• 文献检索
  • 文档翻译
  • 深度研究
  • 学术资讯
  • Suppr Zotero 插件Zotero 插件
  • 邀请有礼
  • 套餐&价格
  • 历史记录
应用&插件
Suppr Zotero 插件Zotero 插件浏览器插件Mac 客户端Windows 客户端微信小程序
定价
高级版会员购买积分包购买API积分包
服务
文献检索文档翻译深度研究API 文档MCP 服务
关于我们
关于 Suppr公司介绍联系我们用户协议隐私条款
关注我们

Suppr 超能文献

核心技术专利:CN118964589B侵权必究
粤ICP备2023148730 号-1Suppr @ 2026

文献检索

告别复杂PubMed语法,用中文像聊天一样搜索,搜遍4000万医学文献。AI智能推荐,让科研检索更轻松。

立即免费搜索

文件翻译

保留排版,准确专业,支持PDF/Word/PPT等文件格式,支持 12+语言互译。

免费翻译文档

深度研究

AI帮你快速写综述,25分钟生成高质量综述,智能提取关键信息,辅助科研写作。

立即免费体验

使用CURATE.AI进行人工智能辅助的华法林剂量优化以产生临床影响:回顾性数据分析

AI-assisted warfarin dose optimisation with CURATE.AI for clinical impact: Retrospective data analysis.

作者信息

Gan Tiffany Rui Xuan, Tan Lester W J, Egermark Mathias, Truong Anh T L, Kumar Kirthika, Tan Shi-Bei, Tang Sarah, Blasiak Agata, Goh Boon Cher, Ngiam Kee Yuan, Ho Dean

机构信息

Division of Surgery Ng Teng Fong General Hospital Singapore Singapore.

The N.1 Institute for Health (N.1), National University of Singapore Singapore Singapore.

出版信息

Bioeng Transl Med. 2025 Feb 3;10(3):e10757. doi: 10.1002/btm2.10757. eCollection 2025 May.

DOI:10.1002/btm2.10757
PMID:40385544
原文链接:https://pmc.ncbi.nlm.nih.gov/articles/PMC12079355/
Abstract

BACKGROUND

Standard-of-care for warfarin dose titration is conventionally based on physician-guided drug dosing. This may lead to frequent deviations from target international normalized ratio (INR) due to inter- and intra-patient variability and may potentially result in adverse events including recurrent thromboembolism and life-threatening hemorrhage.

OBJECTIVES

We aim to employ CURATE.AI, a small-data, artificial intelligence-derived platform that has been clinically validated in a range of indications, to optimize and guide warfarin dosing.

PATIENTS/METHODS: A personalized CURATE.AI response profile was generated using warfarin dose (inputs) and corresponding change in INR between two consecutive days (phenotypic outputs) and used to identify and recommend an optimal dose to achieve target treatment outcomes. CURATE.AI's predictive performance was then evaluated with a set of metrics that assessed both technical performance and clinical relevance.

RESULTS AND CONCLUSIONS

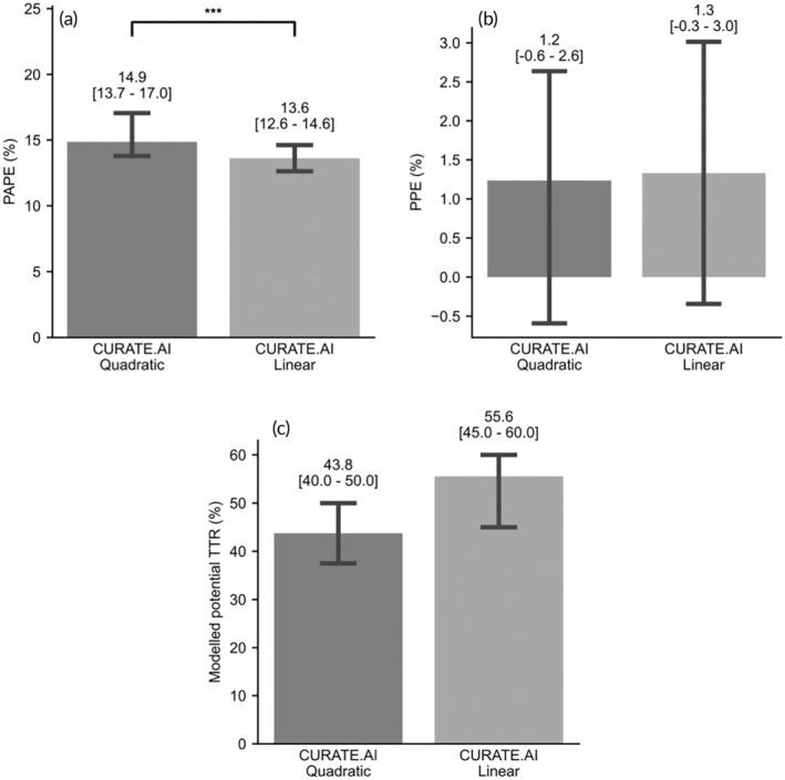
In this retrospective study of 127 patients, CURATE.AI fared better in terms of Percentage Absolute Prediction Error and Percentage Prediction Error of 20% compared to other models in the literature. It also had negligible underprediction bias, potentially translating into lower bleeding risk. Modeled potential time in therapeutic range with CURATE.AI was not significantly different from physician-guided dosing, so it is on-par yet provides a systematic approach to warfarin dosing, easing the mental-burden on guesswork by physicians.This study lays the groundwork for the prospective study of CURATE.AI as a clinical decision support system. CURATE.AI may facilitate the effective use of affordable warfarin with a well-established safety profile, without the need for costly, new oral anticoagulants. This can have significant impact both on the individual and public health.

摘要

背景

华法林剂量滴定的标准治疗方法传统上基于医生指导的药物给药。由于患者间和患者内的变异性,这可能导致频繁偏离目标国际标准化比值(INR),并可能潜在地导致不良事件,包括复发性血栓栓塞和危及生命的出血。

目的

我们旨在采用CURATE.AI,这是一个基于小数据的人工智能衍生平台,已在一系列适应症中得到临床验证,以优化和指导华法林给药。

患者/方法:使用华法林剂量(输入)和连续两天之间INR的相应变化(表型输出)生成个性化的CURATE.AI反应曲线,并用于识别和推荐最佳剂量以实现目标治疗结果。然后使用一组评估技术性能和临床相关性的指标来评估CURATE.AI的预测性能。

结果与结论

在这项对127名患者的回顾性研究中,与文献中的其他模型相比,CURATE.AI在绝对预测误差百分比和20%的预测误差百分比方面表现更好。它的预测不足偏差也可以忽略不计,这可能转化为较低的出血风险。使用CURATE.AI模拟的治疗范围内的潜在时间与医生指导给药没有显著差异,因此它与之相当,但提供了一种系统的华法林给药方法,减轻了医生猜测的心理负担。本研究为将CURATE.AI作为临床决策支持系统的前瞻性研究奠定了基础。CURATE.AI可能有助于有效使用具有良好安全记录的经济实惠的华法林,而无需昂贵的新型口服抗凝剂。这对个人和公共健康都可能产生重大影响。

https://cdn.ncbi.nlm.nih.gov/pmc/blobs/806e/12079355/0eeac568db44/BTM2-10-e10757-g006.jpg
https://cdn.ncbi.nlm.nih.gov/pmc/blobs/806e/12079355/0e13e3a4f7c1/BTM2-10-e10757-g009.jpg
https://cdn.ncbi.nlm.nih.gov/pmc/blobs/806e/12079355/a5cc716bce6a/BTM2-10-e10757-g007.jpg
https://cdn.ncbi.nlm.nih.gov/pmc/blobs/806e/12079355/f28a3d9c267a/BTM2-10-e10757-g008.jpg
https://cdn.ncbi.nlm.nih.gov/pmc/blobs/806e/12079355/83c94edcd4f5/BTM2-10-e10757-g003.jpg
https://cdn.ncbi.nlm.nih.gov/pmc/blobs/806e/12079355/0d9688755bae/BTM2-10-e10757-g004.jpg
https://cdn.ncbi.nlm.nih.gov/pmc/blobs/806e/12079355/2329c8a4a143/BTM2-10-e10757-g002.jpg
https://cdn.ncbi.nlm.nih.gov/pmc/blobs/806e/12079355/9e7e815949e4/BTM2-10-e10757-g001.jpg
https://cdn.ncbi.nlm.nih.gov/pmc/blobs/806e/12079355/169d737f503f/BTM2-10-e10757-g005.jpg
https://cdn.ncbi.nlm.nih.gov/pmc/blobs/806e/12079355/0eeac568db44/BTM2-10-e10757-g006.jpg
https://cdn.ncbi.nlm.nih.gov/pmc/blobs/806e/12079355/0e13e3a4f7c1/BTM2-10-e10757-g009.jpg
https://cdn.ncbi.nlm.nih.gov/pmc/blobs/806e/12079355/a5cc716bce6a/BTM2-10-e10757-g007.jpg
https://cdn.ncbi.nlm.nih.gov/pmc/blobs/806e/12079355/f28a3d9c267a/BTM2-10-e10757-g008.jpg
https://cdn.ncbi.nlm.nih.gov/pmc/blobs/806e/12079355/83c94edcd4f5/BTM2-10-e10757-g003.jpg
https://cdn.ncbi.nlm.nih.gov/pmc/blobs/806e/12079355/0d9688755bae/BTM2-10-e10757-g004.jpg
https://cdn.ncbi.nlm.nih.gov/pmc/blobs/806e/12079355/2329c8a4a143/BTM2-10-e10757-g002.jpg
https://cdn.ncbi.nlm.nih.gov/pmc/blobs/806e/12079355/9e7e815949e4/BTM2-10-e10757-g001.jpg
https://cdn.ncbi.nlm.nih.gov/pmc/blobs/806e/12079355/169d737f503f/BTM2-10-e10757-g005.jpg
https://cdn.ncbi.nlm.nih.gov/pmc/blobs/806e/12079355/0eeac568db44/BTM2-10-e10757-g006.jpg

相似文献

1
AI-assisted warfarin dose optimisation with CURATE.AI for clinical impact: Retrospective data analysis.使用CURATE.AI进行人工智能辅助的华法林剂量优化以产生临床影响:回顾性数据分析
Bioeng Transl Med. 2025 Feb 3;10(3):e10757. doi: 10.1002/btm2.10757. eCollection 2025 May.
2
Personalised, Rational, Efficacy-Driven Cancer Drug Dosing an Artificial Intelligence SystEm (PRECISE): A Protocol for the PRECISE CURATE.AI Pilot Clinical Trial.个性化、合理、疗效驱动的癌症药物剂量人工智能系统(PRECISE):PRECISE CURATE.AI试点临床试验方案
Front Digit Health. 2021 Apr 12;3:635524. doi: 10.3389/fdgth.2021.635524. eCollection 2021.
3
CURATE.AI-assisted dose titration for anti-hypertensive personalized therapy: study protocol for a multi-arm, randomized, pilot feasibility trial using CURATE.AI (CURATE.AI ADAPT trial).CURATE.AI辅助的抗高血压个性化治疗剂量滴定:一项使用CURATE.AI的多组、随机、试点可行性试验的研究方案(CURATE.AI ADAPT试验)
Eur Heart J Digit Health. 2023 Oct 24;5(1):41-49. doi: 10.1093/ehjdh/ztad063. eCollection 2024 Jan.
4
Personalised Dosing Using the CURATE.AI Algorithm: Protocol for a Feasibility Study in Patients with Hypertension and Type II Diabetes Mellitus.使用 CURATE.AI 算法进行个体化剂量:高血压和 2 型糖尿病患者可行性研究方案。
Int J Environ Res Public Health. 2022 Jul 23;19(15):8979. doi: 10.3390/ijerph19158979.
5
Physicians' Perspectives on AI in Clinical Decision Support Systems: Interview Study of the CURATE.AI Personalized Dose Optimization Platform.医生对临床决策支持系统中人工智能的看法:对 CURATE.AI 个性化剂量优化平台的访谈研究。
JMIR Hum Factors. 2023 Oct 30;10:e48476. doi: 10.2196/48476.
6
Effect of Genotype-Guided Warfarin Dosing on Clinical Events and Anticoagulation Control Among Patients Undergoing Hip or Knee Arthroplasty: The GIFT Randomized Clinical Trial.基因型指导的华法林剂量调整对髋或膝关节置换术患者临床事件及抗凝控制的影响:GIFT随机临床试验
JAMA. 2017 Sep 26;318(12):1115-1124. doi: 10.1001/jama.2017.11469.
7
A Bayesian dose-individualization method for warfarin.华法林的贝叶斯个体化剂量方法。
Clin Pharmacokinet. 2013 Jan;52(1):59-68. doi: 10.1007/s40262-012-0017-6.
8
Antiplatelet and anticoagulant agents for secondary prevention of stroke and other thromboembolic events in people with antiphospholipid syndrome.抗血小板和抗凝药物用于抗磷脂综合征患者中风和其他血栓栓塞事件的二级预防。
Cochrane Database Syst Rev. 2020 Oct 12;10(10):CD012169. doi: 10.1002/14651858.CD012169.pub3.
9
Genotype-guided vs clinical dosing of warfarin and its analogues: meta-analysis of randomized clinical trials.基于基因型的华法林及其类似物与临床剂量给药:随机临床试验的荟萃分析。
JAMA Intern Med. 2014 Aug;174(8):1330-8. doi: 10.1001/jamainternmed.2014.2368.
10

引用本文的文献

1
Artificial intelligence in clinical thrombosis and hemostasis: A review.临床血栓形成与止血中的人工智能:综述
Res Pract Thromb Haemost. 2025 Jul 24;9(5):102984. doi: 10.1016/j.rpth.2025.102984. eCollection 2025 Jul.

本文引用的文献

1
Personalised, Rational, Efficacy-Driven Cancer Drug Dosing an Artificial Intelligence SystEm (PRECISE): A Protocol for the PRECISE CURATE.AI Pilot Clinical Trial.个性化、合理、疗效驱动的癌症药物剂量人工智能系统(PRECISE):PRECISE CURATE.AI试点临床试验方案
Front Digit Health. 2021 Apr 12;3:635524. doi: 10.3389/fdgth.2021.635524. eCollection 2021.
2
Global, regional, and national burden of stroke and its risk factors, 1990-2019: a systematic analysis for the Global Burden of Disease Study 2019.1990—2019年全球、区域和国家的卒中负担及其风险因素:全球疾病负担研究2019的系统分析
Lancet Neurol. 2021 Oct;20(10):795-820. doi: 10.1016/S1474-4422(21)00252-0. Epub 2021 Sep 3.
3
A review of indications and comorbidities in which warfarin may be the preferred oral anticoagulant.
华法林可能是首选口服抗凝剂的适应证和合并症综述。
J Clin Pharm Ther. 2021 Jun;46(3):560-570. doi: 10.1111/jcpt.13343. Epub 2021 Jan 4.
4
Explainable AI: A Review of Machine Learning Interpretability Methods.可解释人工智能:机器学习可解释性方法综述
Entropy (Basel). 2020 Dec 25;23(1):18. doi: 10.3390/e23010018.
5
Warfarin dosing algorithms: A systematic review.华法林剂量算法:系统评价。
Br J Clin Pharmacol. 2021 Apr;87(4):1717-1729. doi: 10.1111/bcp.14608. Epub 2020 Nov 18.
6
Rationale and design of PROACT Xa: A randomized, multicenter, open-label, clinical trial to evaluate the efficacy and safety of apixaban versus warfarin in patients with a mechanical On-X Aortic Heart Valve.PROACT Xa 研究的原理和设计:一项随机、多中心、开放性、临床试验,旨在评估阿哌沙班与华法林在使用 On-X 机械主动脉瓣的患者中的疗效和安全性。
Am Heart J. 2020 Sep;227:91-99. doi: 10.1016/j.ahj.2020.06.014. Epub 2020 Jun 25.
7
An Update on the Reversal of Non-Vitamin K Antagonist Oral Anticoagulants.非维生素K拮抗剂口服抗凝剂的逆转最新进展
Adv Hematol. 2020 Jan 27;2020:7636104. doi: 10.1155/2020/7636104. eCollection 2020.
8
CURATE.AI: Optimizing Personalized Medicine with Artificial Intelligence.CURATE.AI:利用人工智能优化个性化医疗。
SLAS Technol. 2020 Apr;25(2):95-105. doi: 10.1177/2472630319890316. Epub 2019 Nov 26.
9
Relationship between warfarin dosage and international normalized ratio: a dose-response analysis and evaluation based on multicenter data.华法林剂量与国际标准化比值的关系:基于多中心数据的剂量反应分析与评价。
Eur J Clin Pharmacol. 2019 Jun;75(6):785-794. doi: 10.1007/s00228-019-02655-8. Epub 2019 Apr 29.
10
Treatments to prevent primary venous ulceration after deep venous thrombosis.预防深静脉血栓后原发性静脉溃疡的治疗方法。
J Vasc Surg Venous Lymphat Disord. 2019 Mar;7(2):260-271.e1. doi: 10.1016/j.jvsv.2018.12.009. Epub 2019 Jan 16.