Suppr超能文献

认识到关节疼痛儿童中的多发性骨骺发育不良:一种常被忽视的骨骼发育不良。

Recognizing multiple epiphyseal dysplasia in children presenting with joint pain: a commonly overlooked skeletal dysplasia.

作者信息

Daşar Tuğba, İmren Gözde, Yıldız Adalet Elçin, Demir Gizem Ürel, Utine Gülen Eda, Yılmaz Güney, Kiper Pelin Özlem Şimşek

机构信息

Genetics Division, Department of Pediatric Basic Sciences, Institute of Child Health, Hacettepe University, Ankara, Turkey.

Division of Pediatric Genetics, Department of Pediatrics, Ankara Sincan Training and Research Hospital, Ankara, Turkey.

出版信息

Eur J Pediatr. 2025 May 20;184(6):350. doi: 10.1007/s00431-025-06176-8.

Abstract

UNLABELLED

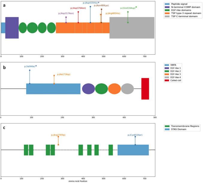
Multiple epiphyseal dysplasias are relatively common skeletal disorders, and diagnosing children can often be challenging due to various presenting complaints, including joint pain, short stature, waddling gait, joint deformities, and myopathy findings. Patients may experience early-onset osteoarthritis, and in some cases, joint replacement therapy may be required. Radiographs are characterized by flat, small, and irregularly shaped epiphyses, especially in the hips and knees. Multiple epiphyseal dysplasias are caused by variants in the genes encoding important cartilage extracellular matrix proteins, enzymes, and transporter proteins, including COMP, MATN3, COL9A1, COL9A2, COL9A3, CANT1, and SLC26A2. We aimed to investigate the clinical, radiographic, and molecular findings, along with the natural course of the disease, in a group of patients with multiple epiphyseal dysplasia. The children with a clinical diagnosis of multiple epiphyseal dysplasia and their affected parents registered at our center over a period of 20 years were evaluated. The clinical and radiographic findings were reviewed. The genetic test was performed whenever possible, with the aid of Sanger sequencing or exome sequencing as appropriate. A total of 27 patients (21 children and six affected parents) from 14 unrelated families were clinically diagnosed with multiple epiphyseal dysplasia. The genetic etiology could be revealed in 25 patients (n = 25/27, 92.5%) from 12 unrelated families. Of the 25 patients, 16 (64%) were male and nine (36%) were female. The age at genetic diagnosis ranged from 4 to 50 years, with a median age of 10 years. Nine patients (9/25, 36%) had short stature, 17 (17/25, 68%) experienced joint pain, and seven (7/25, 28%) required orthopedic surgery. The most frequent complaints leading to referral were joint pain and difficulty walking. Genetic tests revealed a total of 12 variants in 12 families, among which three were novel: COMP (13/25 patients, 52%; 7/12 families, 58.3%), MATN3 (5/25 patients, 20%; 2/12 families, 16.6%), SLC26A2 (5/25 patients, 20%; 2/12 families, 16.6%), and COL9A2 (2/25 patients, 8%; 1/12 families 8.3%). Of the patients who underwent orthopedic surgery (n = 7), five had COMP variants. Patients with COMP variants exhibited a more severe phenotype, consistent with the literature.

CONCLUSION

Multiple epiphyseal dysplasias represent a genetically heterogeneous group of disorders that may present clinical and diagnostic challenges. This condition should be considered when evaluating patients who experience joint pain and have radiographic findings suggestive of Perthes disease. A comprehensive skeletal survey and genetic tests are essential for the accurate diagnosis and management of this condition.

WHAT IS KNOWN

• MED represents one of the most prevalent categories of skeletal dysplasias, presenting clinically with progressive joint pain, skeletal deformities, gait disturbances, or features suggestive of an underlying myopathy.

WHAT IS NEW

• In this study, we present 25 patients with MED, identify three novel variants, establish significant correlations between genotype and phenotype, and demonstrate how genetic analysis facilitates the differentiation of MED subtypes, thereby offering clearer insights into the genetic foundations and clinical implications of this condition.

摘要

未标注

多发性骨骺发育不良是相对常见的骨骼疾病,由于各种临床表现,包括关节疼痛、身材矮小、鸭步、关节畸形和肌病表现,对儿童进行诊断往往具有挑战性。患者可能会出现早发性骨关节炎,在某些情况下,可能需要进行关节置换治疗。X线片的特征是骨骺扁平、小且形状不规则,尤其是在髋部和膝部。多发性骨骺发育不良是由编码重要软骨细胞外基质蛋白、酶和转运蛋白的基因突变引起的,包括COMP、MATN3、COL9A1、COL9A2、COL9A3、CANT1和SLC26A2。我们旨在研究一组多发性骨骺发育不良患者的临床、影像学和分子学表现以及疾病的自然病程史病程发育过程。对在我们中心登记的20年间临床诊断为多发性骨骺发育不良的儿童及其受影响的父母进行了评估。回顾了临床和影像学表现。尽可能进行基因检测,根据情况借助桑格测序或外显子组测序。来自14个无关家庭的27例患者(21名儿童和6名受影响的父母)临床诊断为多发性骨骺发育不良。12个无关家庭的25例患者(n = 25/27,92.5%)可揭示遗传病因。在这25例患者中,16例(64%)为男性,9例(36%)为女性。基因诊断时的年龄范围为4至50岁,中位年龄为10岁。9例患者(9/25,36%)身材矮小,17例(17/25,68%)有关节疼痛,7例(7/25,2

https://cdn.ncbi.nlm.nih.gov/pmc/blobs/d08c/12092524/09518dfaef67/431_2025_6176_Fig1_HTML.jpg

文献检索

告别复杂PubMed语法,用中文像聊天一样搜索,搜遍4000万医学文献。AI智能推荐,让科研检索更轻松。

立即免费搜索

文件翻译

保留排版,准确专业,支持PDF/Word/PPT等文件格式,支持 12+语言互译。

免费翻译文档

深度研究

AI帮你快速写综述,25分钟生成高质量综述,智能提取关键信息,辅助科研写作。

立即免费体验