Chacón-Fuentes Manuel, Burgos-Díaz César, Opazo-Navarrete Mauricio, Mercado Alan, Westermeyer Fernando
Agriaquaculture Nutritional Genomic Center, CGNA, Temuco 4780000, Chile.
Molecules. 2025 Apr 20;30(8):1849. doi: 10.3390/molecules30081849.
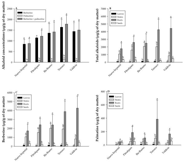
, known for its bioactive alkaloids like berberine and palmatine, has gained attention for its medicinal properties. However, comprehensive studies on the specific bioactive molecules of Michay are lacking, as previous research has primarily focused on wild plants. Therefore, this study proposes to evaluate the alkaloid content in various tissues of collected from different locations, aiming to identify high-yielding accessions suitable for consistent bioactive alkaloid production. This research focuses on plants from a cultivated Michay orchard established five years ago. Leaves, stems, roots, and fruits from 96 accessions of Michay were collected to obtain an alkaloidal extract used for the characterization and comprehensive analysis of bioactive alkaloids through high-performance liquid chromatography. Based on these results, a search for the main outliers was conducted to identify the accessions with the highest alkaloid production. The results showed that roots had the highest concentrations of both berberine and palmatine, followed by stems, while leaves and seeds had lower levels, and the pulp from fruits had no detectable alkaloids. Notably, alkaloid concentrations reached up to 30,806 µg/g in roots, with accession C2P18 standing out for its combined total of 20,827.74 µg/g of berberine and 9978.27 µg/g of palmatine. Accession C3P26 showed the highest berberine concentration at 26,482.20 µg/g. These values underscore the wide variation in alkaloid accumulation and highlight the potential for selecting elite accessions with exceptionally high yields. These findings highlight the importance of plant selection for optimal alkaloid extraction. Choosing high-yielding accessions and standardizing cultivation practices will ensure a stable supply of berberine and palmatine for pharmaceutical, nutraceutical, and food industry applications.
因其含有小檗碱和巴马汀等生物活性生物碱而闻名,其药用特性备受关注。然而,由于先前的研究主要集中在野生植物上,因此缺乏对米查伊特定生物活性分子的全面研究。因此,本研究建议评估从不同地点收集的米查伊各种组织中的生物碱含量,旨在鉴定适合持续生产生物活性生物碱的高产种质。本研究聚焦于五年前建立的人工种植米查伊果园中的植物。收集了96份米查伊种质的叶、茎、根和果实,以获得生物碱提取物,用于通过高效液相色谱法对生物活性生物碱进行表征和综合分析。基于这些结果,进行了主要离群值搜索,以鉴定生物碱产量最高的种质。结果表明,根中黄连素和巴马汀的浓度最高,其次是茎,而叶和种子中的含量较低,果实果肉中未检测到生物碱。值得注意的是,根中的生物碱浓度高达30806μg/g,种质C2P18的黄连素总量为20827.74μg/g,巴马汀为9978.27μg/g,表现突出。种质C3P26的黄连素浓度最高,为26482.20μg/g。这些数值强调了生物碱积累的广泛差异,并突出了选择高产优质种质的潜力。这些发现凸显了选择合适植物以实现最佳生物碱提取的重要性。选择高产种质并规范种植实践将确保为制药、营养保健品和食品工业应用稳定供应黄连素和巴马汀。