)b波反应增加超过60%。

结论与意义

MAR可能是系统性转移性黑色素瘤的首个迹象,因此需要高度临床怀疑。在患者随访过程中,OCT和ERG结果大多一致,但ERG被证明是早期诊断MAR更敏感的工具。抗体阳性的MAR患者应考虑早期免疫治疗。

https://cdn.ncbi.nlm.nih.gov/pmc/blobs/afea/11994355/3221cad943ec/mmcfigs5.jpg
https://cdn.ncbi.nlm.nih.gov/pmc/blobs/afea/11994355/70ddfc8509bf/gr1.jpg
https://cdn.ncbi.nlm.nih.gov/pmc/blobs/afea/11994355/a8f35bcde114/gr2.jpg
https://cdn.ncbi.nlm.nih.gov/pmc/blobs/afea/11994355/620cdb014d3c/gr3.jpg
https://cdn.ncbi.nlm.nih.gov/pmc/blobs/afea/11994355/95b1f42ea091/gr4.jpg
https://cdn.ncbi.nlm.nih.gov/pmc/blobs/afea/11994355/9737502670f0/mmcfigs1.jpg
https://cdn.ncbi.nlm.nih.gov/pmc/blobs/afea/11994355/13e2c02dab20/mmcfigs2.jpg
https://cdn.ncbi.nlm.nih.gov/pmc/blobs/afea/11994355/0e6f0ec93618/mmcfigs3.jpg
https://cdn.ncbi.nlm.nih.gov/pmc/blobs/afea/11994355/44a3c6166a7c/mmcfigs4.jpg
https://cdn.ncbi.nlm.nih.gov/pmc/blobs/afea/11994355/3221cad943ec/mmcfigs5.jpg
https://cdn.ncbi.nlm.nih.gov/pmc/blobs/afea/11994355/70ddfc8509bf/gr1.jpg
https://cdn.ncbi.nlm.nih.gov/pmc/blobs/afea/11994355/a8f35bcde114/gr2.jpg
https://cdn.ncbi.nlm.nih.gov/pmc/blobs/afea/11994355/620cdb014d3c/gr3.jpg
https://cdn.ncbi.nlm.nih.gov/pmc/blobs/afea/11994355/95b1f42ea091/gr4.jpg
https://cdn.ncbi.nlm.nih.gov/pmc/blobs/afea/11994355/9737502670f0/mmcfigs1.jpg
https://cdn.ncbi.nlm.nih.gov/pmc/blobs/afea/11994355/13e2c02dab20/mmcfigs2.jpg
https://cdn.ncbi.nlm.nih.gov/pmc/blobs/afea/11994355/0e6f0ec93618/mmcfigs3.jpg
https://cdn.ncbi.nlm.nih.gov/pmc/blobs/afea/11994355/44a3c6166a7c/mmcfigs4.jpg
https://cdn.ncbi.nlm.nih.gov/pmc/blobs/afea/11994355/3221cad943ec/mmcfigs5.jpg

相似文献

1
A seven-year electroretinography follow-up of a patient with melanoma-associated retinopathy stabilized on pembrolizumab treatment.一名黑色素瘤相关性视网膜病变患者接受帕博利珠单抗治疗病情稳定后的七年视网膜电图随访。
Am J Ophthalmol Case Rep. 2025 Mar 26;38:102307. doi: 10.1016/j.ajoc.2025.102307. eCollection 2025 Jun.
2
Outcomes Associated With Sustained-Release Intraocular Fluocinolone Implants in a Case of Melanoma-Associated Retinopathy Treated Without Systemic Immunosuppression.在未进行全身免疫抑制治疗的情况下,用于治疗黑色素瘤相关性视网膜病变的缓释型眼内氟轻松植入物的相关结果。
JAMA Ophthalmol. 2019 May 1;137(5):564-567. doi: 10.1001/jamaophthalmol.2019.0284.
3
Melanoma-associated retinopathy during pembrolizumab treatment probably controlled by intravitreal injections of dexamethasone.帕博利珠单抗治疗期间发生黑色素瘤相关性视网膜病变可能通过玻璃体内注射地塞米松控制。
Doc Ophthalmol. 2021 Apr;142(2):257-263. doi: 10.1007/s10633-020-09795-8. Epub 2020 Sep 25.
4
Optical coherence tomography findings in paraneoplastic pseudovitelliform lesions in melanoma-associated retinopathy.黑色素瘤相关性视网膜病变中副肿瘤性假卵黄样病变的光学相干断层扫描结果
Clin Ophthalmol. 2008 Jun;2(2):461-3. doi: 10.2147/opth.s2282.
5
Melanoma-associated retinopathy with anti-TRPM1 autoantibodies showing concomitant Off-bipolar cell dysfunction.伴抗 TRPM1 自身抗体的黑色素瘤相关视网膜病变表现出同时的无长突细胞功能障碍。
Doc Ophthalmol. 2022 Dec;145(3):263-270. doi: 10.1007/s10633-022-09901-y. Epub 2022 Sep 29.
6
Diagnosis of occult melanoma using transient receptor potential melastatin 1 (TRPM1) autoantibody testing: a novel approach.使用瞬时受体电位 melastatin 1 (TRPM1) 自身抗体检测诊断隐匿性黑色素瘤:一种新方法。
Ophthalmology. 2013 Dec;120(12):2560-2564. doi: 10.1016/j.ophtha.2013.07.037. Epub 2013 Sep 17.
7
Normalization of electroretinogram and symptom resolution of melanoma-associated retinopathy with negative autoantibodies after treatment with programmed death-1 (PD-1) inhibitors for metastatic melanoma.程序性死亡受体-1(PD-1)抑制剂治疗转移性黑色素瘤后,伴有阴性自身抗体的黑色素瘤相关性视网膜病变的视网膜电图正常化和症状缓解。
Cancer Immunol Immunother. 2021 Sep;70(9):2497-2502. doi: 10.1007/s00262-021-02875-x. Epub 2021 Feb 5.
8
Fundus autofluorescence, optical coherence tomography and electroretinography abnormalities in a patient with digoxin retinopathy that resemble those in KCNV2-associated retinopathy.眼底自发荧光、光学相干断层扫描和视网膜电图异常,患者患有地高辛性视网膜病变,与 KCNV2 相关的视网膜病变相似。
Doc Ophthalmol. 2023 Oct;147(2):131-137. doi: 10.1007/s10633-023-09942-x. Epub 2023 Jul 17.
9
Clinical Findings of Melanoma-Associated Retinopathy with anti-TRPM1 Antibody.抗TRPM1抗体相关黑色素瘤视网膜病变的临床发现
Case Rep Ophthalmol Med. 2021 Sep 8;2021:6607441. doi: 10.1155/2021/6607441. eCollection 2021.
10
Human melanoma-associated retinopathy (MAR) antibodies alter the retinal ON-response of the monkey ERG in vivo.人类黑色素瘤相关性视网膜病变(MAR)抗体可在体内改变猴视网膜电图的视网膜ON反应。
Invest Ophthalmol Vis Sci. 2000 Jan;41(1):262-6.

本文引用的文献

1
-TRPM1 autoantibody-positive unilateral melanoma associated retinopathy (MAR) triggered by immunotherapy recapitulates functional and structural details of -associated congenital stationary night blindness.由免疫疗法引发的TRPM1自身抗体阳性单侧黑色素瘤相关性视网膜病变(MAR)重现了相关先天性静止性夜盲的功能和结构细节。
Am J Ophthalmol Case Rep. 2024 Jul 5;36:102098. doi: 10.1016/j.ajoc.2024.102098. eCollection 2024 Dec.
2
ISCEV Standard for full-field clinical electroretinography (2022 update).国际临床电生理学会标准:全视野临床视网膜电流图(2022 更新版)。
Doc Ophthalmol. 2022 Jun;144(3):165-177. doi: 10.1007/s10633-022-09872-0. Epub 2022 May 5.
3
Autoimmune retinopathy with associated anti-retinal antibodies as a potential immune-related adverse event associated with immunotherapy in patients with advanced cutaneous melanoma: case series and systematic review.
自身免疫性视网膜病伴抗视网膜抗体,作为一种潜在的与免疫治疗相关的免疫相关不良事件,与晚期皮肤黑色素瘤患者的免疫治疗相关:病例系列和系统评价。
BMJ Open Ophthalmol. 2022 Jan 3;7(1):e000889. doi: 10.1136/bmjophth-2021-000889. eCollection 2022.
4
Normalization of electroretinogram and symptom resolution of melanoma-associated retinopathy with negative autoantibodies after treatment with programmed death-1 (PD-1) inhibitors for metastatic melanoma.程序性死亡受体-1(PD-1)抑制剂治疗转移性黑色素瘤后,伴有阴性自身抗体的黑色素瘤相关性视网膜病变的视网膜电图正常化和症状缓解。
Cancer Immunol Immunother. 2021 Sep;70(9):2497-2502. doi: 10.1007/s00262-021-02875-x. Epub 2021 Feb 5.
5
Melanoma-associated retinopathy during pembrolizumab treatment probably controlled by intravitreal injections of dexamethasone.帕博利珠单抗治疗期间发生黑色素瘤相关性视网膜病变可能通过玻璃体内注射地塞米松控制。
Doc Ophthalmol. 2021 Apr;142(2):257-263. doi: 10.1007/s10633-020-09795-8. Epub 2020 Sep 25.
6
Chromatic Pupilloperimetry Measures Correlate With Visual Acuity and Visual Field Defects in Retinitis Pigmentosa Patients.色觉瞳孔计测量与色素性视网膜炎患者的视力和视野缺陷相关。
Transl Vis Sci Technol. 2020 Jul 8;9(8):10. doi: 10.1167/tvst.9.8.10. eCollection 2020 Jul.
7
The impact of corticosteroid use during anti-PD1 treatment.抗PD-1治疗期间使用皮质类固醇的影响。
J Oncol Pharm Pract. 2020 Jun;26(4):814-822. doi: 10.1177/1078155219872786. Epub 2019 Sep 7.
8
Chorioretinal Lesions in a Case of Melanoma-Associated Retinopathy Treated With Pembrolizumab.帕博利珠单抗治疗黑色素瘤相关性视网膜病变一例的脉络膜视网膜病变
JAMA Ophthalmol. 2016 Oct 1;134(10):1184-1188. doi: 10.1001/jamaophthalmol.2016.2944.
9
Melanoma-associated retinopathy treated with ipilimumab therapy.用伊匹单抗治疗的黑色素瘤相关性视网膜病变。
Dermatology. 2013;227(2):146-9. doi: 10.1159/000353408. Epub 2013 Sep 14.
10
Normal values of standard full field electroretinography in an Iranian population.伊朗人群标准全视野视网膜电图的正常值
J Ophthalmic Vis Res. 2009 Apr;4(2):97-101.