Zhang Kelei, Yao Junlong, Zhu Fangju, Gao Yuan, Gu Yixi, Guo Yani, Sun Yimin, An Yu
Hubei Key Laboratory of Plasma Chemistry and Advanced Materials, School of Materials Science and Engineering, Wuhan Institute of Technology, Wuhan 430205, China.
Zolia Quartz Stone Co., Ltd., Macheng 438300, China.
Molecules. 2025 Apr 2;30(7):1596. doi: 10.3390/molecules30071596.
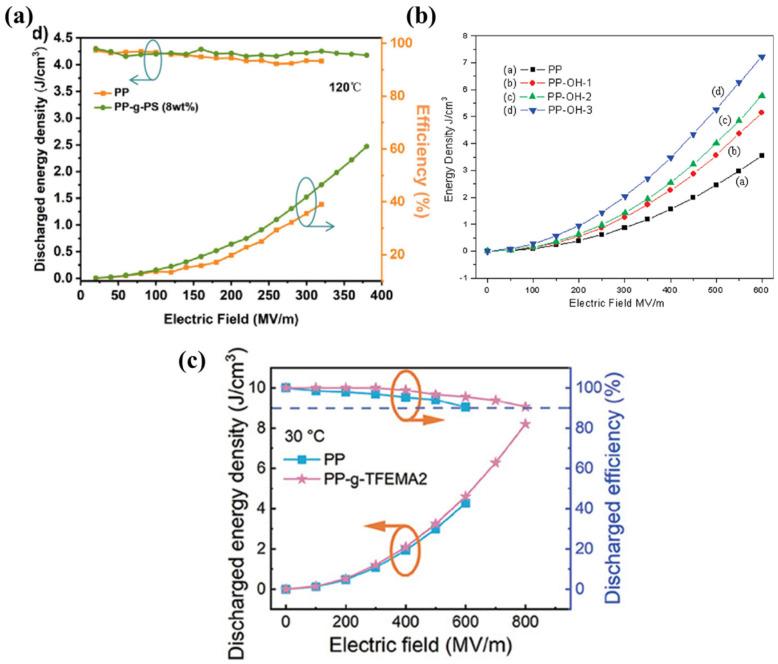
Energy storage polymers are critical to modern microelectronics, electric vehicles, and wearable devices. Capacitor energy storage devices are the focus of contemporary research, with film dielectric capacitors being the focus of mainstream research. Research on polymers-particularly polypropylene-has yielded numerous innovations, but their energy storage performance and breakdown resistance under extreme conditions remain unsatisfactory. Numerous reports have proposed various solutions, but systematic reviews, classifications, and investigations regarding the effects of processing on polypropylene films remain lacking. This study collects and organizes the latest research reports on dielectric-related polypropylene films with the aim of addressing this issue by providing a comprehensive review of the research on polypropylene thin film materials that exhibit high dielectric stability and high energy storage density under extreme conditions. These conditions include mixing and doping, surface modification, designing new molecular structures, and constructing multilayers. This study analyzes how polypropylene's dielectric properties can be enhanced. It reviews the impacts of processing on the dielectric properties of biaxially oriented polypropylene and the underlying mechanisms. The paper is concluded with a summary of the current research progress and shortcomings in industrial production and performance, as well as discussions of future prospects. It offers valuable references for enhancing the dielectric properties of biaxially oriented polypropylene films and optimizing film processing.
储能聚合物对现代微电子、电动汽车和可穿戴设备至关重要。电容器储能设备是当代研究的重点,其中薄膜介质电容器是主流研究方向。对聚合物尤其是聚丙烯的研究已经产生了众多创新成果,但其在极端条件下的储能性能和耐击穿性仍不尽人意。众多报告提出了各种解决方案,但对于加工对聚丙烯薄膜影响的系统综述、分类和研究仍很缺乏。本研究收集并整理了有关介电相关聚丙烯薄膜的最新研究报告,旨在通过全面综述在极端条件下表现出高介电稳定性和高储能密度的聚丙烯薄膜材料的研究来解决这一问题。这些条件包括混合与掺杂、表面改性、设计新的分子结构以及构建多层结构。本研究分析了如何提高聚丙烯的介电性能。它综述了加工对双向拉伸聚丙烯介电性能的影响及其潜在机制。论文最后总结了当前的研究进展以及工业生产和性能方面的不足,并讨论了未来前景。它为提高双向拉伸聚丙烯薄膜的介电性能和优化薄膜加工提供了有价值的参考。