Suppr超能文献

卡介苗治疗失败的结果:来自英国单一中心的经验结果。

Outcomes in BCG failure: Outcome from a single centre UK experience.

作者信息

Day Elizabeth, Aquilina Rachel, Tzelves Lazaros, Sridhar Ashwin, Ta Anthony, Kelly John, Szabados Bernadett

机构信息

Department of Urology University College London Hospital NHS Foundation Trust London UK.

School of Medicine University College London London UK.

出版信息

BJUI Compass. 2025 May 6;6(5):e70025. doi: 10.1002/bco2.70025. eCollection 2025 May.

Abstract

OBJECTIVE

To describe real-world outcomes of patients with BCG failure undergoing bladder-sparing treatments (BSTs) vs radical cystectomy in the UK.

PATIENTS AND METHODS

A single institution audit was conducted at a tertiary bladder cancer referral service (UCLH, London, UK). Patients with BCG failure treated between January 2017 and September 2022 were included. BSTs included endoscopic surveillance, hyperthermic mitomycin and further BCG. The primary outcome was event free survival (EFS). Complete response (CR) rate and duration of response (DoR) were investigated in patients undergoing BST. The secondary outcomes were 3- and 5-year cancer-specific (CSS) and overall survival (OS).

RESULTS

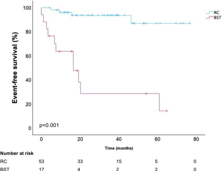
A total of 112 patients were included: 30% (34/112), 32% (36/112) and 27% (30/112) had BCG unresponsive, exposed and intolerant disease and 11% (12/112) had progressed to muscle invasive disease (MIBC).In the BCG unresponsive and exposed groups, 79% (27/34) and 72% (26/36) underwent RC, with the remaining receiving BSTs. Comparing RC vs BST in BCG unresponsive and exposed groups combined, there was a significantly poorer EFS in the BST group (p < 0.001); 35.3% (6/17) patients transitioned to second-line BST due to recurrence or intolerance and a further 50% (3/6) transitioned a third line BST. There was no significant difference in CSS or OS rates. In BCG intolerance, the EFS rate was 90% as three patients experienced high-grade recurrence and underwent RC. There were no cancer-related deaths. In MIBC group, 5/12 presented with metastatic disease and 3- and 5-year CSS rates was 66% and 0%.

CONCLUSION

This data reports real-world practice in a UK centre. BSTs in BCG unresponsive and exposed disease are supported as an alternative to RC providing the increased risk of recurrence is accepted. Additionally, consideration of formal guidance supporting BST is needed in BCG intolerance, which appears to have an excellent outcome in a cohort managed with endoscopic surveillance. Upstaging to MIBC remains a poor prognostic factor and is key to improving survival outcomes in BCG failure.

摘要

目的

描述在英国接受保膀胱治疗(BST)与根治性膀胱切除术的卡介苗(BCG)治疗失败患者的真实世界结局。

患者与方法

在一家三级膀胱癌转诊服务机构(英国伦敦大学学院医院)进行了一项单机构审计。纳入2017年1月至2022年9月期间接受BCG治疗失败的患者。BST包括内镜监测、热疗丝裂霉素和进一步的BCG治疗。主要结局是无事件生存期(EFS)。对接受BST的患者的完全缓解(CR)率和缓解持续时间(DoR)进行了研究。次要结局是3年和5年癌症特异性生存率(CSS)和总生存率(OS)。

结果

共纳入112例患者:30%(34/112)、32%(36/112)和27%(30/112)的患者分别患有BCG无反应、BCG暴露和BCG不耐受疾病,11%(12/112)的患者已进展为肌层浸润性疾病(MIBC)。在BCG无反应组和BCG暴露组中,分别有79%(27/34)和72%(26/36)的患者接受了根治性膀胱切除术(RC),其余患者接受了BST。在BCG无反应组和BCG暴露组联合比较RC与BST时,BST组的EFS明显较差(p<0.001);35.3%(6/17)的患者因复发或不耐受而转为二线BST,另有50%(3/6)的患者转为三线BST。CSS或OS率无显著差异。在BCG不耐受组中,EFS率为90%,因为有3例患者出现高级别复发并接受了RC。无癌症相关死亡。在MIBC组中,12例中有5例出现转移性疾病,3年和5年CSS率分别为66%和零。

结论

该数据报告了英国一个中心的真实世界实践情况。对于BCG无反应和BCG暴露疾病的BST作为RC的替代方法是可行的,前提是接受复发风险增加。此外,在BCG不耐受的情况下需要考虑支持BST的正式指南,在内镜监测管理的队列中,BCG不耐受似乎有良好的结局。进展为MIBC仍然是一个不良预后因素,也是改善BCG治疗失败患者生存结局的关键。

https://cdn.ncbi.nlm.nih.gov/pmc/blobs/b20a/12056233/e3adbad23163/BCO2-6-e70025-g001.jpg

文献检索

告别复杂PubMed语法,用中文像聊天一样搜索,搜遍4000万医学文献。AI智能推荐,让科研检索更轻松。

立即免费搜索

文件翻译

保留排版,准确专业,支持PDF/Word/PPT等文件格式,支持 12+语言互译。

免费翻译文档

深度研究

AI帮你快速写综述,25分钟生成高质量综述,智能提取关键信息,辅助科研写作。

立即免费体验