Suppr超能文献

微生物方法很重要:利用叶片生物膜埋藏学数据集识别微生物组去噪流程之间的差异。

Microbial methods matter: Identifying discrepancies between microbiome denoising pipelines using a leaf biofilm taphonomic dataset.

作者信息

Palmer Brianne, Karačić Sabina, Bierbaum Gabriele, Gee Carole T

机构信息

Division of Paleontology Bonn Institute of Organismic Biology Nussallee 8, 53115 Bonn Germany.

Institute of Medical Microbiology, Immunology and Parasitology, University Clinic of Bonn, University of Bonn Venusberg-Campus 1, 53127 Bonn Germany.

出版信息

Appl Plant Sci. 2025 Jan 8;13(2):e11628. doi: 10.1002/aps3.11628. eCollection 2025 Mar-Apr.

Abstract

PREMISE

The occurrence of different microorganisms on aquatic macrophyte fossils suggests that biofilm microbes may facilitate leaf preservation. Understanding the impact of microorganisms on leaf preservation requires studies on living plants coupled with microbial amplicon sequencing. Choosing the most suitable bioinformatic pipeline is pivotal to accurate data interpretation, as it can lead to considerably different estimations of microbial community composition.

METHODS

We analyze biofilms from floating and submerged leaves of and and mock communities using primers for the 16S ribosomal RNA (rRNA), 18S rRNA, and ITS amplicon regions and compare the microbial community compositions derived from three bioinformatic pipelines: DADA2, Deblur, and UNOISE.

RESULTS

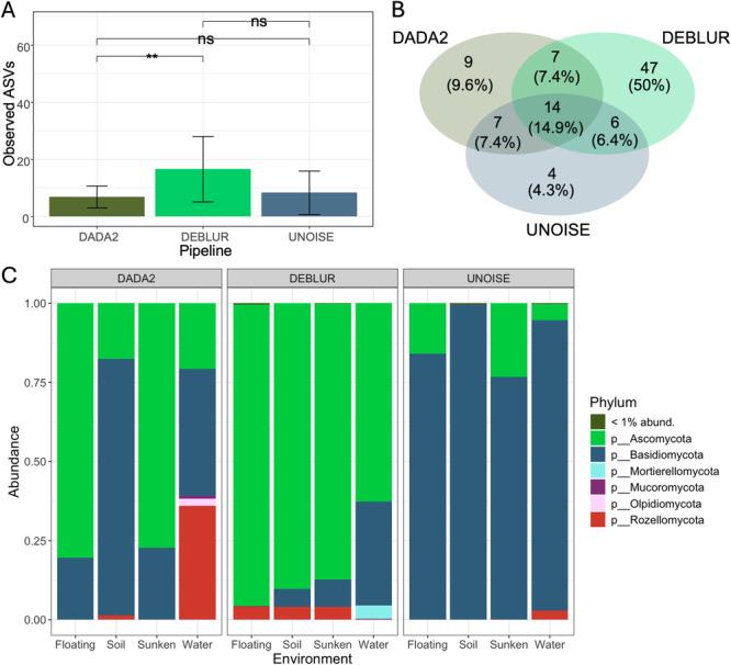
The choice of denoiser alters the total number of sequences identified and differs in the identified taxa. Results from all three denoising pipelines show that the leaf microbial communities differed between depths and that the effect of the environment varied depending on the amplicon region.

DISCUSSION

Considering the performance of denoising algorithms and the identification of amplicon sequence variants (ASVs), we recommend DADA2 for analyzing 16S rRNA and 18S rRNA. For the ITS region, the choice is more nuanced, as Deblur identified the most ASVs and was compositionally similar to DADA2.

摘要

前提

水生大型植物化石上不同微生物的出现表明生物膜微生物可能有助于叶片保存。了解微生物对叶片保存的影响需要对活体植物进行研究并结合微生物扩增子测序。选择最合适的生物信息学流程对于准确的数据解释至关重要,因为它可能导致对微生物群落组成的估计有很大差异。

方法

我们使用针对16S核糖体RNA(rRNA)、18S rRNA和ITS扩增子区域的引物,分析了[植物名称]漂浮叶和沉水叶以及模拟群落的生物膜,并比较了来自三种生物信息学流程(DADA2、Deblur和UNOISE)的微生物群落组成。

结果

去噪器的选择改变了鉴定出的序列总数,并且在鉴定出的分类群方面也有所不同。所有三种去噪流程的结果表明,叶片微生物群落在不同深度之间存在差异,并且环境的影响因扩增子区域而异。

讨论

考虑到去噪算法的性能和扩增子序列变体(ASV)的鉴定,我们建议使用DADA2分析16S rRNA和18S rRNA。对于ITS区域,选择更为微妙,因为Deblur鉴定出的ASV最多,并且在组成上与DADA2相似。

https://cdn.ncbi.nlm.nih.gov/pmc/blobs/1996/12038747/a80a75211f73/APS3-13-e11628-g006.jpg

文献AI研究员

20分钟写一篇综述,助力文献阅读效率提升50倍。

立即体验

用中文搜PubMed

大模型驱动的PubMed中文搜索引擎

马上搜索

文档翻译

学术文献翻译模型,支持多种主流文档格式。

立即体验