Suppr超能文献

社区居住老年人的心脏自主神经调节与认知功能:一项初步研究。

Cardiac Autonomic Modulation and Cognitive Performance in Community-Dwelling Older Adults: A Preliminary Study.

作者信息

Maduro Paula Andreatta, Maduro Luiz Alcides Ramires, Lima Polyana Evangelista, Silva Ana Clara Castro, Silva Rita de Cássia Montenegro da, Rocha Alaine Souza Lima, Ribeiro Maria Jacqueline Silva, Matoso Juliana Magalhães Duarte, Bavaresco Gambassi Bruno, Schwingel Paulo Adriano

机构信息

Programa de Pós-Graduação em Ciências da Saúde (PPGCS), Universidade de Pernambuco (UPE), Recife 50100-130, PE, Brazil.

Laboratório de Pesquisas em Desempenho Humano (LAPEDH), Universidade de Pernambuco (UPE), Petrolina 56328-900, PE, Brazil.

出版信息

Neurol Int. 2025 May 12;17(5):74. doi: 10.3390/neurolint17050074.

Abstract

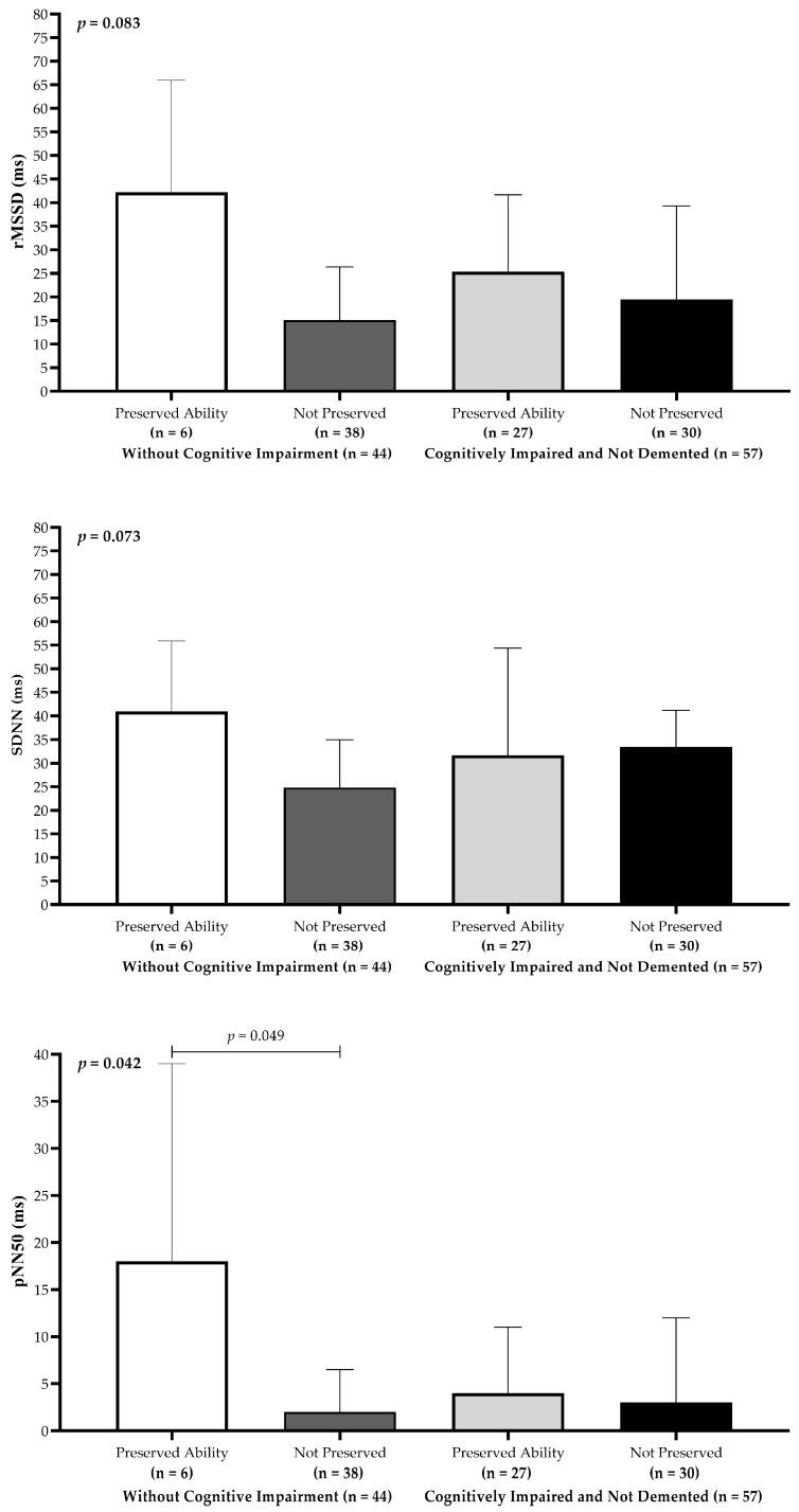
BACKGROUND/OBJECTIVES: Cognitive decline has been increasingly linked to cardiac autonomic regulation; however, its specific associations with cognitive domains, such as information processing speed and executive function, remain unclear. This preliminary study examined the relationship between cardiac autonomic modulation and cognitive performance in older adults.

METHODS

A cross-sectional study was conducted with 101 older adults (aged ≥60 years) attending a university hospital outpatient clinic. Participants were classified as without cognitive impairment (WCI) or cognitively impaired and not demented (CIND) based on neuropsychological assessments. Heart rate variability (HRV) was measured at rest, focusing on the time-domain parameters (SDNN, rMSSD, and pNN50). Trail making test parts A and B (TMT-A and TMT-B) were used to assess information processing speed and executive function, respectively. Analyses of covariance (ANCOVAs) were performed, adjusting for confounding variables including age, sex, and comorbidities.

RESULTS

Participants in the CIND group had significantly lower HRV indices than those in the WCI group (SDNN, < 0.05, = 0.44; rMSSD, < 0.05, = 0.39; pNN50, < 0.05, = 0.40), indicating reduced parasympathetic modulation. Higher HRV values were observed in individuals with preserved processing speed and executive function. Specifically, pNN50 was significantly associated with processing speed ( = 0.04), and SDNN was significantly correlated with executive function ( = 0.02). These associations persisted even after adjusting for confounding factors.

CONCLUSIONS

Reduced cardiac autonomic modulation, especially lower parasympathetic activity, is significantly associated with cognitive impairment in older adults. Lower pNN50 values were correlated with slower information processing speed, and lower SDNN was associated with poorer executive function. These findings support the potential use of HRV as a physiological biomarker to detect cognitive changes during ageing.

摘要

背景/目的:认知功能下降与心脏自主神经调节的关联日益密切;然而,其与信息处理速度和执行功能等认知领域的具体关联仍不明确。这项初步研究探讨了老年人心脏自主神经调节与认知表现之间的关系。

方法

对一家大学医院门诊的101名老年人(年龄≥60岁)进行了横断面研究。根据神经心理学评估,参与者被分为无认知障碍(WCI)或认知受损但未患痴呆症(CIND)。静息时测量心率变异性(HRV),重点关注时域参数(SDNN、rMSSD和pNN50)。分别使用连线测验A和B部分(TMT-A和TMT-B)评估信息处理速度和执行功能。进行协方差分析(ANCOVA),对包括年龄、性别和合并症在内的混杂变量进行调整。

结果

CIND组参与者的HRV指标显著低于WCI组(SDNN,<0.05,=0.44;rMSSD,<0.05,=0.39;pNN50,<0.05,=0.40),表明副交感神经调节减弱。在信息处理速度和执行功能保留的个体中观察到较高的HRV值。具体而言,pNN50与处理速度显著相关(=0.04),SDNN与执行功能显著相关(=0.02)。即使在调整混杂因素后,这些关联仍然存在。

结论

心脏自主神经调节减弱,尤其是副交感神经活动降低,与老年人认知障碍显著相关。较低的pNN50值与较慢的信息处理速度相关,较低的SDNN与较差的执行功能相关。这些发现支持将HRV作为一种生理生物标志物来检测衰老过程中的认知变化。

https://cdn.ncbi.nlm.nih.gov/pmc/blobs/5bdf/12113867/8b3cd9c456f7/neurolint-17-00074-g001.jpg

文献AI研究员

20分钟写一篇综述,助力文献阅读效率提升50倍。

立即体验

用中文搜PubMed

大模型驱动的PubMed中文搜索引擎

马上搜索

文档翻译

学术文献翻译模型,支持多种主流文档格式。

立即体验