Suppr超能文献

考虑动态挠曲电和表面效应的功能梯度压电纳米梁的弯曲和振动行为

Bending and vibration behavior of functionally graded piezoelectric nanobeams considering dynamic flexoelectric and surface effects.

作者信息

Wang Peng, Liu Bai Qiang, Peng Xiao Tong, Gao Feng

机构信息

School of Civil Engineering and Architecture, University of Jinan, Jinan, 250022, China.

出版信息

Sci Rep. 2025 Apr 18;15(1):13439. doi: 10.1038/s41598-025-98080-2.

Abstract

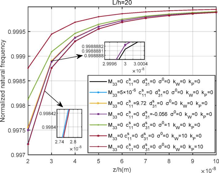
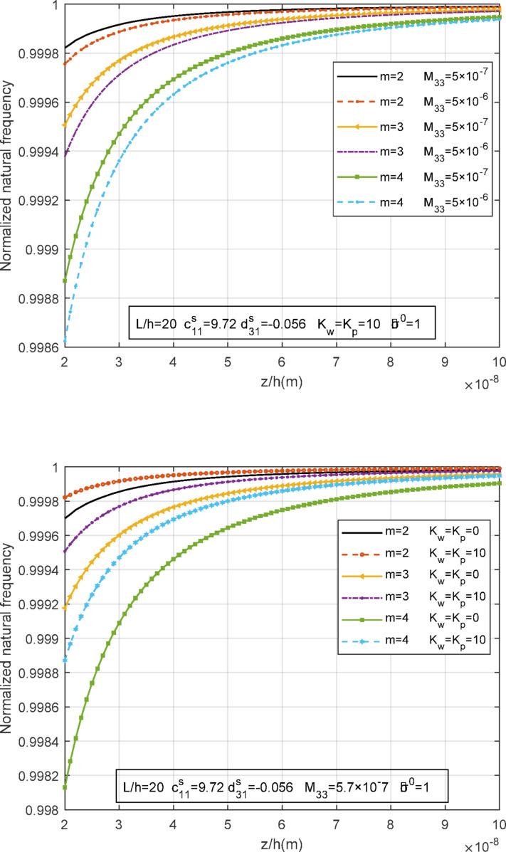
This paper develops a more comprehensive theoretical model for functionally graded material (FGM) piezoelectric nanobeams. The model incorporates a Winkler-Pasternak linear elastic foundation and fully accounts for the effects of dynamic flexoelectric, surface effects, and higher-order electric fields. The purpose of this study is to investigate the bending behavior and free vibration characteristics of Euler-Bernoulli beam models considering functionally graded materials. The governing equations and boundary conditions are produced using Hamilton's variational principle. The Fourier series expansion approach is used to create the analytical solution for the bending problem. Then the analytical equation for the natural frequencies is obtained using the Navier method. The bending performance, electromechanical coupling characteristics, and normalized natural frequencies of FGM piezoelectric nanobeams are all significantly impacted by higher-order electric fields, gradient index, dynamic flexoelectric effects, surface effects, and the Winkler-Pasternak elastic foundation, according to numerical analysis. For the design and optimization of micro/nano energy harvesters and resonators, this paper offers theoretical insights and references.

摘要

本文为功能梯度材料(FGM)压电纳米梁建立了一个更全面的理论模型。该模型纳入了文克勒 - 帕斯特纳克线性弹性基础,并充分考虑了动态挠曲电、表面效应和高阶电场的影响。本研究的目的是研究考虑功能梯度材料的欧拉 - 伯努利梁模型的弯曲行为和自由振动特性。控制方程和边界条件是利用哈密顿变分原理推导出来的。采用傅里叶级数展开法求解弯曲问题的解析解。然后利用纳维方法得到固有频率的解析方程。数值分析表明,高阶电场、梯度指数、动态挠曲电效应、表面效应和文克勒 - 帕斯特纳克弹性基础对功能梯度材料压电纳米梁的弯曲性能、机电耦合特性和归一化固有频率均有显著影响。本文为微/纳米能量收集器和谐振器的设计与优化提供了理论见解和参考。

https://cdn.ncbi.nlm.nih.gov/pmc/blobs/9544/12008216/e075f17d0b0d/41598_2025_98080_Fig1_HTML.jpg

文献AI研究员

20分钟写一篇综述,助力文献阅读效率提升50倍。

立即体验

用中文搜PubMed

大模型驱动的PubMed中文搜索引擎

马上搜索

文档翻译

学术文献翻译模型,支持多种主流文档格式。

立即体验