Suppr超能文献

急性A型主动脉夹层的临床表现、治疗及临床结局:性别有影响吗?

Presentation, management, and clinical outcomes of acute type A dissection: Does sex matter?

作者信息

Meccanici Frederike, Thijssen Carlijn G E, Gökalp Arjen L, van Wijngaarden Marie H E J, Bierhuizen Mark F A, Custers Guy F, Evers Jort, de Veld Jolien A, Notenboom Maximiliaan L, Geuzebroek Guillaume S C, Ter Woorst Joost F J, Sjatskig Jelena, Heijmen Robin H, Mokhles Mostafa M, van Kimmenade Roland R J, Bekkers Jos A, Takkenberg Johanna J M, Roos-Hesselink Jolien W

机构信息

Department of Congenital Cardiology, Erasmus MC, Rotterdam, The Netherlands.

Department of Cardiothoracic Surgery, Utrecht University Medical Center, Utrecht, The Netherlands.

出版信息

JTCVS Open. 2024 Dec 16;24:47-57. doi: 10.1016/j.xjon.2024.12.006. eCollection 2025 Apr.

Abstract

BACKGROUND

Male-female differences in clinical presentation, management, and outcomes of acute type A aortic dissection (AD-A) have been reported; however, robust data are scarce. This study examined those differences.

METHODS

Consecutive adults diagnosed with AD-A between 2007 and 2017 in 4 referral centers were included retrospectively. Baseline data, operative characteristics, and mortality and morbidity during follow-up were collected using patient files, questionnaires, and referral information.

RESULTS

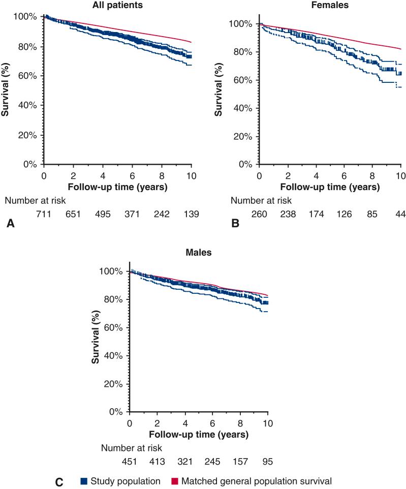
The study included 889 patients (37.5% female). Females were significantly older at presentation (median, 67.0 [interquartile range [IQR], 59.0-75.0] years vs 61.0 [IQR, 53.0-69.0] years;  < .001) and more often had cardiovascular comorbidities. Severe hypotension, tamponade, and nausea were more frequently observed in females. Short-term mortality was 18.5% in females and 21.2% in males ( = .362). No significant differences in treatment between males and females were observed. After surgery, the median follow-up was 6.2 years (IQR, 3.5-9.2 years). Overall 10-year survival was 50.1% (95% confidence interval [CI], 43.6%-57.6%) in females and 62.8% (95% CI, 58.1%-67.9%) in males ( = .009), although this difference was not significant after multivariable correction. Compared to the matched general population, survival was lower than expected in females and comparable to expected in males. The long-term reintervention rate in surgically treated survivors was comparable between males and females (2.1%/patient-year). Male- and female-specific risk factors for long term mortality were identified.

CONCLUSIONS

These findings highlight a distinct clinical profile at presentation with AD-A between males and females, while treatment approach and short-term mortality were comparable. The relatively poor long-term survival in females and male-/female-specific risk stratification warrant further investigation.

摘要

背景

已有报道称急性A型主动脉夹层(AD-A)在临床表现、治疗及预后方面存在性别差异;然而,确凿的数据却很匮乏。本研究对这些差异进行了调查。

方法

回顾性纳入2007年至2017年间在4个转诊中心诊断为AD-A的连续成年患者。通过患者档案、问卷及转诊信息收集基线数据、手术特征以及随访期间的死亡率和发病率。

结果

该研究纳入了889例患者(37.5%为女性)。女性发病时年龄显著更大(中位数,67.0[四分位间距(IQR),59.0 - 75.0]岁对61.0[IQR,53.0 - 69.0]岁;<0.001),且更常伴有心血管合并症。女性更频繁地出现严重低血压、心包填塞及恶心症状。女性短期死亡率为18.5%,男性为21.2%(=0.362)。未观察到男性和女性在治疗方面的显著差异。术后,中位随访时间为6.2年(IQR,3.5 - 9.2年)。女性总体10年生存率为50.1%(95%置信区间[CI],43.6% - 57.6%),男性为62.8%(95%CI,58.1% - 67.9%)(=0.009),尽管在多变量校正后这种差异并不显著。与匹配的普通人群相比,女性生存率低于预期,男性则与预期相当。手术治疗存活者的长期再次干预率在男性和女性之间相当(2.1%/患者年)。确定了男性和女性长期死亡率的特定风险因素。

结论

这些发现凸显了AD-A患者发病时男性和女性不同的临床特征,而治疗方法和短期死亡率相当。女性相对较差的长期生存率以及男性/女性特定的风险分层值得进一步研究。

https://cdn.ncbi.nlm.nih.gov/pmc/blobs/729a/12039451/3ca646129bd2/fx1.jpg

文献检索

告别复杂PubMed语法,用中文像聊天一样搜索,搜遍4000万医学文献。AI智能推荐,让科研检索更轻松。

立即免费搜索

文件翻译

保留排版,准确专业,支持PDF/Word/PPT等文件格式,支持 12+语言互译。

免费翻译文档

深度研究

AI帮你快速写综述,25分钟生成高质量综述,智能提取关键信息,辅助科研写作。

立即免费体验