Suppr超能文献

华蟾毒精通过VEGF/VEGFR2自分泌信号抑制肝细胞癌的EMT样干性。

Cinobufagin inhibits hepatocellular carcinoma EMT-like stemness via VEGF/VEGFR2 autocrine signaling.

作者信息

Ye Mingjun, Chen Shujun, Lu Chen, Wu Yangpei, Tian Jiaming, Han Anqi, Zhu Jimin, Li Baikun, Li Qinglin

机构信息

Key Laboratory of Xin'an Medicine (Anhui University of Chinese Medicine), The Ministry of Education, Hefei, 230038, China.

School of Pharmacy, Anhui University of Chinese Medicine, Hefei, 230012, China.

出版信息

Discov Oncol. 2025 May 26;16(1):930. doi: 10.1007/s12672-025-02707-9.

Abstract

PURPOSE

This study aimed to explore the role of the VEGFa/VEGFR2 autocrine pathway in cinobufagin-induced inhibition of hepatocellular carcinoma metastasis.

METHODS

A CCK-8 assay was performed to assess cell viability. Scratch healing, Transwell, and sphere formation assays were used to measure the effects of cinobufagin on cell migration, invasion, and tumor sphere formation. An immunofluorescence double staining method was used to detect the localization of VEGFa and VEGFR2. The effects of inhibiting the VEGFa/VEGFR2 autocrine pathway on Huh7 cell metastasis and the effects of the VEGFa/VEGFR2 autocrine pathway on the regulation of PI3K/AKT-dependent migration, invasion, and epithelial‒mesenchymal transition were examined through use of the VEGFR2 inhibitor apatinib and the PI3K inhibitor LY294002. The effects of cinobufagin on the VEGFa/VEGFR2 autocrine pathway and tumor metastasis were assessed in transplanted tumors.

RESULTS

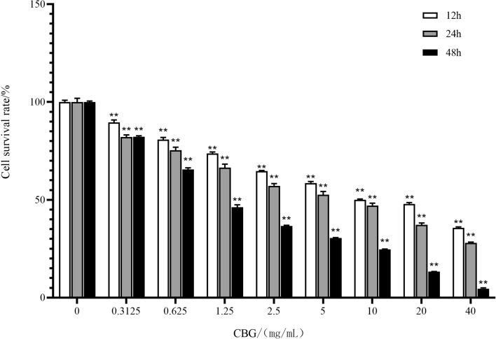
Cinobufagin inhibited Huh7 cell viability, migration, invasion, and tumor sphere formation in a dose-dependent manner. In addition, colocalization between VEGFa and VEGFR2 was detected in Huh7 cells. The results revealed that apatinib treatment significantly inhibited PI3K/AKT-dependent migration, invasion, and epithelial‒mesenchymal transition. The VEGFa/VEGFR2 autocrine pathway, the PI3K/AKT pathway, and epithelial-mesenchymal transition-associated protein markers were attenuated by cinobufagin in Huh7 cells. Additionally, cinobufagin attenuated the growth of hepatocellular carcinoma tumors in the Huh7 xenograft model and significantly downregulated the VEGFa/VEGFR2 autocrine pathway, the PI3K/AKT pathway, and the epithelial‒mesenchymal transition.

CONCLUSION

Cinobufagin may attenuate the PI3K/AKT-dependent metastatic potential of hepatocellular carcinoma by inhibiting the VEGFa/VEGFR2 autocrine pathway.

摘要

目的

本研究旨在探讨VEGFa/VEGFR2自分泌途径在华蟾素诱导的肝癌转移抑制中的作用。

方法

采用CCK-8法评估细胞活力。划痕愈合实验、Transwell实验和球体形成实验用于检测华蟾素对细胞迁移、侵袭和肿瘤球体形成的影响。采用免疫荧光双染法检测VEGFa和VEGFR2的定位。通过使用VEGFR2抑制剂阿帕替尼和PI3K抑制剂LY294002,研究抑制VEGFa/VEGFR2自分泌途径对Huh7细胞转移的影响以及VEGFa/VEGFR2自分泌途径对PI3K/AKT依赖性迁移、侵袭和上皮-间质转化的调节作用。在移植瘤中评估华蟾素对VEGFa/VEGFR2自分泌途径和肿瘤转移的影响。

结果

华蟾素以剂量依赖性方式抑制Huh7细胞活力、迁移、侵袭和肿瘤球体形成。此外,在Huh7细胞中检测到VEGFa和VEGFR2的共定位。结果显示,阿帕替尼处理显著抑制PI3K/AKT依赖性迁移、侵袭和上皮-间质转化。华蟾素可使Huh7细胞中的VEGFa/VEGFR2自分泌途径、PI3K/AKT途径和上皮-间质转化相关蛋白标志物减弱。此外,华蟾素可减弱Huh7异种移植模型中肝癌肿瘤的生长,并显著下调VEGFa/VEGFR2自分泌途径、PI3K/AKT途径和上皮-间质转化。

结论

华蟾素可能通过抑制VEGFa/VEGFR2自分泌途径减弱肝癌的PI3K/AKT依赖性转移潜能。

https://cdn.ncbi.nlm.nih.gov/pmc/blobs/9718/12106172/b4ec49b2785c/12672_2025_2707_Fig1_HTML.jpg

文献检索

告别复杂PubMed语法,用中文像聊天一样搜索,搜遍4000万医学文献。AI智能推荐,让科研检索更轻松。

立即免费搜索

文件翻译

保留排版,准确专业,支持PDF/Word/PPT等文件格式,支持 12+语言互译。

免费翻译文档

深度研究

AI帮你快速写综述,25分钟生成高质量综述,智能提取关键信息,辅助科研写作。

立即免费体验