Suppr超能文献

基于中国健康与养老追踪调查(CHARLS)的中国中老年人群中心性肥胖与日常生活活动能力受损之间的关联

Association between central obesity and ADL impairment among the middle-aged and elderly population in China based on CHARLS.

作者信息

Du Yihang, Zhang Wenjing, Zhang Xiaohan, Zhu Xueping, Wei Yi, Hu Yuanhui

机构信息

Department of Cardiology, Guang'anmen Hospital, China Academy of Chinese Medical Sciences, Beijing, China.

出版信息

Sci Rep. 2025 Apr 18;15(1):13455. doi: 10.1038/s41598-025-95273-7.

Abstract

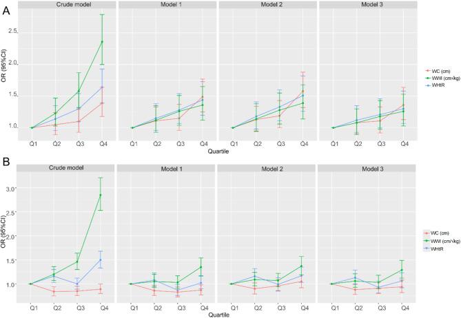
To explore the associations of central obesity indicators including waist circumference (WC), waist-to-height ratio (WHtR), and weight-adjusted waist index (WWI) with the impairment of basic activities of daily living (BADL) and instrumental activities of daily living (IADL) among middle-aged and elderly population in China. This prospective study used baseline data from 2011 and follow-up data, involving 6440 and 9646 participants, respectively. Binary logistic regression analysis was used to assess the relationships. Restricted cubic spline (RCS) curve was also used to analyze the correlation trends. Stratified analyses were performed to identify potential differences. Receiver operating characteristic curves were plotted to evaluate the predictive value of each indicator. WC (OR = 1.01, 95% CI:1.01-1.02), WHtR (OR = 1.21, 95% CI = 1.09-1.33), and WWI (OR = 1.10, 95% CI:1.02-1.19) were significantly associated with BADL impairment. Only WWI (OR = 1.16, 95%CI:1.09-1.23) was associated with IADL impairment. WC, WHtR and WWI were linearly associated with BADL impairment while WWI was linearly associated with IADL impairment. The risk association between WWI and BADL was stronger in drinking individuals and males. In the participants with a BMI less than 24 kg/m² and who had received a high school education or above, the increase in WWI was accompanied by a more significant risk of IADL impairment. The predictive ability of WWI is higher than that of WC and WHtR, with AUC values of 0.597 and 0.615. WWI, as a comprehensive indicator of central obesity, may be useful in comprehensively identifying the risk of early daily living activity impairment among middle-aged and elderly population.

摘要

探索包括腰围(WC)、腰高比(WHtR)和体重校正腰围指数(WWI)在内的中心性肥胖指标与中国中老年人群日常生活基本活动(BADL)和日常生活工具性活动(IADL)受损之间的关联。这项前瞻性研究使用了2011年的基线数据和随访数据,分别涉及6440名和9646名参与者。采用二元逻辑回归分析来评估两者之间的关系。还使用受限立方样条(RCS)曲线分析相关趋势。进行分层分析以确定潜在差异。绘制受试者工作特征曲线以评估每个指标的预测价值。WC(比值比[OR]=1.01,95%置信区间[CI]:1.01 - 1.02)、WHtR(OR = 1.21,95%CI = 1.09 - 1.33)和WWI(OR = 1.10,95%CI:1.02 - 1.19)与BADL受损显著相关。仅WWI(OR = 1.16,95%CI:1.09 - 1.23)与IADL受损相关。WC、WHtR和WWI与BADL受损呈线性相关,而WWI与IADL受损呈线性相关。WWI与BADL之间的风险关联在饮酒者和男性中更强。在体重指数(BMI)小于24kg/m²且接受过高中及以上教育的参与者中,WWI的增加伴随着IADL受损风险的更显著增加。WWI的预测能力高于WC和WHtR,曲线下面积(AUC)值分别为0.597和0.615。WWI作为中心性肥胖的综合指标,可能有助于全面识别中老年人群早期日常生活活动受损的风险。

https://cdn.ncbi.nlm.nih.gov/pmc/blobs/eb4f/12008276/23f9bb92af25/41598_2025_95273_Fig1_HTML.jpg

文献AI研究员

20分钟写一篇综述,助力文献阅读效率提升50倍。

立即体验

用中文搜PubMed

大模型驱动的PubMed中文搜索引擎

马上搜索

文档翻译

学术文献翻译模型,支持多种主流文档格式。

立即体验