• 文献检索
  • 文档翻译
  • 深度研究
  • 学术资讯
  • Suppr Zotero 插件Zotero 插件
  • 邀请有礼
  • 套餐&价格
  • 历史记录
应用&插件
Suppr Zotero 插件Zotero 插件浏览器插件Mac 客户端Windows 客户端微信小程序
定价
高级版会员购买积分包购买API积分包
服务
文献检索文档翻译深度研究API 文档MCP 服务
关于我们
关于 Suppr公司介绍联系我们用户协议隐私条款
关注我们

Suppr 超能文献

核心技术专利:CN118964589B侵权必究
粤ICP备2023148730 号-1Suppr @ 2026

文献检索

告别复杂PubMed语法,用中文像聊天一样搜索,搜遍4000万医学文献。AI智能推荐,让科研检索更轻松。

立即免费搜索

文件翻译

保留排版,准确专业,支持PDF/Word/PPT等文件格式,支持 12+语言互译。

免费翻译文档

深度研究

AI帮你快速写综述,25分钟生成高质量综述,智能提取关键信息,辅助科研写作。

立即免费体验

应变弹性成像技术用于检测晚期Fontan相关肝病:一项回顾性研究。

Strain elastography for detecting advanced Fontan-associated liver disease: a retrospective study.

作者信息

Imoto Koji, Goya Takeshi, Azuma Yuki, Hioki Tomonobu, Aoyagi Tomomi, Nagata Hazumu, Nishizaki Akiko, Kakino Takamori, Ishikita Ayako, Yamamura Kenichiro, Sakamoto Ichiro, Tanaka Masatake, Abe Kohtaro, Ogawa Yoshihiro

机构信息

Department of Medicine and Bioregulatory Science, Graduate School of Medical Sciences , Kyushu University, 3-1-1 Maidashi, Higashi-Ku, Fukuoka, 812-8582, Japan.

Department of Pediatrics, Graduate School of Medical Sciences, Kyushu University, 3-1-1 Maidashi, Higashi-Ku, Fukuoka, 812-8582, Japan.

出版信息

BMC Gastroenterol. 2025 May 8;25(1):341. doi: 10.1186/s12876-025-03965-1.

DOI:10.1186/s12876-025-03965-1
PMID:40335907
原文链接:https://pmc.ncbi.nlm.nih.gov/articles/PMC12060409/
Abstract

BACKGROUND

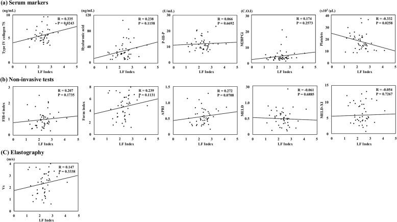
The Fontan procedure has improved the prognosis of patients with a functional single ventricle; however, late complications-including Fontan-associated liver disease (FALD)-have surfaced as clinical concerns. FALD with signs of portal hypertension has been defined as advanced FALD (aFALD) due to its poor prognosis. Recently, noninvasive tests (NITs) have been found to predict liver fibrosis in FALD. Liver stiffness measurement excluding strain elastography (SE) was affected by hepatic congestion; however, to our knowledge, not many studies have evaluated the SE-derived Liver Fibrosis Index (LFI). This study aimed to determine the efficacy of NITs, especially LFI, for discriminating aFALD.

METHODS

In this retrospective study, 46 Japanese patients with FALD were included and classified into the aFALD (33 patients; 22 males and 11 females; median age: 28.0 years) and non-aFALD (13 patients; seven males and six females; median age: 22.0 years) groups based on the presence/absence of signs of portal hypertension.

RESULTS

The platelet count, FIB-4 index, Forns index, and LFI differed significantly between the two groups and demonstrated moderate accuracy for discriminating aFALD. The shear wave velocity (Vs) measured by Shear Wave Elastography (SWE) did not differ significantly between the two groups. The cut-off value of platelet counts below 185 × 10/μL had 78.8% sensitivity and 92.3% specificity. While 25/26 (96.2%) of the patients with FALD who had platelet counts below 185 × 10/μL were aFALD, 8/20 (40.0%) of the patients with FALD who had platelet counts above below 185 × 10/μL were also aFALD, indicating the need for additional markers. In the patients with FALD who had platelet counts above 185 × 10/μL, only SE indicated moderate diagnostic accuracy, and the LFI cut-off value of 2.21 had 100% sensitivity and 75.0% specificity.

CONCLUSIONS

Using a two-step approach, discriminating aFALD with platelet counts below 185 × 10/μL by platelets alone, and for those with higher platelet counts, requiring LFI > 2.21 could discriminate aFALD with high accuracy. Early detection of aFALD and early intervention, including testing for aFALD, may lead to an improved prognosis of aFALD.

摘要

背景

Fontan手术改善了功能性单心室患者的预后;然而,包括Fontan相关肝病(FALD)在内的晚期并发症已成为临床关注的问题。伴有门静脉高压体征的FALD因其预后不良被定义为晚期FALD(aFALD)。最近,已发现非侵入性检查(NITs)可预测FALD中的肝纤维化。排除应变弹性成像(SE)的肝脏硬度测量受肝充血影响;然而,据我们所知,评估基于SE的肝脏纤维化指数(LFI)的研究不多。本研究旨在确定NITs,尤其是LFI,对鉴别aFALD的有效性。

方法

在这项回顾性研究中,纳入了46例日本FALD患者,并根据是否存在门静脉高压体征分为aFALD组(33例患者;22例男性和11例女性;中位年龄:28.0岁)和非aFALD组(13例患者;7例男性和6例女性;中位年龄:22.0岁)。

结果

两组间血小板计数、FIB-4指数、Forns指数和LFI有显著差异,并显示出鉴别aFALD的中等准确性。剪切波弹性成像(SWE)测量的剪切波速度(Vs)在两组间无显著差异。血小板计数低于185×10/μL的临界值具有78.8%的敏感性和92.3%的特异性。虽然血小板计数低于185×10/μL的FALD患者中有25/26(96.2%)为aFALD,但血小板计数高于185×10/μL的FALD患者中有8/20(40.0%)也是aFALD,这表明需要其他标志物。在血小板计数高于185×10/μL的FALD患者中,只有SE显示出中等诊断准确性,LFI临界值2.21具有100%的敏感性和75.0%的特异性。

结论

采用两步法,仅通过血小板鉴别血小板计数低于185×10/μL的aFALD,对于血小板计数较高的患者,要求LFI>2.21可高精度鉴别aFALD。早期检测aFALD并进行早期干预,包括检测aFALD,可能会改善aFALD的预后。

https://cdn.ncbi.nlm.nih.gov/pmc/blobs/db01/12060409/2302629b9bd4/12876_2025_3965_Fig2_HTML.jpg
https://cdn.ncbi.nlm.nih.gov/pmc/blobs/db01/12060409/88e3141eb6dd/12876_2025_3965_Fig1_HTML.jpg
https://cdn.ncbi.nlm.nih.gov/pmc/blobs/db01/12060409/2302629b9bd4/12876_2025_3965_Fig2_HTML.jpg
https://cdn.ncbi.nlm.nih.gov/pmc/blobs/db01/12060409/88e3141eb6dd/12876_2025_3965_Fig1_HTML.jpg
https://cdn.ncbi.nlm.nih.gov/pmc/blobs/db01/12060409/2302629b9bd4/12876_2025_3965_Fig2_HTML.jpg

相似文献

1
Strain elastography for detecting advanced Fontan-associated liver disease: a retrospective study.应变弹性成像技术用于检测晚期Fontan相关肝病:一项回顾性研究。
BMC Gastroenterol. 2025 May 8;25(1):341. doi: 10.1186/s12876-025-03965-1.
2
Role of transient elastography in the diagnosis and prognosis of Fontan-associated liver disease.瞬时弹性成像在Fontan相关肝病诊断及预后评估中的作用
World J Gastroenterol. 2025 Mar 21;31(11):103178. doi: 10.3748/wjg.v31.i11.103178.
3
Shear-wave elastography for monitoring Fontan-associated liver disease: A prospective cohort study.剪切波弹性成像用于监测 Fontan 相关肝疾病:一项前瞻性队列研究。
J Pediatr Gastroenterol Nutr. 2024 Jul;79(1):126-130. doi: 10.1002/jpn3.12182. Epub 2024 Mar 13.
4
Noninvasive ultrasound technique for assessment of liver fibrosis and cardiac function in Fontan-associated liver disease: diagnosis based on elastography and hepatic vein waveform type.基于超声弹性成像和肝静脉血流频谱类型的无创性超声技术评估 Fontan 相关肝病的肝纤维化和心功能。
J Med Ultrason (2001). 2021 Apr;48(2):235-244. doi: 10.1007/s10396-020-01078-8. Epub 2021 Jan 8.
5
Biomarkers of fibrosis and portal hypertension in Fontan-associated liver disease in children and adults.成人体肺静脉高压相关肝病患儿肝纤维化和门脉高压的生物标志物。
Dig Liver Dis. 2024 Aug;56(8):1335-1342. doi: 10.1016/j.dld.2023.12.017. Epub 2024 Jan 13.
6
Associated Factors of Liver Disease After Fontan Operation in Relation to Ultrasound Liver Elastography.Fontan手术后肝病的相关因素与肝脏超声弹性成像的关系
Pediatr Cardiol. 2020 Dec;41(8):1639-1644. doi: 10.1007/s00246-020-02422-y. Epub 2020 Aug 1.
7
Clinical predictors and noninvasive imaging in Fontan-associated liver disease: A systematic review and meta-analysis.Fontan 相关肝病的临床预测因素与非侵入性成像:一项系统评价和荟萃分析。
Hepatol Commun. 2024 Nov 15;8(12). doi: 10.1097/HC9.0000000000000580. eCollection 2024 Dec 1.
8
Associations of Liver Stiffness Measured by Ultrasound Shear-Wave Elastography With Portal Hypertension and Circulatory Failure in Individuals With Fontan Circulation.超声剪切波弹性成像测量的肝硬度与 Fontan 循环个体中门脉高压和循环衰竭的相关性。
AJR Am J Roentgenol. 2024 Jan;222(1):e2329640. doi: 10.2214/AJR.23.29640. Epub 2023 Aug 2.
9
The clinical spectrum of Fontan-associated liver disease: results from a prospective multimodality screening cohort.Fontan 相关肝疾病的临床谱:前瞻性多模态筛查队列的结果。
Eur Heart J. 2019 Apr 1;40(13):1057-1068. doi: 10.1093/eurheartj/ehy620.
10
Non-invasive biomarkers of Fontan-associated liver disease.Fontan相关肝病的非侵入性生物标志物
JHEP Rep. 2021 Sep 14;3(6):100362. doi: 10.1016/j.jhepr.2021.100362. eCollection 2021 Dec.

本文引用的文献

1
Accuracy of elastography versus biopsy in assessing severity of liver fibrosis in young Fontan patients.弹性成像与活检在评估年轻Fontan患者肝纤维化严重程度方面的准确性
Cardiol Young. 2024 May 28:1-7. doi: 10.1017/S1047951124025241.
2
Biomarkers of fibrosis and portal hypertension in Fontan-associated liver disease in children and adults.成人体肺静脉高压相关肝病患儿肝纤维化和门脉高压的生物标志物。
Dig Liver Dis. 2024 Aug;56(8):1335-1342. doi: 10.1016/j.dld.2023.12.017. Epub 2024 Jan 13.
3
EASL-ERN position paper on liver involvement in patients with Fontan-type circulation.
EASL-ERN 立场文件:Fontan 型循环患者的肝脏受累。
J Hepatol. 2023 Nov;79(5):1270-1301. doi: 10.1016/j.jhep.2023.07.013.
4
Transient liver elastography in the follow-up of Fontan patients: results of a nation wide survey in Germany.法洛四联症患者随访中的瞬时弹性成像:德国全国性调查结果
Front Pediatr. 2023 Aug 30;11:1194641. doi: 10.3389/fped.2023.1194641. eCollection 2023.
5
Dual elastography to discriminate adjacent stages of fibrosis and inflammation in chronic hepatitis B: A prospective multicenter study.双重弹性成像技术鉴别慢性乙型肝炎肝纤维化及炎症相邻期:一项前瞻性多中心研究。
Hepatology. 2024 Feb 1;79(2):438-450. doi: 10.1097/HEP.0000000000000566. Epub 2023 Aug 22.
6
Liver Fibrosis Scores Are Associated With Resting and Exercise Fontan and Pulmonary Artery Wedge Pressures: Insights Into FALD.肝纤维化评分与静息和运动时的Fontan压力及肺动脉楔压相关:对脂肪性肝病的见解
Can J Cardiol. 2023 Oct;39(10):1349-1357. doi: 10.1016/j.cjca.2023.04.024. Epub 2023 May 5.
7
Surgical treatment of hepatocellular carcinoma after Fontan operation: three case reports and review of the literature.法桐手术后肝细胞癌的外科治疗:三例报告及文献复习。
Clin J Gastroenterol. 2023 Aug;16(4):559-566. doi: 10.1007/s12328-023-01795-w. Epub 2023 Apr 12.
8
Haemodynamic and prognostic associations of liver fibrosis scores in Fontan-associated liver disease.肝纤维化评分与 Fontan 相关肝病血流动力学和预后的相关性。
Heart. 2023 Mar 27;109(8):619-625. doi: 10.1136/heartjnl-2022-321435.
9
Predictors of liver cirrhosis and hepatocellular carcinoma among perioperative survivors of the Fontan operation.Fontan手术围手术期幸存者中肝硬化和肝细胞癌的预测因素。
Heart. 2023 Jan 27;109(4):276-282. doi: 10.1136/heartjnl-2022-320940.
10
Combinational Elastography.组合弹性成像技术
Int Heart J. 2022;63(2):271-277. doi: 10.1536/ihj.21-606.