Suppr超能文献

通过鸟枪法蛋白质组学分析外周血单个核细胞蛋白质组可鉴定青光眼患者免疫系统成分、蛋白水解平衡、自噬和线粒体代谢的改变。

Profiling of the Peripheral Blood Mononuclear Cells Proteome by Shotgun Proteomics Identifies Alterations of Immune System Components, Proteolytic Balance, Autophagy, and Mitochondrial Metabolism in Glaucoma Subjects.

作者信息

Giammaria Sara, Pandino Irene, Zingale Gabriele Antonio, Atzori Maria Grazia, Cavaterra Dario, Cecere Michela, Michelessi Manuele, Roberti Gloria, Tanga Lucia, Carnevale Carmela, Vercellin Alice Verticchio, Siesky Brent, Harris Alon, Grasso Giuseppe, Bocedi Alessio, Coletta Massimiliano, Tundo Grazia Raffaella, Oddone Francesco, Sbardella Diego

机构信息

IRCCS Fondazione Bietti, Via Livenza, 3, Rome 00198, Italy.

Department of Chemical Sciences and Technologies, University of Rome Tor Vergata, Via della Ricerca Scientifica 1, Rome 00133, Italy.

出版信息

ACS Omega. 2025 Apr 9;10(15):14866-14883. doi: 10.1021/acsomega.4c10035. eCollection 2025 Apr 22.

Abstract

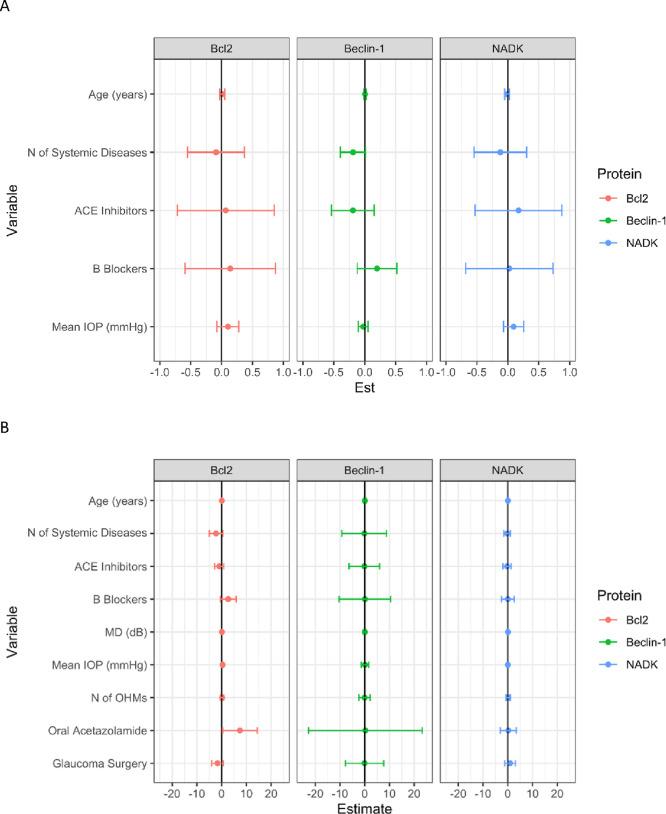
Glaucoma is a chronic optic neuropathy and is the second cause of irreversible blindness worldwide. Although the pathogenesis of the disease is not fully understood, the death of retinal ganglion cells and degeneration of the optic nerve are likely promoted by a combination of local and systemic factors. Growing attention has been paid to nonintraocular pressure risk factors, including mechanisms of inflammation and neuroinflammation. Phenotypical and molecular alterations of circulating immune cells, in particular, lymphocyte subsets, have been documented in murine models of glaucoma and in human subjects. Very recently, oxygen consumption rate and nicotinamide adenine dinucleotide levels of human peripheral blood mononuclear cells (PBMC) have been proposed as biomarkers of disease progression, thus suggesting that immune cells of glaucoma subjects present severe molecular and metabolic alterations. In this framework, this pilot study aimed to be the first to characterize global proteome perturbations of PBMC of patients with primary open-angle glaucoma (POAG) compared to nonglaucomatous controls (control) by shotgun proteomics. The approach identified >4,500 proteins and a total of 435 differentially expressed proteins between POAG and control subjects. Clustering and rationalization of proteomic data sets and immunodetection of selected proteins by Western blotting highlighted significant alterations of immune system compartments (i.e., complement factors, regulators of immune functions, and lymphocyte activation) and pathways serving key roles for immune system such as proteolysis (i.e., matrix metalloproteinases and their inhibitors), autophagy (i.e., beclin-1 and LC3B), cell proliferation (Bcl2), mitochondrial (i.e., sirtuin), and energetic/redox metabolism (i.e., NADK). Based on these findings, this proteomic study suggests that circulating immune cells suffer from heterogeneous alterations of central pathways involved in cell metabolism and homeostasis. Larger, properly designed studies are required to confirm specifically how immune cellular alterations may be involved in the pathogenesis of both neuroinflammation and glaucomatous disease.

摘要

青光眼是一种慢性视神经病变,是全球不可逆性失明的第二大原因。尽管该疾病的发病机制尚未完全明确,但视网膜神经节细胞的死亡和视神经的退变可能是由局部和全身因素共同作用所致。人们越来越关注非眼压危险因素,包括炎症和神经炎症机制。在青光眼的小鼠模型和人类受试者中,已记录到循环免疫细胞,特别是淋巴细胞亚群的表型和分子改变。最近,有人提出人类外周血单个核细胞(PBMC)的耗氧率和烟酰胺腺嘌呤二核苷酸水平可作为疾病进展的生物标志物,这表明青光眼患者的免疫细胞存在严重的分子和代谢改变。在此背景下,这项初步研究旨在首次通过鸟枪法蛋白质组学对原发性开角型青光眼(POAG)患者与非青光眼对照者(对照组)的PBMC进行整体蛋白质组扰动特征分析。该方法鉴定出4500多种蛋白质,POAG患者与对照者之间共有435种差异表达蛋白质。蛋白质组数据集的聚类和合理化分析以及通过蛋白质免疫印迹法对选定蛋白质进行免疫检测,突出了免疫系统组成部分(即补体因子、免疫功能调节剂和淋巴细胞活化)以及对免疫系统起关键作用的通路(如蛋白水解,即基质金属蛋白酶及其抑制剂;自噬,即Beclin-1和LC3B;细胞增殖,即Bcl2;线粒体,即sirtuin;以及能量/氧化还原代谢,即NADK)的显著改变。基于这些发现,这项蛋白质组学研究表明,循环免疫细胞存在参与细胞代谢和体内平衡的核心通路的异质性改变。需要开展更大规模、设计合理的研究,以具体确认免疫细胞改变如何可能参与神经炎症和青光眼疾病的发病机制。

https://cdn.ncbi.nlm.nih.gov/pmc/blobs/79a4/12019430/348b16897e8c/ao4c10035_0001.jpg

文献检索

告别复杂PubMed语法,用中文像聊天一样搜索,搜遍4000万医学文献。AI智能推荐,让科研检索更轻松。

立即免费搜索

文件翻译

保留排版,准确专业,支持PDF/Word/PPT等文件格式,支持 12+语言互译。

免费翻译文档

深度研究

AI帮你快速写综述,25分钟生成高质量综述,智能提取关键信息,辅助科研写作。

立即免费体验