• 文献检索
  • 文档翻译
  • 深度研究
  • 学术资讯
  • Suppr Zotero 插件Zotero 插件
  • 邀请有礼
  • 套餐&价格
  • 历史记录
应用&插件
Suppr Zotero 插件Zotero 插件浏览器插件Mac 客户端Windows 客户端微信小程序
定价
高级版会员购买积分包购买API积分包
服务
文献检索文档翻译深度研究API 文档MCP 服务
关于我们
关于 Suppr公司介绍联系我们用户协议隐私条款
关注我们

Suppr 超能文献

核心技术专利:CN118964589B侵权必究
粤ICP备2023148730 号-1Suppr @ 2026

文献检索

告别复杂PubMed语法,用中文像聊天一样搜索,搜遍4000万医学文献。AI智能推荐,让科研检索更轻松。

立即免费搜索

文件翻译

保留排版,准确专业,支持PDF/Word/PPT等文件格式,支持 12+语言互译。

免费翻译文档

深度研究

AI帮你快速写综述,25分钟生成高质量综述,智能提取关键信息,辅助科研写作。

立即免费体验

基于视觉与传感技术的铁观音乌龙茶发酵程度预测模型

The Fermentation Degree Prediction Model for Tieguanyin Oolong Tea Based on Visual and Sensing Technologies.

作者信息

Huang Yuyan, Zhao Jian, Zheng Chengxu, Li Chuanhui, Wang Tao, Xiao Liangde, Chen Yongkuai

机构信息

Institute of Digital Agriculture, Fujian Academy of Agricultural Sciences, Fuzhou 350003, China.

Fujian Zhi Cha Intelligent Technology Co., Anxi 362400, China.

出版信息

Foods. 2025 Mar 13;14(6):983. doi: 10.3390/foods14060983.

DOI:10.3390/foods14060983
PMID:40231982
原文链接:https://pmc.ncbi.nlm.nih.gov/articles/PMC11941101/
Abstract

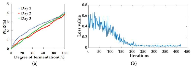
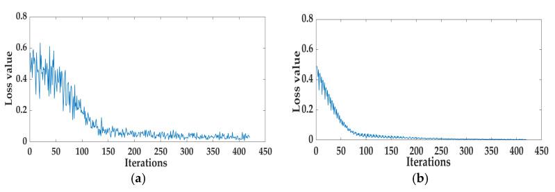
The fermentation of oolong tea is a critical process that determines its quality and flavor. Current fermentation control relies on tea makers' sensory experience, which is labor-intensive and time-consuming. In this study, using Tieguanyin oolong tea as the research object, features including the tea water loss rate, aroma, image color, and texture were obtained using weight sensors, a tin oxide-type gas sensor, and a visual acquisition system. Support vector regression (SVR), random forest (RF) machine learning, and long short-term memory (LSTM) deep learning algorithms were employed to establish models for assessing the fermentation degree based on both single features and fused multi-source features, respectively. The results showed that in the test set of the fermentation degree models based on single features, the mean absolute error (MAE) ranged from 4.537 to 6.732, the root mean square error (RMSE) ranged from 5.980 to 9.416, and the coefficient of determination (R) values varied between 0.898 and 0.959. In contrast, the data fusion models demonstrated superior performance, with the MAE reduced to 2.232-2.783, the RMSE reduced to 2.693-3.969, and R increased to 0.982-0.991, confirming that feature fusion enhanced characterization accuracy. Finally, the Sparrow Search Algorithm (SSA) was applied to optimize the data fusion models. After optimization, the models exhibited a MAE ranging from 1.703 to 2.078, a RMSE from 2.258 to 3.230, and R values between 0.988 and 0.994 on the test set. The application of the SSA further enhanced model accuracy, with the Fusion-SSA-LSTM model demonstrating the best performance. The research results enable online real-time monitoring of the fermentation degree of Tieguanyin oolong tea, which contributes to the automated production of Tieguanyin oolong tea.

摘要

乌龙茶的发酵是决定其品质和风味的关键过程。目前的发酵控制依赖于制茶者的感官经验,既耗费人力又耗时。在本研究中,以铁观音乌龙茶为研究对象,利用重量传感器、氧化锡型气体传感器和视觉采集系统获取了包括茶水损失率、香气、图像颜色和质地等特征。分别采用支持向量回归(SVR)、随机森林(RF)机器学习和长短期记忆(LSTM)深度学习算法,基于单一特征和融合多源特征建立了评估发酵程度的模型。结果表明,在基于单一特征的发酵程度模型测试集中,平均绝对误差(MAE)在4.537至6.732之间,均方根误差(RMSE)在5.980至9.416之间,决定系数(R)值在0.898至0.959之间。相比之下,数据融合模型表现出更好的性能,MAE降至2.232 - 2.783,RMSE降至2.693 - 3.969,R升至0.982 - 0.991,证实特征融合提高了表征精度。最后,应用麻雀搜索算法(SSA)对数据融合模型进行优化。优化后,模型在测试集上的MAE在1.703至2.078之间,RMSE在2.258至3.230之间,R值在0.988至0.994之间。SSA的应用进一步提高了模型精度,其中Fusion - SSA - LSTM模型性能最佳。研究结果实现了对铁观音乌龙茶发酵程度的在线实时监测,有助于铁观音乌龙茶的自动化生产。

https://cdn.ncbi.nlm.nih.gov/pmc/blobs/7595/11941101/78f6d2323e85/foods-14-00983-g016.jpg
https://cdn.ncbi.nlm.nih.gov/pmc/blobs/7595/11941101/be8517f9469b/foods-14-00983-g001.jpg
https://cdn.ncbi.nlm.nih.gov/pmc/blobs/7595/11941101/0700e51677d9/foods-14-00983-g002.jpg
https://cdn.ncbi.nlm.nih.gov/pmc/blobs/7595/11941101/6a0e211875d3/foods-14-00983-g003.jpg
https://cdn.ncbi.nlm.nih.gov/pmc/blobs/7595/11941101/ef2bae86f706/foods-14-00983-g004.jpg
https://cdn.ncbi.nlm.nih.gov/pmc/blobs/7595/11941101/4c3675042fef/foods-14-00983-g005.jpg
https://cdn.ncbi.nlm.nih.gov/pmc/blobs/7595/11941101/9cf8b80e1f42/foods-14-00983-g006.jpg
https://cdn.ncbi.nlm.nih.gov/pmc/blobs/7595/11941101/1ca20411f129/foods-14-00983-g007a.jpg
https://cdn.ncbi.nlm.nih.gov/pmc/blobs/7595/11941101/6835ef486f84/foods-14-00983-g008.jpg
https://cdn.ncbi.nlm.nih.gov/pmc/blobs/7595/11941101/2201683714c8/foods-14-00983-g009.jpg
https://cdn.ncbi.nlm.nih.gov/pmc/blobs/7595/11941101/34db4a0f388c/foods-14-00983-g010.jpg
https://cdn.ncbi.nlm.nih.gov/pmc/blobs/7595/11941101/646f26a62370/foods-14-00983-g011.jpg
https://cdn.ncbi.nlm.nih.gov/pmc/blobs/7595/11941101/75cbeb32e014/foods-14-00983-g012.jpg
https://cdn.ncbi.nlm.nih.gov/pmc/blobs/7595/11941101/15dc479b37a3/foods-14-00983-g013.jpg
https://cdn.ncbi.nlm.nih.gov/pmc/blobs/7595/11941101/cce21a7fc034/foods-14-00983-g014.jpg
https://cdn.ncbi.nlm.nih.gov/pmc/blobs/7595/11941101/fd861806d6b6/foods-14-00983-g015.jpg
https://cdn.ncbi.nlm.nih.gov/pmc/blobs/7595/11941101/78f6d2323e85/foods-14-00983-g016.jpg
https://cdn.ncbi.nlm.nih.gov/pmc/blobs/7595/11941101/be8517f9469b/foods-14-00983-g001.jpg
https://cdn.ncbi.nlm.nih.gov/pmc/blobs/7595/11941101/0700e51677d9/foods-14-00983-g002.jpg
https://cdn.ncbi.nlm.nih.gov/pmc/blobs/7595/11941101/6a0e211875d3/foods-14-00983-g003.jpg
https://cdn.ncbi.nlm.nih.gov/pmc/blobs/7595/11941101/ef2bae86f706/foods-14-00983-g004.jpg
https://cdn.ncbi.nlm.nih.gov/pmc/blobs/7595/11941101/4c3675042fef/foods-14-00983-g005.jpg
https://cdn.ncbi.nlm.nih.gov/pmc/blobs/7595/11941101/9cf8b80e1f42/foods-14-00983-g006.jpg
https://cdn.ncbi.nlm.nih.gov/pmc/blobs/7595/11941101/1ca20411f129/foods-14-00983-g007a.jpg
https://cdn.ncbi.nlm.nih.gov/pmc/blobs/7595/11941101/6835ef486f84/foods-14-00983-g008.jpg
https://cdn.ncbi.nlm.nih.gov/pmc/blobs/7595/11941101/2201683714c8/foods-14-00983-g009.jpg
https://cdn.ncbi.nlm.nih.gov/pmc/blobs/7595/11941101/34db4a0f388c/foods-14-00983-g010.jpg
https://cdn.ncbi.nlm.nih.gov/pmc/blobs/7595/11941101/646f26a62370/foods-14-00983-g011.jpg
https://cdn.ncbi.nlm.nih.gov/pmc/blobs/7595/11941101/75cbeb32e014/foods-14-00983-g012.jpg
https://cdn.ncbi.nlm.nih.gov/pmc/blobs/7595/11941101/15dc479b37a3/foods-14-00983-g013.jpg
https://cdn.ncbi.nlm.nih.gov/pmc/blobs/7595/11941101/cce21a7fc034/foods-14-00983-g014.jpg
https://cdn.ncbi.nlm.nih.gov/pmc/blobs/7595/11941101/fd861806d6b6/foods-14-00983-g015.jpg
https://cdn.ncbi.nlm.nih.gov/pmc/blobs/7595/11941101/78f6d2323e85/foods-14-00983-g016.jpg

相似文献

1
The Fermentation Degree Prediction Model for Tieguanyin Oolong Tea Based on Visual and Sensing Technologies.基于视觉与传感技术的铁观音乌龙茶发酵程度预测模型
Foods. 2025 Mar 13;14(6):983. doi: 10.3390/foods14060983.
2
Online System for Monitoring the Degree of Fermentation of Oolong Tea Using Integrated Visible-Near-Infrared Spectroscopy and Image-Processing Technologies.基于可见-近红外光谱与图像处理技术集成的乌龙茶发酵程度在线监测系统
Foods. 2024 May 29;13(11):1708. doi: 10.3390/foods13111708.
3
Monitoring the baking quality of Tieguanyin via electronic nose combined with GC-MS.基于电子鼻结合气相色谱-质谱联用技术监测铁观音烘焙品质
Food Res Int. 2023 Mar;165:112513. doi: 10.1016/j.foodres.2023.112513. Epub 2023 Jan 25.
4
Chemical characterization and bioactivity of phenolics from Tieguanyin oolong tea.铁观音乌龙茶中酚类物质的化学特征及生物活性。
J Food Biochem. 2019 Jul;43(7):e12894. doi: 10.1111/jfbc.12894. Epub 2019 May 15.
5
Flavor characteristics and chemical compositions of oolong tea processed using different semi-fermentation times.不同半发酵时间加工的乌龙茶的风味特征和化学成分
J Food Sci Technol. 2018 Mar;55(3):1185-1195. doi: 10.1007/s13197-018-3034-0. Epub 2018 Jan 12.
6
Prediction of the Quality of Anxi Tieguanyin Based on Hyperspectral Detection Technology.基于高光谱检测技术的安溪铁观音品质预测
Foods. 2024 Dec 20;13(24):4126. doi: 10.3390/foods13244126.
7
Quality development and main chemical components of Tieguanyin oolong teas processed from different parts of fresh shoots.铁观音乌龙茶成品不同部位鲜梢加工品质的形成及主要化学成分
Food Chem. 2018 May 30;249:176-183. doi: 10.1016/j.foodchem.2018.01.019. Epub 2018 Jan 3.
8
Variations in Fatty Acids Affected Their Derivative Volatiles during Tieguanyin Tea Processing.铁观音茶加工过程中脂肪酸的变化影响其衍生挥发物。
Foods. 2022 May 26;11(11):1563. doi: 10.3390/foods11111563.
9
A Gas Sensors Detection System for Real-Time Monitoring of Changes in Volatile Organic Compounds during Oolong Tea Processing.一种用于实时监测乌龙茶加工过程中挥发性有机化合物变化的气体传感器检测系统。
Foods. 2024 May 30;13(11):1721. doi: 10.3390/foods13111721.
10
Rapid varietal authentication of oolong tea products by microfluidic-based SNP genotyping.基于微流控 SNP 基因分型的乌龙茶产品快速品种鉴定。
Food Res Int. 2022 Dec;162(Pt A):111970. doi: 10.1016/j.foodres.2022.111970. Epub 2022 Oct 5.

本文引用的文献

1
Detection of Apple Sucrose Concentration Based on Fluorescence Hyperspectral Image System and Machine Learning.基于荧光高光谱图像系统和机器学习的苹果蔗糖浓度检测
Foods. 2024 Nov 6;13(22):3547. doi: 10.3390/foods13223547.
2
A Gas Sensors Detection System for Real-Time Monitoring of Changes in Volatile Organic Compounds during Oolong Tea Processing.一种用于实时监测乌龙茶加工过程中挥发性有机化合物变化的气体传感器检测系统。
Foods. 2024 May 30;13(11):1721. doi: 10.3390/foods13111721.
3
Online System for Monitoring the Degree of Fermentation of Oolong Tea Using Integrated Visible-Near-Infrared Spectroscopy and Image-Processing Technologies.
基于可见-近红外光谱与图像处理技术集成的乌龙茶发酵程度在线监测系统
Foods. 2024 May 29;13(11):1708. doi: 10.3390/foods13111708.
4
An integrated metabolomic and transcriptomic analysis reveals the dynamic changes of key metabolites and flavor formation over Tieguanyin oolong tea production.一项综合代谢组学和转录组学分析揭示了铁观音乌龙茶生产过程中关键代谢物的动态变化和风味形成。
Food Chem X. 2023 Oct 21;20:100952. doi: 10.1016/j.fochx.2023.100952. eCollection 2023 Dec 30.
5
Prediction and Health Risk Assessment of Copper, Lead, Cadmium, Chromium, and Nickel in Tieguanyin Tea: A Case Study from Fujian, China.铁观音茶中铜、铅、镉、铬和镍的预测及健康风险评估:来自中国福建的案例研究
Foods. 2022 May 28;11(11):1593. doi: 10.3390/foods11111593.
6
Optimization of brewing conditions for Tieguanyin oolong tea by quadratic orthogonal regression design.基于二次正交回归设计的铁观音乌龙茶冲泡条件优化
NPJ Sci Food. 2022 Apr 25;6(1):25. doi: 10.1038/s41538-022-00141-7.
7
Research on moisture content detection method during green tea processing based on machine vision and near-infrared spectroscopy technology.基于机器视觉和近红外光谱技术的绿茶加工过程中含水率检测方法研究。
Spectrochim Acta A Mol Biomol Spectrosc. 2022 Apr 15;271:120921. doi: 10.1016/j.saa.2022.120921. Epub 2022 Jan 19.
8
Utilization of a Gas-Sensing System to Discriminate Smell and to Monitor Fermentation during the Manufacture of Oolong Tea Leaves.利用气体传感系统鉴别气味并监测乌龙茶茶叶制造过程中的发酵情况。
Micromachines (Basel). 2021 Jan 17;12(1):93. doi: 10.3390/mi12010093.
9
Non-targeted metabolomics analysis reveals dynamic changes of volatile and non-volatile metabolites during oolong tea manufacture.非靶向代谢组学分析揭示了乌龙茶制作过程中挥发性和非挥发性代谢物的动态变化。
Food Res Int. 2020 Feb;128:108778. doi: 10.1016/j.foodres.2019.108778. Epub 2019 Nov 8.
10
Untargeted metabolomics coupled with chemometrics analysis reveals potential non-volatile markers during oolong tea shaking.非靶向代谢组学结合化学计量学分析揭示乌龙茶摇青过程中的潜在非挥发性标志物
Food Res Int. 2019 Sep;123:125-134. doi: 10.1016/j.foodres.2019.04.053. Epub 2019 Apr 24.