Suppr超能文献

一氧化碳在不同水合程度的阳离子交换富含蒙脱石的粘土上的吸附

CO Adsorption on Variably Hydrated Cation-Exchanged Montmorillonite-Rich Clays.

作者信息

Mendel Niels, Sîreţanu Diana, Sîreţanu Igor, Brilman Derk W F Wim, Mugele Frieder

机构信息

Physics of Complex Fluids, Faculty of Science and Technology, MESA+ Institute for Nanotechnology, University of Twente, P.O. Box 217, 7500 AE Enschede, The Netherlands.

Sustainable Process Technology, Faculty of Science and Technology, University of Twente, P.O. Box 217, 7500 AE Enschede, The Netherlands.

出版信息

J Phys Chem C Nanomater Interfaces. 2025 Mar 26;129(14):6953-6966. doi: 10.1021/acs.jpcc.4c07731. eCollection 2025 Apr 10.

Abstract

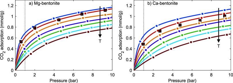
Layered swelling clay minerals like montmorillonite (MMT) can competitively and synergistically adsorb CO and HO in their interlayer galleries. This work examines how different interlayer cations, relative humidity levels (and amount of cosorbed HO), and (de)hydration history affect CO adsorption on MMT and MMT-rich bentonite at near-ambient pressure and temperature. For CO to be adsorbed, the MMT requires either large (e.g., Cs) or hydrated interlayer cations to provide a sufficiently wide interlayer gallery, and must not have too much HO adsorbed competitively with CO. Na-MMT and initially anhydrous Mg- and Ca-MMT studied under increasing relative humidity conditions adsorb little CO. However, Mg- and Ca-MMT can effectively adsorb CO if first hydrated and then mildly dried such that the cations remain hydrated while the competitively adsorbed excess HO is removed. Because of their high stability and the favorable shape of their CO adsorption isotherms, low-cost (near-)natural Mg- and Ca-bentonite can be used for (cyclic) CO adsorption and separation purposes, similar to the more expensive Cs-bentonite.

摘要

像蒙脱石(MMT)这样的层状膨胀粘土矿物能够在其层间通道中竞争性地和协同地吸附一氧化碳(CO)和水(H₂O)。这项工作研究了不同的层间阳离子、相对湿度水平(以及共吸附的水的量)和(脱)水历史如何在近环境压力和温度下影响CO在MMT以及富含MMT的膨润土上的吸附。为了使CO被吸附,MMT需要大的(例如铯(Cs))或水合的层间阳离子来提供足够宽的层间通道,并且不能有太多的水与CO竞争性吸附。在相对湿度增加的条件下研究的钠基蒙脱石(Na-MMT)以及初始无水的镁基蒙脱石(Mg-MMT)和钙基蒙脱石(Ca-MMT)几乎不吸附CO。然而,如果先将Mg-MMT和Ca-MMT水合,然后适度干燥,使得阳离子保持水合状态,同时去除竞争性吸附的过量水,则它们能够有效地吸附CO。由于其高稳定性以及其CO吸附等温线的良好形状,低成本的(近)天然镁基膨润土和钙基膨润土可用于(循环)CO吸附和分离目的,类似于更昂贵的铯基膨润土。

https://cdn.ncbi.nlm.nih.gov/pmc/blobs/708f/11998085/7de9f4db4030/jp4c07731_0001.jpg

文献AI研究员

20分钟写一篇综述,助力文献阅读效率提升50倍。

立即体验

用中文搜PubMed

大模型驱动的PubMed中文搜索引擎

马上搜索

文档翻译

学术文献翻译模型,支持多种主流文档格式。

立即体验