Gulcin İlhami
Faculty of Sciences, Department of Chemistry, Atatürk University, 25240, Erzurum, Türkiye.
Arch Toxicol. 2025 May;99(5):1893-1997. doi: 10.1007/s00204-025-03997-2. Epub 2025 Apr 15.
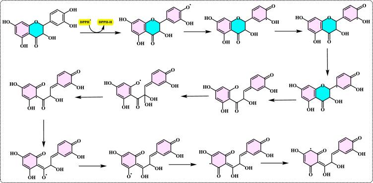
Antioxidants had a growing interest owing to their protective roles in food and pharmaceutical products against oxidative deterioration and in the body and against oxidative stress-mediated pathological processes. Screening of antioxidant properties of plants and plant derived compounds requires appropriate methods, which address the mechanism of antioxidant activity and focus on the kinetics of the reactions including the antioxidants. Many studies have been conducted with evaluating antioxidant activity of various samples of research interest using by different methods in food and human health. These methods were classified methods described and discussed in this review. Methods based on inhibited autoxidation are the most suited for termination-enhancing antioxidants and, for chain-breaking antioxidants while different specific studies are needed for preventive antioxidants. For this purpose, the most commonly methods used in vitro determination of antioxidant capacity of food and pharmaceutical constituents are examined and also a selection of chemical testing methods is critically reviewed and highlighting. In addition, their advantages, disadvantages, limitations and usefulness were discussed and investigated for pure molecules and raw plant extracts. The effect and influence of the reaction medium on performance of antioxidants is also addressed. Hence, this overview provides a basis and rationale for developing standardized antioxidant capacity methods for the food, nutraceuticals, and dietary supplement industries. Also, the most important advantages and shortcomings of each method were detected and highlighted. The underlying chemical principles of these methods have been explained and thoroughly analyzed. The chemical principles of methods of 1,1-diphenyl-2-picrylhydrazyl (DPPH•) radical scavenging, 2,2'-azinobis-(3-ethylbenzothiazoline-6-sulphonate) radical (ABTS) scavenging, ferric ions (Fe) reducing assay, ferric reducing antioxidant power (FRAP) assay, cupric ions (Cu) reducing power assay (Cuprac), Folin-Ciocalteu reducing capacity (FCR assay), superoxide radical anion (O), hydroxyl radical (OH·) scavenging, peroxyl radical (ROO·) removing, hydrogen peroxide (HO) decomposing, singlet oxygen (O) quenching assay, nitric oxide radical (NO·) scavenging assay and chemiluminescence assay are overviewed and critically discussed. Also, the general antioxidant aspects of the main food and pharmaceutical components were discussed through several methods currently used for detecting antioxidant properties of these components. This review consists of two main sections. The first section is devoted to the main components in food and their pharmaceutical applications. The second general section includes definitions of the main antioxidant methods commonly used for determining the antioxidant activity of components. In addition, some chemical, mechanistic, and kinetic properties, as well as technical details of the above mentioned methods, are provided. The general antioxidant aspects of main food components have been discussed through various methods currently used to detect the antioxidant properties of these components.
抗氧化剂因其在食品和药品中对氧化变质的保护作用,以及在体内对氧化应激介导的病理过程的保护作用而受到越来越多的关注。筛选植物及其衍生化合物的抗氧化性能需要合适的方法,这些方法要阐明抗氧化活性的机制,并关注包括抗氧化剂在内的反应动力学。许多研究通过不同方法对食品和人类健康领域各种感兴趣的样品的抗氧化活性进行了评估。本文对这些方法进行了分类描述和讨论。基于抑制自氧化的方法最适用于终止增强型抗氧化剂,对于链断裂型抗氧化剂也适用,而预防性抗氧化剂则需要不同的具体研究方法。为此,本文研究了体外测定食品和药物成分抗氧化能力最常用的方法,并对一些化学测试方法进行了批判性综述和重点介绍。此外,还讨论和研究了它们对纯分子和植物粗提物的优点、缺点、局限性和实用性。还探讨了反应介质对抗氧化剂性能的影响。因此,本综述为食品、营养保健品和膳食补充剂行业开发标准化的抗氧化能力方法提供了依据和基本原理。同时,还指出并强调了每种方法最重要的优点和缺点。对这些方法的基本化学原理进行了解释和深入分析。综述并批判性地讨论了1,1-二苯基-2-苦基肼自由基(DPPH•)清除法、2,2'-偶氮双(3-乙基苯并噻唑啉-6-磺酸盐)自由基(ABTS)清除法、铁离子(Fe)还原法、铁还原抗氧化能力(FRAP)法、铜离子(Cu)还原能力法(Cuprac)、福林-酚试剂还原能力(FCR法)、超氧阴离子自由基(O)清除法、羟基自由基(OH·)清除法、过氧自由基(ROO·)清除法、过氧化氢(HO)分解法、单线态氧(O)猝灭法、一氧化氮自由基(NO·)清除法和化学发光法的化学原理。此外,还通过目前用于检测这些成分抗氧化性能的几种方法讨论了主要食品和药物成分的一般抗氧化方面。本综述包括两个主要部分。第一部分专门讨论食品中的主要成分及其药物应用。第二部分包括常用于测定成分抗氧化活性的主要抗氧化方法的定义。此外,还提供了上述方法的一些化学、机理和动力学性质以及技术细节。通过目前用于检测这些成分抗氧化性能的各种方法,讨论了主要食品成分的一般抗氧化方面。