Suppr超能文献

基于低频波动特征的静态和动态幅度对学龄前儿童自闭症谱系障碍的早期识别

Early identification of autism spectrum disorder in preschoolers by static and dynamic amplitude of low-frequency fluctuations features.

作者信息

Yu Kanghui, Xu Shoujun, Fu Shishun, Hua Kelei, Yin Yi, Lei Qiang, Liu Jinwu, Wu Yunfan, Jiang Guihua

机构信息

The Second School of Clinical Medicine, Southern Medical University, Guangzhou, China.

Department of Medical Imaging, The Affiliated Guangdong Second Provincial General Hospital of Jinan University, Guangzhou, China.

出版信息

Front Hum Neurosci. 2025 Apr 10;19:1513200. doi: 10.3389/fnhum.2025.1513200. eCollection 2025.

Abstract

OBJECTIVES

Early identification and timely intervention is critical for young children with autism spectrum disorder (ASD). The current study aims to explore potential disparities in static and dynamic intrinsic brain function in preschoolers with ASD, and uncover underlying neural underpinnings that can be used for facilitating the identification of ASD.

MATERIALS AND METHODS

Static and dynamic amplitude of low-frequency fluctuations (ALFF) of 73 ASD preschoolers and 43 age-matched typically developing individuals (TDs) were extracted and compared to identify differences in intrinsic brain local connectivity associated with ASD. The dynamic ALFF (dALFF) utilized a sliding window technique that integrates static ALFF (sALFF) to gauge the variance of local brain activity over time. A receiver operating characteristic (ROC) analysis was conducted to evaluate the potential diagnostic capability of the sALFF and dALFF metrics in identifying ASD.

RESULTS

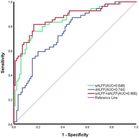
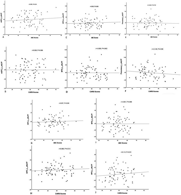
Compared with TDs, ASD preschoolers exhibited lower levels of sALFF in the left middle temporal gyrus, medial orbitofrontal cortex, precuneus and reduced dALFF values in the left inferior orbitofrontal cortex, middle temporal gyrus. ROC analysis indicated that sALFF and dALFF could distinguish preschoolers with ASD from TDs with the areas under the curve (AUC) of 0.848 and 0.744 ( < 0.001), and their combination showed an increased accuracy with the AUC of 0.866 ( < 0.001). Nevertheless, there were no linear correlation between the ALFF values in children with ASD and clinical scales.

CONCLUSION

The findings suggest an association of regional left brain dysfunction with ASD in preschoolers. The values of sALFF and dALFF, particularly in the middle temporal gyrus, could act as possible indicators for the early detection of ASD.

摘要

目的

对于患有自闭症谱系障碍(ASD)的幼儿,早期识别和及时干预至关重要。本研究旨在探讨ASD学龄前儿童静态和动态脑内固有功能的潜在差异,并揭示可用于促进ASD识别的潜在神经基础。

材料与方法

提取73名ASD学龄前儿童和43名年龄匹配的发育正常个体(TDs)的低频振幅(ALFF)的静态和动态值,并进行比较,以确定与ASD相关的脑内局部固有连接差异。动态ALFF(dALFF)采用滑动窗口技术,结合静态ALFF(sALFF)来测量局部脑活动随时间的变化。进行了受试者工作特征(ROC)分析,以评估sALFF和dALFF指标在识别ASD方面的潜在诊断能力。

结果

与TDs相比,ASD学龄前儿童左侧颞中回、眶额内侧皮质、楔前叶的sALFF水平较低,左侧眶额下回、颞中回的dALFF值降低。ROC分析表明,sALFF和dALFF能够将ASD学龄前儿童与TDs区分开来,曲线下面积(AUC)分别为0.848和0.744(P<0.001),两者结合后准确性提高,AUC为0.866(P<0.001)。然而,ASD儿童的ALFF值与临床量表之间无线性相关性。

结论

研究结果表明学龄前儿童ASD与左侧脑区功能障碍有关。sALFF和dALFF值,尤其是颞中回的值,可能作为ASD早期检测的潜在指标。

https://cdn.ncbi.nlm.nih.gov/pmc/blobs/3e23/12018480/0853aaa19d8c/fnhum-19-1513200-g001.jpg

文献AI研究员

20分钟写一篇综述,助力文献阅读效率提升50倍。

立即体验

用中文搜PubMed

大模型驱动的PubMed中文搜索引擎

马上搜索

文档翻译

学术文献翻译模型,支持多种主流文档格式。

立即体验