Suppr超能文献

放学后在路边和公园路线行走后的气道炎症反应:一项真实世界交叉研究。

Airway Inflammation Responses to Walking Roadside and Park Routes After School: A Real-World Crossover Study.

作者信息

Moloney Scarlett, Devereux Gavin

机构信息

School of Allied Health Sciences, University of Suffolk, Ipswich, UK.

Cambridge Centre for Sport and Exercise Sciences, School of Psychology and Sport Science, Anglia Ruskin University, Cambridge, UK.

出版信息

Eur J Sport Sci. 2025 May;25(5):e12280. doi: 10.1002/ejsc.12280.

Abstract

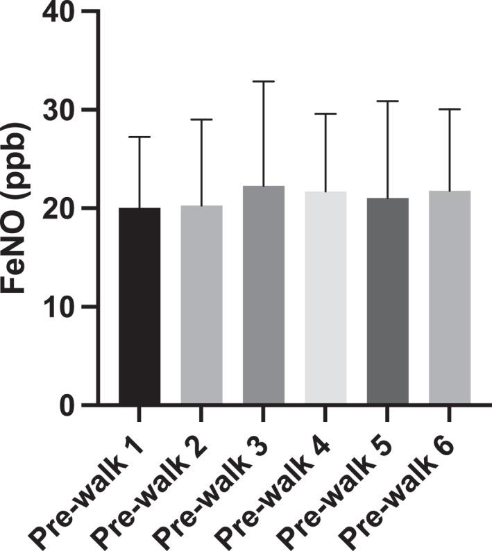
Active travel to and from school is encouraged as a form of daily exercise. However, a significant proportion of children's pollution exposure has been attributed to this time due to road traffic volume. We investigated fractional exhaled nitric oxide (FeNO) responses in children walking roadside and park routes after school. 18 children (9.6 ± 1.0 years) completed six 30 min walks immediately after a school day (three in each environment). FeNO was measured before and after, with pollution concentrations measured during each walk. FeNO was reduced following roadside (20.87 ± 17.14 vs. 18.96 ± 15.63 ppb and p = 0.006) and park walks (19.13 ± 2.22 vs. 16.60 ± 2.74 ppb and p < 0.001). The reductions were not different between the two environments. The ICC for all pre-walk FeNO was good (0.882 95% CI: 0.792, 0.947). Measured PM (5.9 ± 2.2 vs. 6.5 ± 2.6 μg/m), PM (14.9 ± 11.9 vs. 14.8 ± 8.1 μg/m) and VOCs (132 ± 91 vs. 80 ± 50 ppb) were not different between roadside and park conditions, respectively. Modest reductions in FeNO after walking suggest a normal response to light to moderate intensity exercise. The similar responses for roadside and park environments suggest that the benefits of active travel outweigh potential risk of pollution exposure where pollution concentrations are below current World Health Organisation thresholds. FeNO can also be reliably measured at the end of a school day with little direct control of behaviour in the hours before measurement.

摘要

鼓励孩子上下学采用主动出行的方式作为日常锻炼的一种形式。然而,由于道路交通流量,很大一部分儿童的污染暴露发生在这个时间段。我们调查了放学后走在路边和公园路线上的儿童的呼出气一氧化氮分数(FeNO)反应。18名儿童(9.6±1.0岁)在放学后立即完成了六次30分钟的步行(每种环境各三次)。在步行前后测量FeNO,并在每次步行期间测量污染浓度。路边步行后FeNO降低(20.87±17.14对18.96±15.63 ppb,p = 0.006),公园步行后也降低(19.13±2.22对16.60±2.74 ppb,p < 0.001)。两种环境下的降低幅度没有差异。所有步行前FeNO的组内相关系数(ICC)良好(0.882,95%置信区间:0.792,0.947)。路边和公园环境下测量的细颗粒物(PM)(5.9±2.2对6.5±2.6μg/m)、可吸入颗粒物(PM)(14.9±11.9对14.8±8.1μg/m)和挥发性有机化合物(VOCs)(132±91对80±50 ppb)分别没有差异。步行后FeNO的适度降低表明对轻度至中度强度运动的正常反应。路边和公园环境的类似反应表明,在污染浓度低于世界卫生组织当前阈值的情况下,主动出行的益处超过了污染暴露的潜在风险。在放学时也可以可靠地测量FeNO,且在测量前几个小时对行为几乎没有直接控制。

https://cdn.ncbi.nlm.nih.gov/pmc/blobs/55f1/12043001/5802bf5af382/EJSC-25-e12280-g002.jpg

文献AI研究员

20分钟写一篇综述,助力文献阅读效率提升50倍。

立即体验

用中文搜PubMed

大模型驱动的PubMed中文搜索引擎

马上搜索

文档翻译

学术文献翻译模型,支持多种主流文档格式。

立即体验