Suppr超能文献

滇中城市群高风险土壤侵蚀区识别及其与城市群整体的差异化驱动机制比较

Identification of high-risk soil erosion areas in the central Yunnan urban agglomeration and the differentiated driving mechanisms compared to the overall agglomeration.

作者信息

Ma Dongling, Peng Shuangyun, Lin Zhiqiang, Huang Bangmei, Zhu Ziyi, Shi Shuangfu

机构信息

Faculty of Geography, Yunnan Normal University, Kunming, 650500, China.

GIS Technology Engineering Research Centre for West-China Resources and Environment of Educational Ministry, Kunming, 650500, China.

出版信息

Sci Rep. 2025 May 15;15(1):16968. doi: 10.1038/s41598-025-01443-y.

Abstract

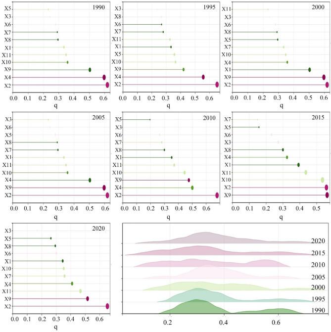
Revealing the complex driving mechanisms of soil erosion is essential for assessing regional ecological security. Focusing on the Central Yunnan Urban Agglomeration (CYUA), a typical mountainous urban region, this study analyzed the spatiotemporal dynamics of soil erosion from 1990 to 2020 using the RUSLE model and the Improved Stability Mapping (STD) method, identifying high-risk soil erosion areas. Additionally, it applied the OPGD and MGWR models to reveal differentiated driving mechanisms of soil erosion across the urban agglomeration and in high-risk zones. The results indicated that (1) over the past three decades, approximately 27.56% of the CYUA experienced soil erosion, with moderate and high-intensity erosion accounting for 7.04% and 3.83%, respectively. Soil erosion increased continuously from 1990 to 2000 but showed significant improvement after 2000. (2) High-risk areas identified using the improved STD method were primarily distributed along riverbanks, which are highly sensitive to external disturbances. (3) Slope and vegetation were the key factors affecting the overall soil erosion pattern in the urban agglomeration, while rainfall and vegetation were the dominant influencing factors in high-risk areas, where spatial heterogeneity of driving factors was lower than in the general region. (4) Vegetation cover had a significant mitigating effect on soil erosion, making increased vegetation coverage an effective strategy for soil and water conservation. This study provides new insights for soil erosion risk assessment and offers a scientific basis for regional soil erosion control and ecological restoration.

摘要

揭示土壤侵蚀的复杂驱动机制对于评估区域生态安全至关重要。本研究聚焦于典型山地城市区域滇中城市群,利用RUSLE模型和改进的稳定性制图(STD)方法分析了1990年至2020年土壤侵蚀的时空动态,识别出高风险土壤侵蚀区域。此外,应用OPGD和MGWR模型揭示了城市群及高风险区域土壤侵蚀的差异化驱动机制。结果表明:(1)在过去三十年里,滇中城市群约27.56%的区域发生了土壤侵蚀,其中中度和高强度侵蚀分别占7.04%和3.83%。土壤侵蚀在1990年至2000年期间持续增加,但在2000年后有显著改善。(2)采用改进的STD方法识别出的高风险区域主要分布在河岸,这些区域对外部干扰高度敏感。(3)坡度和植被是影响城市群整体土壤侵蚀格局的关键因素,而降雨和植被是高风险区域的主要影响因素,高风险区域驱动因素的空间异质性低于一般区域。(4)植被覆盖对土壤侵蚀有显著的缓解作用,增加植被覆盖是水土保持的有效策略。本研究为土壤侵蚀风险评估提供了新的见解,并为区域土壤侵蚀控制和生态恢复提供了科学依据。

https://cdn.ncbi.nlm.nih.gov/pmc/blobs/6e25/12081683/f075163491e3/41598_2025_1443_Fig1_HTML.jpg

文献AI研究员

20分钟写一篇综述,助力文献阅读效率提升50倍。

立即体验

用中文搜PubMed

大模型驱动的PubMed中文搜索引擎

马上搜索

文档翻译

学术文献翻译模型,支持多种主流文档格式。

立即体验