Suppr超能文献

单乙醇胺与二甘醇单乙醚或甲基二乙醇胺二元溶液的过量性质、傅里叶变换红外光谱分析及一氧化碳吸收性能

Excess Properties, FT-IR Spectral Analysis, and CO Absorption Performance of Monoethanolamine with Diethylene Glycol Monoethyl Ether or Methyldiethanolamine Binary Solutions.

作者信息

Naum Maria Magdalena, Neagu Mihaela, Dumitrescu Vasile

机构信息

Chemistry Department, Petroleum-Gas University of Ploiesti, 100680 Ploiesti, Romania.

Petroleum Refining and Environmental Engineering Department, Petroleum-Gas University of Ploiesti, 100680 Ploiesti, Romania.

出版信息

Molecules. 2025 Mar 29;30(7):1523. doi: 10.3390/molecules30071523.

Abstract

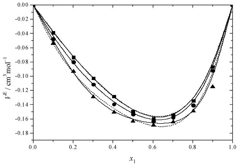
In this study, densities and viscosities of the binary solutions of monoethanolamine with diethylene glycol monoethyl ether or methyldiethanolamine were determined at 293.15, 298.15, and 303.15 K and = 100.5 kPa. The experimental density data were tested with different equations as a function of composition (Belda and Herraez equations) and as a function of temperature and composition (Emmerling et al. and Gonzalez-Olmos-Iglesias equations). The results show that the Herraez and Emmerling et al. equations best correlate the experimental data. The experimental values of viscosity were tested with different models based on one, two, three, or four parameters. The values of excess molar volume (), viscosity deviation (Δ), and excess Gibbs energy (Δ*) were calculated from the experimental values and were fitted to the polynomial equations. The values of the excess molar volume are negative for both systems, while positive values were obtained for the viscosity deviation and excess Gibbs activation energy. The values of thermodynamic functions of activation of viscous flow were determined and discussed. The Fourier transform infrared spectroscopy (FT-IR) spectra of the binary solutions analyzed in this study enabled the understanding of the interactions among the molecules in these solutions. In addition, the CO absorption capacity of the binary solutions of monoethanolamine with diethylene glycol monoethyl ether or methyldiethanolamine was determined experimentally.

摘要

在本研究中,测定了单乙醇胺与二甘醇单乙醚或甲基二乙醇胺二元溶液在293.15、298.15和303.15 K以及 = 100.5 kPa下的密度和粘度。实验密度数据用不同方程作为组成的函数(贝尔达和埃雷亚斯方程)以及作为温度和组成的函数(埃默林等人和冈萨雷斯 - 奥尔莫斯 - 伊格莱西亚斯方程)进行了测试。结果表明,埃雷亚斯方程和埃默林等人的方程与实验数据的相关性最佳。粘度的实验值用基于一、二、三或四个参数的不同模型进行了测试。由实验值计算出过量摩尔体积()、粘度偏差(Δ)和过量吉布斯自由能(Δ*)的值,并将其拟合到多项式方程中。两个体系的过量摩尔体积值均为负,而粘度偏差和过量吉布斯活化能的值为正。确定并讨论了粘性流动活化的热力学函数值。本研究中分析的二元溶液的傅里叶变换红外光谱(FT - IR)光谱有助于理解这些溶液中分子间的相互作用。此外,还通过实验测定了单乙醇胺与二甘醇单乙醚或甲基二乙醇胺二元溶液的CO吸收容量。

https://cdn.ncbi.nlm.nih.gov/pmc/blobs/b0f4/11990135/9eb302778f58/molecules-30-01523-g001.jpg

文献AI研究员

20分钟写一篇综述,助力文献阅读效率提升50倍。

立即体验

用中文搜PubMed

大模型驱动的PubMed中文搜索引擎

马上搜索

文档翻译

学术文献翻译模型,支持多种主流文档格式。

立即体验