Suppr超能文献

通过等焓-等压分子动力学模拟高效确定水/冰相图

Efficient Determination of Water/Ice Phase Diagram through Isenthalpic-Isobaric Molecular Dynamics Simulations.

作者信息

Weidmann Arthur Benigno, Mercier Franco Luís Fernando, Sum Amadeu K, Pessôa Filho Pedro de Alcântara

机构信息

Departamento de Engenharia Química, Escola Politécnica, Universidade de São Paulo (USP), Av. Prof. Luciano Gualberto, 380, São Paulo, São Paulo 05508-010, Brazil.

Faculdade de Engenharia Química, Universidade Estadual de Campinas (UNICAMP), Av. Albert Einstein, 500, Campinas, São Paulo 13083-852, Brazil.

出版信息

J Phys Chem B. 2025 May 15;129(19):4871-4877. doi: 10.1021/acs.jpcb.5c01289. Epub 2025 Apr 20.

Abstract

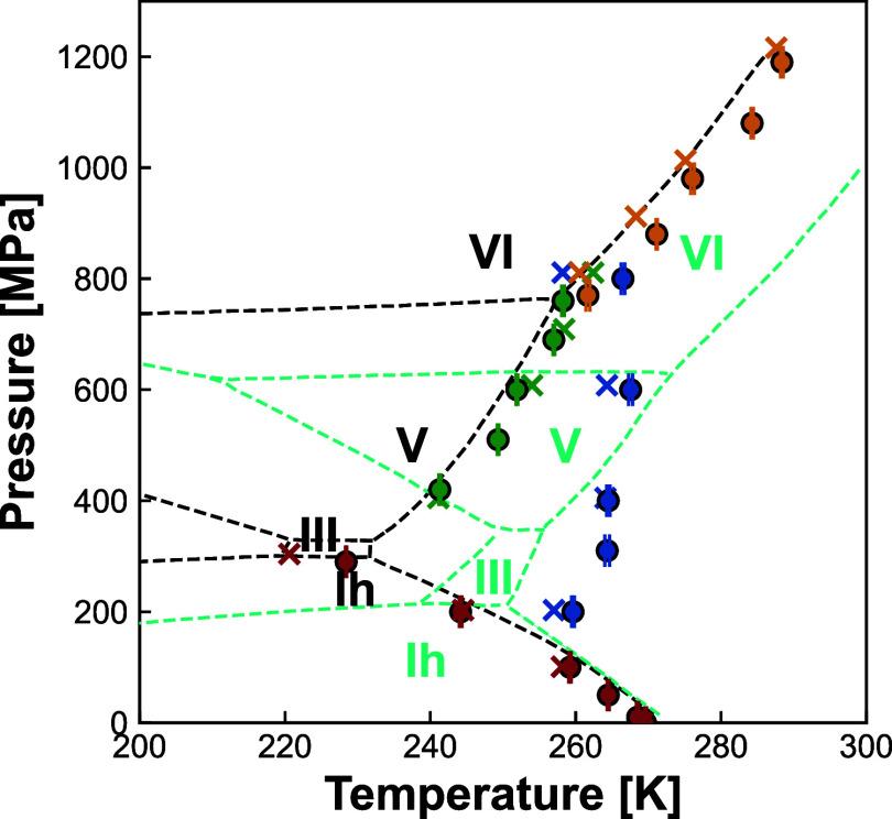
Predicting the water phase diagram is a powerful way to evaluate water models through molecular simulations. Equilibrium points are usually obtained through free energy calculations or direct coexistence simulations in the ensemble. The former can be complex, especially for ice with partial proton order, while the latter can require multiple long and computationally costly simulations. In this work, we report the melting points of ice Ih, III, V, and VI between 0.1 and 1190 MPa through molecular dynamics direct coexistence simulations in the ensemble. Our results are consistent with the original TIP4P/Ice work coexistence lines, except for ice III, for which we report a much larger stability region. Our data agree with recent works, validating this methodology as an alternative to free energy calculations and direct coexistence simulations for high-pressure phases of ice.

摘要

预测水的相图是通过分子模拟评估水模型的一种有效方法。平衡点通常通过自由能计算或在系综中进行直接共存模拟来获得。前者可能很复杂,特别是对于具有部分质子有序的冰,而后者可能需要进行多次长时间且计算成本高昂的模拟。在这项工作中,我们通过在系综中进行分子动力学直接共存模拟,报告了0.1至1190兆帕压力下冰Ih、III、V和VI的熔点。我们的结果与原始的TIP4P/Ice工作共存线一致,但冰III除外,我们报告其具有大得多的稳定区域。我们的数据与近期的研究结果相符,验证了这种方法可作为冰高压相自由能计算和直接共存模拟的替代方法。

https://cdn.ncbi.nlm.nih.gov/pmc/blobs/2fd4/12086842/4a18f6f64db8/jp5c01289_0001.jpg

文献AI研究员

20分钟写一篇综述,助力文献阅读效率提升50倍。

立即体验

用中文搜PubMed

大模型驱动的PubMed中文搜索引擎

马上搜索

文档翻译

学术文献翻译模型,支持多种主流文档格式。

立即体验