Suppr超能文献

糖尿病患者中急性肾损伤合并或不合并慢性肾病对动脉粥样硬化性心血管疾病事件后短期不良结局的影响

Impact of Acute Kidney Injury, Co-Existing with and without Chronic Kidney Disease on the Short-Term Adverse Outcomes Following Atherosclerotic Cardiovascular Disease Events in Patients with Diabetes.

作者信息

Chou Chu-Lin, Zheng Cai-Mei, Chiu Hui-Wen, Tsou Lawrence Li-Chih, Kao Pai-Feng, Hsu Yung-Ho, Lin Cheng-Li, Sung Li-Chin

机构信息

Taipei Medical University-Research Center of Urology and Kidney (TMU-RCUK), Taipei Medical University, Taipei, Taiwan.

Division of Nephrology, Department of Internal Medicine, School of Medicine, College of Medicine, Taipei Medical University, Taipei, Taiwan.

出版信息

J Multidiscip Healthc. 2025 Apr 12;18:2019-2037. doi: 10.2147/JMDH.S515884. eCollection 2025.

Abstract

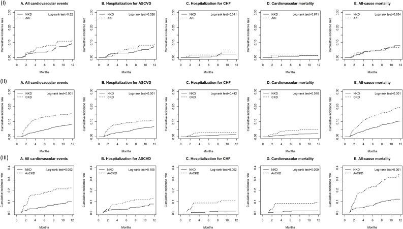
BACKGROUND/OBJECTIVE: Atherosclerotic cardiovascular disease (ASCVD) is a leading cause of morbidity and mortality among patients with diabetes mellitus (DM). Although ASCVD risk is elevated in diabetic populations, the effect of acute kidney injury (AKI), especially when chronic kidney disease (CKD) is present, on post-ASCVD outcomes remain unclear. This study investigates the association between AKI-with or without co-existing CKD-and short-term adverse outcomes in diabetic patients following their first ASCVD event.

METHODS

This retrospective cohort study analyzed data from the Taipei Medical University Clinical Research Database (2004-2020), which includes anonymized electronic health records from three affiliated hospitals. Patients with DM who experienced the first ASCVD event were categorized by kidney function: no known kidney disease (NKD), AKI, CKD, and acute-on-CKD (AoCKD). The impact of kidney dysfunction on outcomes was assessed using Cox proportional-hazards models, with hazard ratios (HRs) and 95% confidence intervals (CIs).

RESULTS

Out of 4525 patients, those with CKD and AoCKD exhibited significantly higher 1-year all-cause mortality (HR: 1.24 and 1.68, respectively) and risks of cardiovascular death, recurrent ASCVD-related hospitalizations, and heart failure, compared with NKD patients. Diuretic use was associated with increased all-cause mortality in AoCKD and CKD groups. In the contrary, the use of metformin was associated with a lower risk of all-cause mortality in AoCKD and CKD groups.

CONCLUSION

AoCKD significantly increases short-term mortality and cardiovascular complications in diabetic patients post-ASCVD period, whereas AKI alone does not confer additional risk. These findings highlight the need for dedicated case-managed, personalized and multidisciplinary interventions for cardiorenal health. The early nephrologist consultation, echocardiography with speckle-tracking strain, urine albumin-to-creatinine ratio, pharmacologic strategies, such as cautious use of diuretics, use of sodium-glucose transport protein 2 inhibitors, statin or metformin are recommended to improve outcomes in this high-risk group.

摘要

背景/目的:动脉粥样硬化性心血管疾病(ASCVD)是糖尿病(DM)患者发病和死亡的主要原因。尽管糖尿病患者群体中ASCVD风险升高,但急性肾损伤(AKI),尤其是在存在慢性肾脏病(CKD)的情况下,对ASCVD后结局的影响仍不明确。本研究调查糖尿病患者首次发生ASCVD事件后,伴或不伴有CKD的AKI与短期不良结局之间的关联。

方法

这项回顾性队列研究分析了台北医学大学临床研究数据库(2004 - 2020年)的数据,该数据库包含三家附属医院的匿名电子健康记录。首次发生ASCVD事件的糖尿病患者按肾功能分类:无已知肾脏疾病(NKD)、AKI、CKD和慢性肾脏病急性发作(AoCKD)。使用Cox比例风险模型评估肾功能不全对结局的影响,给出风险比(HRs)和95%置信区间(CIs)。

结果

在4525例患者中,与NKD患者相比,CKD和AoCKD患者的1年全因死亡率(HR分别为1.24和1.68)以及心血管死亡、复发性ASCVD相关住院和心力衰竭风险显著更高。利尿剂的使用与AoCKD和CKD组全因死亡率增加相关。相反,二甲双胍的使用与AoCKD和CKD组全因死亡风险较低相关。

结论

AoCKD显著增加糖尿病患者ASCVD后短期死亡率和心血管并发症,而单独的AKI不会带来额外风险。这些发现凸显了对心脏肾脏健康进行专门的病例管理、个性化和多学科干预的必要性。建议早期咨询肾脏科医生、采用斑点追踪应变的超声心动图、尿白蛋白与肌酐比值、谨慎使用利尿剂、使用钠-葡萄糖协同转运蛋白2抑制剂、他汀类药物或二甲双胍等药物策略,以改善这一高危群体的结局。

https://cdn.ncbi.nlm.nih.gov/pmc/blobs/eb08/12002078/61cf36e2fe4b/JMDH-18-2019-g0001.jpg

文献AI研究员

20分钟写一篇综述,助力文献阅读效率提升50倍。

立即体验

用中文搜PubMed

大模型驱动的PubMed中文搜索引擎

马上搜索

文档翻译

学术文献翻译模型,支持多种主流文档格式。

立即体验