• 文献检索
  • 文档翻译
  • 深度研究
  • 学术资讯
  • Suppr Zotero 插件Zotero 插件
  • 邀请有礼
  • 套餐&价格
  • 历史记录
应用&插件
Suppr Zotero 插件Zotero 插件浏览器插件Mac 客户端Windows 客户端微信小程序
定价
高级版会员购买积分包购买API积分包
服务
文献检索文档翻译深度研究API 文档MCP 服务
关于我们
关于 Suppr公司介绍联系我们用户协议隐私条款
关注我们

Suppr 超能文献

核心技术专利:CN118964589B侵权必究
粤ICP备2023148730 号-1Suppr @ 2026

文献检索

告别复杂PubMed语法,用中文像聊天一样搜索,搜遍4000万医学文献。AI智能推荐,让科研检索更轻松。

立即免费搜索

文件翻译

保留排版,准确专业,支持PDF/Word/PPT等文件格式,支持 12+语言互译。

免费翻译文档

深度研究

AI帮你快速写综述,25分钟生成高质量综述,智能提取关键信息,辅助科研写作。

立即免费体验

人类小脑对上肢远端控制的头皮脑电图证据

Surface EEG Evidence for Cerebellar Control of Distal Upper Limbs in Humans.

作者信息

Latorre Anna, Humaidan Kais, Sanna Mauro, Lavena Maria Lucrezia, Pittalis Sara, Raimondi Clio, Casula Elias Paolo, Rocchi Lorenzo

机构信息

Department of Clinical and Movement Neurosciences, UCL Queen Square Institute of Neurology, University College London, London WC1N 3BG, UK.

Department of Medical Sciences and Public Health, University of Cagliari, 09124 Cagliari, Italy.

出版信息

Brain Sci. 2025 Apr 24;15(5):440. doi: 10.3390/brainsci15050440.

DOI:10.3390/brainsci15050440
PMID:40426610
原文链接:https://pmc.ncbi.nlm.nih.gov/articles/PMC12109835/
Abstract

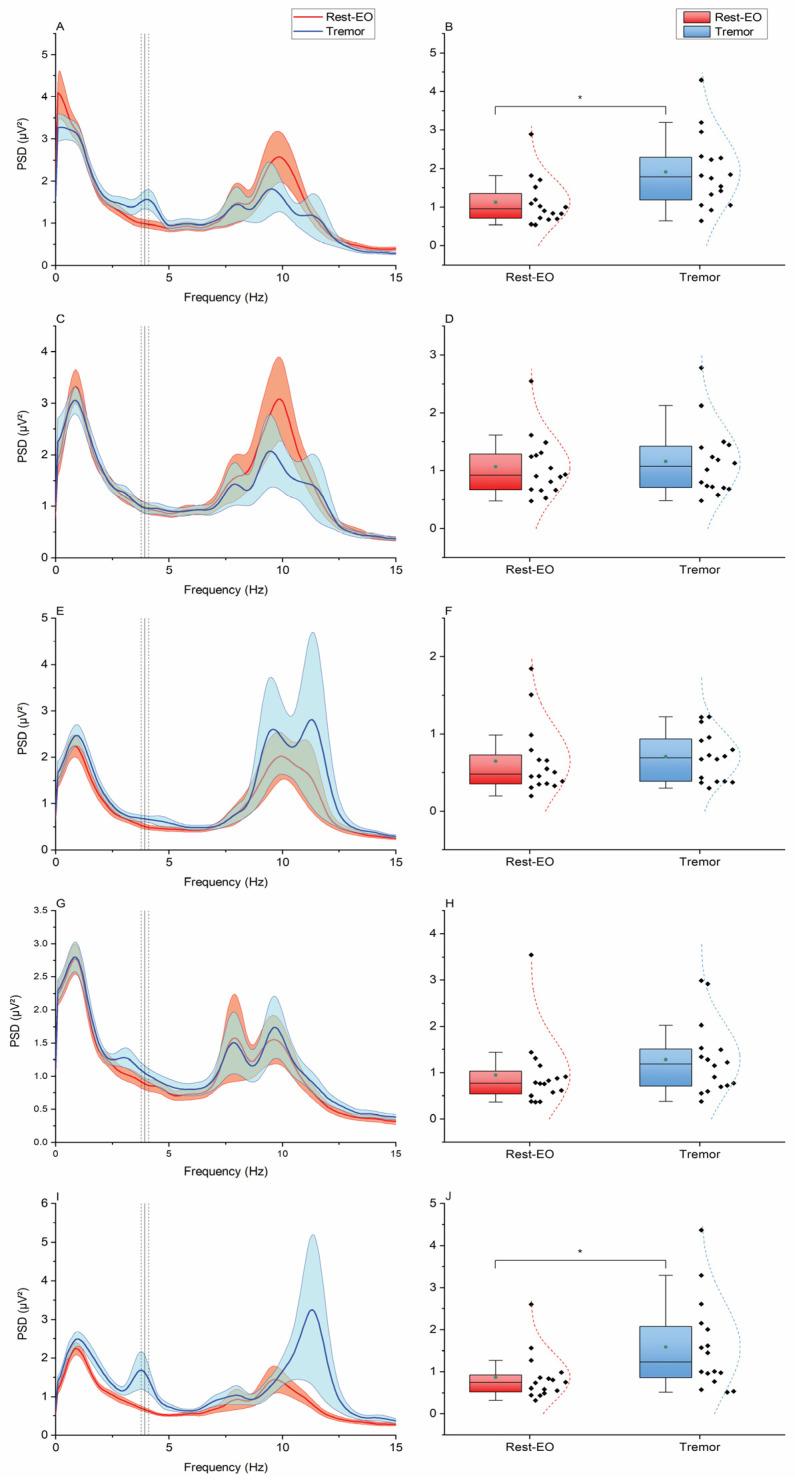
: The cerebellum plays a crucial role in motor control, but its direct electrophysiological investigation in humans is challenging. Electrocerebellograms (ECeGs), recorded via surface electrodes below the inion, have been proposed as a non-invasive method to assess cerebellar activity. However, its interpretation is complicated by potential interference from occipital alpha rhythms and neck muscle signals. This study aimed to investigate whether ECeG signals genuinely reflect cerebellar involvement during upper limb movement and to explore possible confounding influences. : We recorded electroencephalograms (EEGs) from occipital (Oz) and cerebellar electrodes (Cb1 and Cb2), alongside EMGs from forearm muscles in healthy individuals performing sinusoidal (1 Hz) and tremor-like (4 Hz) wrist movements. To assess occipital contamination, recordings were obtained under both eyes-open and eyes-closed conditions. : Occipital alpha power was present in Cb1 and Cb2 but was less affected by eye-opening than at Oz, suggesting a partially distinct neural source. During the tremor condition, movement-frequency power increased at Cb2 and C3 (corresponding to the ipsilateral cerebellar hemisphere and contralateral motor cortex), indicating authentic cerebellar activity. No significant movement-related EEG changes were observed during sinusoidal movements, likely due to weaker neuronal synchronization. : These findings suggest that ECeGs can detect cerebellar signals linked to movement, especially during faster and rhythmic motions, and are only moderately affected by occipital contamination. This supports the feasibility of non-invasive cerebellar electrophysiology and underscores the need for further methodological refinement to enhance signal specificity.

摘要

小脑在运动控制中起着关键作用,但其在人体中的直接电生理研究具有挑战性。通过枕外隆凸下方的表面电极记录的脑电小脑图(ECeGs)已被提议作为一种评估小脑活动的非侵入性方法。然而,枕部阿尔法节律和颈部肌肉信号的潜在干扰使其解读变得复杂。本研究旨在调查ECeG信号是否真的反映上肢运动过程中小脑的参与情况,并探讨可能的混杂影响。:我们记录了健康个体在进行正弦波(1 Hz)和震颤样(4 Hz)腕部运动时,枕部(Oz)和小脑电极(Cb1和Cb2)的脑电图(EEGs),以及前臂肌肉的肌电图。为了评估枕部污染情况,在睁眼和闭眼条件下均进行了记录。:Cb1和Cb2存在枕部阿尔法功率,但比Oz受睁眼的影响小,这表明其神经源部分不同。在震颤状态下,Cb2和C3(分别对应同侧小脑半球和对侧运动皮层)的运动频率功率增加,表明存在真实的小脑活动。在正弦波运动期间未观察到与运动相关的显著脑电图变化,可能是由于神经元同步性较弱。:这些发现表明,ECeGs能够检测与运动相关的小脑信号,尤其是在更快和有节律的运动期间,并且仅受到枕部污染的中度影响。这支持了非侵入性小脑电生理学的可行性,并强调了进一步完善方法以提高信号特异性的必要性。

https://cdn.ncbi.nlm.nih.gov/pmc/blobs/718e/12109835/ae9c74df8f17/brainsci-15-00440-g006.jpg
https://cdn.ncbi.nlm.nih.gov/pmc/blobs/718e/12109835/14e670f59a86/brainsci-15-00440-g001.jpg
https://cdn.ncbi.nlm.nih.gov/pmc/blobs/718e/12109835/938b01fe02e5/brainsci-15-00440-g002.jpg
https://cdn.ncbi.nlm.nih.gov/pmc/blobs/718e/12109835/90ed6ffab3a7/brainsci-15-00440-g003.jpg
https://cdn.ncbi.nlm.nih.gov/pmc/blobs/718e/12109835/4254efec0932/brainsci-15-00440-g004.jpg
https://cdn.ncbi.nlm.nih.gov/pmc/blobs/718e/12109835/efef098d0d4c/brainsci-15-00440-g005.jpg
https://cdn.ncbi.nlm.nih.gov/pmc/blobs/718e/12109835/ae9c74df8f17/brainsci-15-00440-g006.jpg
https://cdn.ncbi.nlm.nih.gov/pmc/blobs/718e/12109835/14e670f59a86/brainsci-15-00440-g001.jpg
https://cdn.ncbi.nlm.nih.gov/pmc/blobs/718e/12109835/938b01fe02e5/brainsci-15-00440-g002.jpg
https://cdn.ncbi.nlm.nih.gov/pmc/blobs/718e/12109835/90ed6ffab3a7/brainsci-15-00440-g003.jpg
https://cdn.ncbi.nlm.nih.gov/pmc/blobs/718e/12109835/4254efec0932/brainsci-15-00440-g004.jpg
https://cdn.ncbi.nlm.nih.gov/pmc/blobs/718e/12109835/efef098d0d4c/brainsci-15-00440-g005.jpg
https://cdn.ncbi.nlm.nih.gov/pmc/blobs/718e/12109835/ae9c74df8f17/brainsci-15-00440-g006.jpg

相似文献

1
Surface EEG Evidence for Cerebellar Control of Distal Upper Limbs in Humans.人类小脑对上肢远端控制的头皮脑电图证据
Brain Sci. 2025 Apr 24;15(5):440. doi: 10.3390/brainsci15050440.
2
The human electrocerebellogram (ECeG) recorded non-invasively using scalp electrodes.使用头皮电极非侵入性记录的人类脑电图(ECeG)。
Neurosci Lett. 2018 Aug 24;682:124-131. doi: 10.1016/j.neulet.2018.06.012. Epub 2018 Jun 15.
3
Distinct movement related changes in EEG and ECeG power during finger and foot movement.
Neurosci Lett. 2025 Mar 28;853:138207. doi: 10.1016/j.neulet.2025.138207. Epub 2025 Mar 19.
4
Altered Cerebellar Oscillations in Parkinson's Disease Patients during Cognitive and Motor Tasks.帕金森病患者在认知和运动任务期间小脑振荡的改变。
Neuroscience. 2021 Nov 1;475:185-196. doi: 10.1016/j.neuroscience.2021.08.021. Epub 2021 Aug 26.
5
Modulation of Cerebellar Oscillations with Subthalamic Stimulation in Patients with Parkinson's Disease.小脑刺激对帕金森病患者的调节。
J Parkinsons Dis. 2024;14(7):1417-1426. doi: 10.3233/JPD-240065.
6
Cerebellar continuous theta burst stimulation in essential tremor.原发性震颤的小脑连续θ波爆发刺激
Cerebellum. 2015 Apr;14(2):133-41. doi: 10.1007/s12311-014-0621-0.
7
Cerebellar oscillatory dysfunction during lower-limb movement in Parkinson's disease with freezing of gait.帕金森病冻结步态患者下肢运动时的小脑振荡功能障碍
Brain Res. 2023 Jun 1;1808:148334. doi: 10.1016/j.brainres.2023.148334. Epub 2023 Mar 15.
8
A cerebellar-like terminal and postural tremor induced in normal man by transcranial magnetic stimulation.经颅磁刺激在正常人中诱发的类似小脑的终末性和姿势性震颤。
Brain. 1999 Aug;122 ( Pt 8):1551-62. doi: 10.1093/brain/122.8.1551.
9
Cerebello-cortical network fingerprints differ between essential, Parkinson's and mimicked tremors.小脑-大脑皮质网络指纹在原发性震颤、帕金森震颤和模仿性震颤之间存在差异。
Brain. 2018 Jun 1;141(6):1770-1781. doi: 10.1093/brain/awy098.
10
Assessing cerebellar-cortical connectivity using concurrent TMS-EEG: a feasibility study.使用经颅磁刺激-脑电图评估小脑-皮质连接:一项可行性研究。
J Neurophysiol. 2021 May 1;125(5):1768-1787. doi: 10.1152/jn.00617.2020. Epub 2021 Mar 31.

本文引用的文献

1
Distinct movement related changes in EEG and ECeG power during finger and foot movement.
Neurosci Lett. 2025 Mar 28;853:138207. doi: 10.1016/j.neulet.2025.138207. Epub 2025 Mar 19.
2
Enhancing automatic sleep stage classification with cerebellar EEG and machine learning techniques.利用小脑脑电图和机器学习技术增强自动睡眠阶段分类
Comput Biol Med. 2025 Feb;185:109515. doi: 10.1016/j.compbiomed.2024.109515. Epub 2024 Dec 10.
3
Electrophysiological Activity from the Eye Muscles, Cerebellum and Cerebrum During Reflexive (Classical Pavlovian) Versus Voluntary (Ivanov-Smolensky) Eye-Blink Conditioning.眼肌、小脑和大脑在反射性(经典巴甫洛夫式)与随意性(伊万诺夫-斯莫连斯基式)眼动反射条件反射过程中的电生理活动。
Cerebellum. 2024 Jun;23(3):1086-1100. doi: 10.1007/s12311-023-01613-6. Epub 2023 Oct 16.
4
Reply to: "Reflecting the causes of variability of EEG responses elicited by cerebellar TMS".回复:“反映小脑经颅磁刺激引发脑电图反应变异性的原因”
Neuroimage. 2023 Nov 1;281:120392. doi: 10.1016/j.neuroimage.2023.120392. Epub 2023 Sep 26.
5
Extended source analysis of movement related potentials (MRPs) for self-paced hand and foot movements demonstrates opposing cerebral and cerebellar laterality: a preliminary study.针对自主手和脚运动的运动相关电位(MRP)进行扩展源分析,结果表明大脑和小脑的偏侧性相反:一项初步研究。
Neurosci Lett. 2023 Oct 15;815:137476. doi: 10.1016/j.neulet.2023.137476. Epub 2023 Sep 14.
6
EEG responses induced by cerebellar TMS at rest and during visuomotor adaptation.静息和视动适应时小脑经颅磁刺激诱发的脑电图反应。
Neuroimage. 2023 Jul 15;275:120188. doi: 10.1016/j.neuroimage.2023.120188. Epub 2023 May 23.
7
Symmetry of the Neck Muscles' Activity in the Electromyography Signal during Basic Motion Patterns.颈部肌肉在基本运动模式下肌电图信号中的活动对称性。
Sensors (Basel). 2023 Apr 21;23(8):4170. doi: 10.3390/s23084170.
8
Electrophysiological activity from over the cerebellum and cerebrum during eye blink conditioning in human subjects.在人类被试者眨眼条件反射过程中,小脑和大脑皮层上方的电生理活动。
Physiol Rep. 2023 Mar;11(6):e15642. doi: 10.14814/phy2.15642.
9
Cerebellar oscillatory dysfunction during lower-limb movement in Parkinson's disease with freezing of gait.帕金森病冻结步态患者下肢运动时的小脑振荡功能障碍
Brain Res. 2023 Jun 1;1808:148334. doi: 10.1016/j.brainres.2023.148334. Epub 2023 Mar 15.
10
A Critical Investigation of Cerebellar Associative Learning in Isolated Dystonia.孤立性肌张力障碍中的小脑联合学习的批判性研究。
Mov Disord. 2022 Jun;37(6):1187-1192. doi: 10.1002/mds.28967. Epub 2022 Mar 21.