Suppr超能文献

肺段支气管辐射剂量影响肺癌患者放射性肺炎的进展。

Segmental bronchi radiation dose affected the progression of radiation pneumonitis in lung cancer patients.

作者信息

Liang Gai, Chang RuiJie, Zhang Qu, Luo Yan, Peng Yi, Luo Bo

机构信息

Department of Radiation Oncology, Hubei Cancer Hospital, TongJi Medical College, Huazhong University of Science and Technology, 116 Zhuodaoquan South Road, Wuhan, 430079, China.

Department of Anesthesiology, Institute of Anesthesiology, Taihe Hospital, Hubei University of Medicine, Shiyan, China.

出版信息

Discov Oncol. 2025 May 17;16(1):793. doi: 10.1007/s12672-025-02569-1.

Abstract

OBJECTIVE

To evaluate the association between the segmental bronchi radiation dose and radiation pneumonitis (RP) in patients with lung cancer who underwent radiotherapy.

METHODS

A total of 135 patients with lung cancer who were treated with radiation therapy between December 2014 and December 2015 were enrolled in the study. RP was defined and graded according to the criteria of the Radiation Therapy Oncology Group. The radiation dose to the segmental bronchi, along with clinical, and other dosimetric factors were recorded. Logistic regression analysis was used to evaluate the association between the related factors and RP.

RESULTS

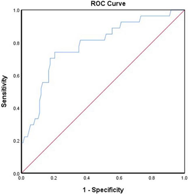
Among the 135 enrolled patients, 24 (17.8%) developed grade 3 radiation pneumonitis or higher. Study found that RP was associated with the following factors: patient age, complications with chronic obstructive pulmonary disease, concurrent chemotherapy, percentage of lung volume receiving more than 30 Gy (V30), whole lung volume, and the segmental bronchi maximum and mean dose. Logistic regression analysis showed that the maximum dose of the segmental bronchi, whole lung volume, and V30 were independent risk factors for RP. According to the receiver operating characteristic curve, the maximum dose constraint of the segmental bronchi during radiotherapy is estimated at 23.85 Gy.

CONCLUSION

The segmental bronchi radiation dose should be considered as a normal tissue constraint, in addition to whole lung volume and V30 in radiotherapy for patients with lung cancer to decrease the incidence of RP.

摘要

目的

评估接受放射治疗的肺癌患者节段性支气管辐射剂量与放射性肺炎(RP)之间的关联。

方法

纳入2014年12月至2015年12月期间接受放射治疗的135例肺癌患者。根据放射治疗肿瘤学组的标准对RP进行定义和分级。记录节段性支气管的辐射剂量以及临床和其他剂量学因素。采用逻辑回归分析评估相关因素与RP之间的关联。

结果

在135例纳入研究的患者中,24例(17.8%)发生3级或更高等级的放射性肺炎。研究发现RP与以下因素有关:患者年龄、慢性阻塞性肺疾病并发症、同步化疗、接受超过30 Gy的肺体积百分比(V30)、全肺体积以及节段性支气管的最大和平均剂量。逻辑回归分析表明,节段性支气管的最大剂量、全肺体积和V30是RP的独立危险因素。根据受试者工作特征曲线,放疗期间节段性支气管的最大剂量限制估计为23.85 Gy。

结论

在肺癌患者的放射治疗中,除了全肺体积和V30外,节段性支气管辐射剂量也应被视为正常组织限制因素,以降低RP的发生率。

https://cdn.ncbi.nlm.nih.gov/pmc/blobs/4f03/12084462/8bd63470fe30/12672_2025_2569_Fig1_HTML.jpg

文献检索

告别复杂PubMed语法,用中文像聊天一样搜索,搜遍4000万医学文献。AI智能推荐,让科研检索更轻松。

立即免费搜索

文件翻译

保留排版,准确专业,支持PDF/Word/PPT等文件格式,支持 12+语言互译。

免费翻译文档

深度研究

AI帮你快速写综述,25分钟生成高质量综述,智能提取关键信息,辅助科研写作。

立即免费体验